Android之Handler
Handler的整体流程

- Handler发送消息消息是通过 MessageQueue 中的 enqueueMessage()方法加入消息队列中的,并 且它在放入中就进行好排序,链表头的延迟时间小,尾部延迟时间最大
- Looper.loop()通过 MessageQueue 中的 next()去取消息。
- MessageQueue 中的 next()如果当前链表头部消息是延迟消息,则根据延迟时间进行消息队列会 阻塞,不返回给 Looper message,直到时间到了,返回给 message
- 如果在阻塞中有新的消息插入到链表头部则唤醒线程,MessageQueue 的nativeWake()唤醒
- 将新消息交给回调给 handler 中的 handleMessage 后,继续调用 MessageQueue 的 next()方法,如果刚刚的延迟消息还是时间未到,则计算时间 继续阻塞。
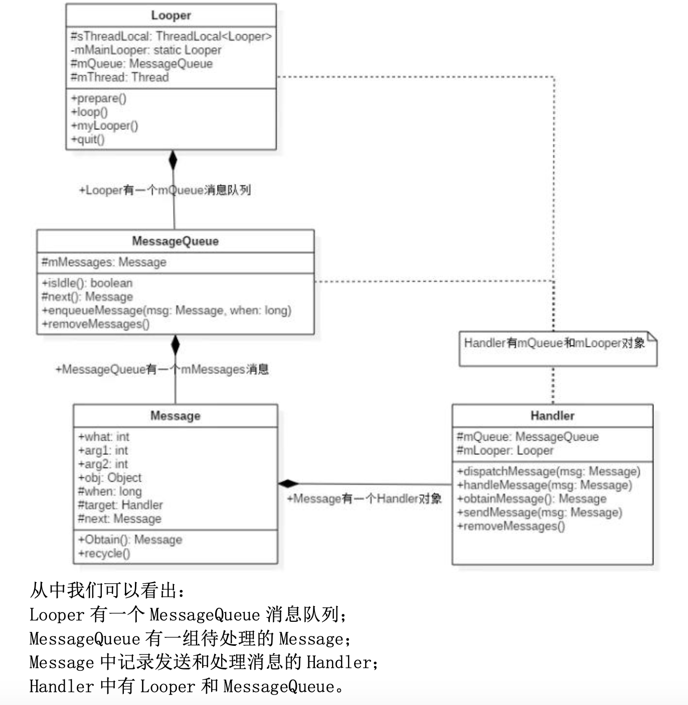
消息的模型
- Message:需要传递的消息,可以传递数据;
- MessageQueue:消息队列,但是它的内部实现并不是用的队列,实际上是通过 一个单链表的数据结构来维护消息列表,因为单链表在插入和删除上比较有优 势。主要功能向消息池投递消息(MessageQueue.enqueueMessage)和取走消息池 的消息(MessageQueue.next);
- Handler:消息辅助类,主要功能向消息池发送各种消息事件 (Handler.sendMessage)和处理相应消息事件(Handler.handleMessage);
- Looper:不断循环执行(Looper.loop),从 MessageQueue 中读取消息,按分发机 制将消息分发给目标处理者。
运行流程
在子线程执行完耗时操作,当 Handler 发送消息时,将会 调用 MessageQueue.enqueueMessage,向消息队列中添加消息。当通过 Looper.loop 开启循环后,会不断地从线程池中读取消息,即调用 MessageQueue.next,然后 调用目标 Handler(即发送该消息的 Handler)的 dispatchMessage 方法传递消息, 然后返回到 Handler 所在线程,目标 Handler 收到消息,调用 handleMessage 方 法,接收消息,处理消息。
消息的运行流程图如下:

整体的框架架构图



1 Handler发送消息
1.1 Handler在主线程发送消息
不论是sendMessage、sendEmptyMessage还是sendMessageDelayed最终都会调用enqueueMessage方法
private boolean enqueueMessage(@NonNull MessageQueue queue, @NonNull Message msg,
long uptimeMillis) {
//消息绑定Handler对象
msg.target = this;
msg.workSourceUid = ThreadLocalWorkSource.getUid();
//消息是否异步,true标识异步
if (mAsynchronous) {
msg.setAsynchronous(true);
}
//执行消息队列的入队方法,uptimeMillis表示消息的发送时间
return queue.enqueueMessage(msg, uptimeMillis);
}
1.2 Handler在子线程发送消息
在子线程创建Handler时,需在调用Looper.prepare()和Looper.loop()。
Looper.java
准备异步消息发送
public static void prepare() {
prepare(true);
}
private static void prepare(boolean quitAllowed) {
if (sThreadLocal.get() != null) {
throw new RuntimeException("Only one Looper may be created per thread");
}
//sThreadLocal 是JDK中为解决多线程程序的并发问题提供了一种新的思路。使用这个工具类可以很简洁地编写出优美的多线程程序。这里存放的是Looper对象
sThreadLocal.set(new Looper(quitAllowed));
}
//创建looper的时候,也会创建当前线程的消息队列和标记当前线程线程
private Looper(boolean quitAllowed) {
mQueue = new MessageQueue(quitAllowed);
mThread = Thread.currentThread();
}
2 Looper取消息
public static void loop() {
//拿当前线程的looper对象
final Looper me = myLooper();
if (me == null) {
throw new RuntimeException("No Looper; Looper.prepare() wasn't called on this thread.");
}
//确保Looper.loop()调用时,保证消息队列中的消息需要执行完成
if (me.mInLoop) {
Slog.w(TAG, "Loop again would have the queued messages be executed"
+ " before this one completed.");
}
me.mInLoop = true;
final MessageQueue queue = me.mQueue;
// 核实当前线程的身份
Binder.clearCallingIdentity();
final long ident = Binder.clearCallingIdentity();
...
for (;;) {
//开始取消息
Message msg = queue.next(); // might block
if (msg == null) {
//无消息的时候会退出
return;
}
final Observer observer = sObserver;
...//省略部分
//消息发送的开始时间
final long dispatchStart = needStartTime ? SystemClock.uptimeMillis() : 0;
final long dispatchEnd;
Object token = null;
if (observer != null) {
token = observer.messageDispatchStarting();
}
long origWorkSource = ThreadLocalWorkSource.setUid(msg.workSourceUid);
try {
//分发给Handler去处理该消息
msg.target.dispatchMessage(msg);
if (observer != null) {
observer.messageDispatched(token, msg);
}
dispatchEnd = needEndTime ? SystemClock.uptimeMillis() : 0;
} catch (Exception exception) {
if (observer != null) {
observer.dispatchingThrewException(token, msg, exception);
}
throw exception;
} finally {
//线程工作的恢复
ThreadLocalWorkSource.restore(origWorkSource);
}
...
final long newIdent = Binder.clearCallingIdentity();
if (ident != newIdent) {
//再次校验当前线程的身份
}
//释放消息
msg.recycleUnchecked();
}
}
3 MessageQueue的next取消息
//取消息
for (;;) {
if (nextPollTimeoutMillis != 0) {
Binder.flushPendingCommands();
}
//仅唤醒一次
nativePollOnce(ptr, nextPollTimeoutMillis);
synchronized (this) {
// 当前时间
final long now = SystemClock.uptimeMillis();
Message prevMsg = null;
//mMessages 表示当前等待处理的消息
Message msg = mMessages;
if (msg != null && msg.target == null) {
// 寻找下一条异步消息
do {
prevMsg = msg;
msg = msg.next;
} while (msg != null && !msg.isAsynchronous());
}
if (msg != null) {
if (now < msg.when) {
// 下一条消息未准备好,这等待,此时会进入到 Binder.flushPendingCommands()这里
nextPollTimeoutMillis = (int) Math.min(msg.when - now, Integer.MAX_VALUE);
} else {
//当前不是阻塞状态
mBlocked = false;
if (prevMsg != null) {
prevMsg.next = msg.next;
} else {
mMessages = msg.next;
}
msg.next = null;
msg.markInUse();
return msg;
}
} else {
//没有更多消息 不需要循环
nextPollTimeoutMillis = -1;
}
// 空闲的IdleHandler数量
if (pendingIdleHandlerCount < 0
&& (mMessages == null || now < mMessages.when)) {
pendingIdleHandlerCount = mIdleHandlers.size();
}
if (pendingIdleHandlerCount <= 0) {
// 没有空闲的处理程序,循环等待更多
mBlocked = true;
continue;
}
if (mPendingIdleHandlers == null) {
mPendingIdleHandlers = new IdleHandler[Math.max(pendingIdleHandlerCount, 4)];
}
mPendingIdleHandlers = mIdleHandlers.toArray(mPendingIdleHandlers);
}
// 运行空闲的处理程序,仅限在第一次迭代时会到达这里.
for (int i = 0; i < pendingIdleHandlerCount; i++) {
final IdleHandler idler = mPendingIdleHandlers[i];
mPendingIdleHandlers[i] = null; // release the reference to the handler
boolean keep = false;
try {
keep = idler.queueIdle();
} catch (Throwable t) {
Log.wtf(TAG, "IdleHandler threw exception", t);
}
if (!keep) {
synchronized (this) {
mIdleHandlers.remove(idler);
}
}
}
pendingIdleHandlerCount = 0;
//不影响下次下次消息的获取,保持的调用Binder.flushPendingCommands()一致。
nextPollTimeoutMillis = 0;
}
HandlerThread的使用
HandlerThread handlerThread = new HandlerThread("xxx");
handlerThread.start();//Looper.prepare();不用我们再次调用
//拿到新创建的线程的looper来创建Handler
Looper looper = handlerThread.getLooper();
Handler handler2 = new Handler(looper);
handler2.sendMessage(Message);
小纸片
- 记住ThreadLocal是用来区分Handler
- 主线程MessageQueue的next()不仅你会使用,系统的异步刷新UI也会使用

浙公网安备 33010602011771号