会员
周边
新闻
博问
闪存
众包
赞助商
Chat2DB
所有博客
当前博客
我的博客
我的园子
账号设置
会员中心
简洁模式
...
退出登录
注册
登录
代码改变世界
Cnblogs
Dashboard
Login
Home
Contact
Gallery
Subscribe
RSS
kennyMc
分配率的简单证明
2012-08-20 15:09
kennyMc
阅读(
1184
) 评论(
0
)
收藏
举报
有限集的基数叫做自然数,比如自然数3,3其实是集合{x1,x2,x3}的基数。
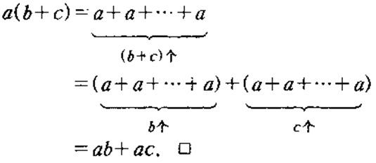
证明下乘法对加法的分配率
a(b+c)=ab+ac;
a(b+c)=a+a+a+a....(b+c)个a相加;
=b个a相加+c个a相加;
=ab+ac;
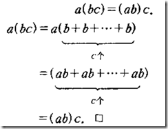
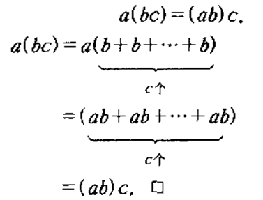
结合律的证明:
a(bc)=(ab)c;a,b,c∈N;
刷新页面
返回顶部
About