介绍 - 《AI算法工程师手册》 - 书栈网 · BookStack
1. 逻辑回归 【机器学习】逻辑回归(非常详细) - 知乎 (zhihu.com) 【√】
2. 机器学习中的判别式模型和生成式模型 - 知乎 (zhihu.com) 【√】
3.什么是感知机? - 知乎 (zhihu.com) 【√】
4.什么是归一化,它与标准化的区别是什么 - 搜索 (bing.com)
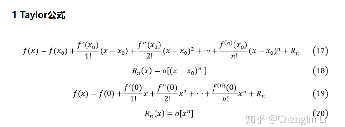
泰勒展开公式

4.理解牛顿法 - 知乎 (zhihu.com) 【优缺点 比较:牛顿法和拟牛顿法 - 知乎 (zhihu.com)】 【√】
5. 共轭梯度法
6.下面的算法

7. 机器学习面试150题:不只是考SVM xgboost 特征工程(1-50) - 知乎 (zhihu.com) 【待看】
决策树&森林:
1.信息增益(倾向特征取值多的)、信息增益率(倾向特征取值少的)、Gini系数(C4.5 生成的是多叉树,即一个父节点可以有多个子节点。很多时候,在计算机中,二叉树模型会比多叉树运算效率高。因为,计算机底层是 0,1 运算模型,所以,如果采用二叉树,可以提高效率)
(59条消息) 决策树三种算法比较(ID3、C4.5、CART)_若只如初見~~的博客-CSDN博客_id3算法和c4.5算法区别
2.决策树算法的优缺点:决策树的进化史 - 知乎 (zhihu.com)
(59条消息) AdaBoost与指数损失_十里清风的博客-CSDN博客_指数损失
(59条消息) 简单易学的机器学习算法——梯度提升决策树GBDT_zhiyong_will的博客-CSDN博客_梯度提升决策树、随机森林、adaboost、knn和lgbmclassifier 应用
常见的损失函数(loss function)总结 - 知乎 (zhihu.com)
XGBoost算法梳理 - 知乎 (zhihu.com) (59条消息)
Xgboost近似分位数算法_anshuai_aw1的博客-CSDN博客_xgboost 精准 近似
珍藏版 | 20道XGBoost面试题 - 腾讯云开发者社区-腾讯云 (tencent.com)
(99+ 封私信 / 80 条消息) 机器学习算法中 GBDT 和 XGBOOST 的区别有哪些? - 知乎 (zhihu.com)
(XGBoost中,出于性能优化的考虑,也提供了近似的建模算法支持,核心思想是在寻找split point的时候,不会枚举所有的特征值,而会对特征值进行聚合统计,然后形成若干个bucket,只将bucket边界上的特征值作为split point的候选,从而获得性能提升)
LightGBM算法梳理 - 知乎 (zhihu.com)【重要 可以是自己项目的改进方向!!!!】
(直方图除了保存划分阈值和当前bin内样本数以外还保存了当前bin内所有样本的一阶梯度和(一阶梯度和的平方的均值等价于均方损失)
TensorFlow可以实现决策树:
Tensorflow基本模型之随机森林 - 简书 (jianshu.com)
(59条消息) TensorFlow 决策森林来啦!_TensorFlow 社区的博客-CSDN博客_安装tensorflow-decision-forests
(Keras是基于Tensorflow用纯python编写的深度学习框架)
SVM
(61条消息) 机器学习SVM算法常见面试题(一)_svm面试题_我不爱机器学习的博客-CSDN博客
超详细SVM(支持向量机)知识点,面试官会问的都在这了。。。 - 知乎 (zhihu.com)
python
https://blog.csdn.net/Emily_ASL/article/details/123148319
(61条消息) 详细分析Python中深浅拷贝的区别_python深拷贝和浅拷贝的区别_某学酥 Kevin的博客-CSDN博客
Bert模型:
https://blog.csdn.net/weixin_39798910/article/details/110073695
卷积网络:
batch normal 层的作用: https://blog.csdn.net/weixin_44791964/article/details/114998793
正则化方法: https://blog.csdn.net/BGoodHabit/article/details/117389687
常用 Normalization 方法的总结与思考:BN、LN、IN、GN :https://mp.weixin.qq.com/s?__biz=MzU0NjgzMDIxMQ==&mid=2247536904&idx=3&sn=9c17c84af8599103c6e49b6e5eea7620&chksm=fb55b3e4cc223af21dae3f37c0b35e31dd472a854e0fc6cfff98c801e21dfa17a2bcc88b37e8&scene=27
到底该用Adam还是SGD:
https://www.zhihu.com/search?type=content&q=SGD%E5%92%8CAdam
https://zhuanlan.zhihu.com/p/32262540
https://zhuanlan.zhihu.com/p/32338983
Resnet残差网络:
https://www.zhihu.com/search?q=resnet%E7%BD%91%E7%BB%9C&utm_content=search_suggestion&type=content
Openmp:
(59条消息) 进程和线程的区别(超详细)_ThinkWon的博客-CSDN博客_进程和线程
CPU工作方式、多核心、超线程技术详解 - 知乎 (zhihu.com) 多线程,多进程,多核总结 - 知乎 (zhihu.com)
OpenMP教程——从0开始一小时写出并行程序! - 知乎 (zhihu.com)
(99+ 封私信 / 80 条消息) OpenMP在实际开发中应用多吗? - 知乎 (zhihu.com)
(99+ 封私信 / 80 条消息) 为什么服务器linux下用openmp结果比单线程还要慢? - 知乎 (zhihu.com)
(59条消息) OpenMP 单线程改多线程结果出错_LearningM的博客-CSDN博客_代码分析忽略了openmp的构造
(99+ 封私信 / 80 条消息) 从并行计算的角度对比,MPI 与 OpenMP 有什么区别? - 知乎 (zhihu.com)
并行计算(一)Pthread&OpenMP - Syntax - 博客园 (cnblogs.com)
Linux
Linux 命令大全 | 菜鸟教程 (runoob.com)
(59条消息) 常用linux命令,面试常考_卓怡工作室的博客-CSDN博客_linux常用命令 面试
nohup head tail cat more ps find grep whereis locate which echo export chmod
是真的很详细了!Linux中的Grep命令使用实例 - 腾讯云开发者社区-腾讯云 (tencent.com)
深入理解 Linux shell 中 2>&1 的含义 ,全网全,看完就懂! - 文章详情 (itpub.net)
linux 中文件夹的文件按照时间倒序或者升序排列 - 腾讯云开发者社区-腾讯云 (tencent.com)
linux命令which,whereis,locate,find的区别 - 知乎 (zhihu.com)
(59条消息) Linux 的 Kill -9命令_葛伦儿的博客-CSDN博客
Linux 中 &、jobs、fg、bg 等命令 - 知乎 (zhihu.com)
linux中cd / cd~ cd cd- 和cd..之间的区别 - 深夜独行侠 - 博客园 (cnblogs.com)
技术|Linux中的15个基本‘ls’命令示例 (Linux ls命令:查看目录下文件 (biancheng.net))
(59条消息) linux grep不包含某些字符串的命令_studyer_domi的博客-CSDN博客_grep 不包含
top 和ps 进程查看命令的区别 :Linux top命令详解:持续监听进程运行状态 (biancheng.net)
面试 | Linux 下软链接和硬链接的区别 - 知乎 (zhihu.com)
面经:
「面试必背」Linux面试题(2022最新版) - 知乎 (zhihu.com)(59条消息) 常用linux命令,面试常考_卓怡工作室的博客-CSDN博客_linux常用命令 面试生信人的自我修养:Linux命令速查手册 - 知乎 (zhihu.com)Linux基本面试题。(感觉也就这几个了) - John.Liu- - 博客园 (cnblogs.com)面试常问的 25+ 个 Linux 命令 | 《Linux就该这么学》 (linuxprobe.com)46个经典Linux面试题!(附答案) - 知乎 (zhihu.com)Linux面试题Top100 - 腾讯云开发者社区-腾讯云 (tencent.com)(59条消息) 【面经总结 Linux】面试官:你知道Linux哪些常用命令?_David 's blog的博客-CSDN博客_linux面经
隐私计算
Github 多方安全计算库+同态加密:
tf-encrypted/tf-encrypted: A Framework for Encrypted Machine Learning in TensorFlow (github.com)
microsoft/SEAL: Microsoft SEAL is an easy-to-use and powerful homomorphic encryption library. (github.com)
data61/MP-SPDZ: Versatile framework for multi-party computation (github.com)
隐私计算企业和产品列表-国际篇 - 知乎 (zhihu.com)【当前流行的加密库!!!SEAL PySyft等等】
整体介绍:
联邦学习系列(二)| 隐私保护 - 知乎 (zhihu.com)【比较全】
(59条消息) 隐私计算:数据脱敏、匿名化、假名化、差分隐私和同态加密_人工智的博客-CSDN博客_数据可携带权衍生数据,匿名数据,假名数据 【比较全】
隐私计算(联邦学习、差分隐私) - 知乎 (zhihu.com) 【比较优缺点】
重磅发布:隐私计算知识图谱 | hellompc - 简书 (jianshu.com)【哪些公司研究隐私计算】
干货!解析“隐私计算”的四大技术路径 - 知乎 (zhihu.com)
《隐私计算白皮书》(2021) 初探 - 知乎 (zhihu.com)
联邦学习入门笔记(一)— FL综述 - 杨文卓的博客 (yangwenzhuo.top)
联邦学习入门笔记(四)— 基于差分隐私的FL(ii) - 杨文卓的博客 (yangwenzhuo.top)
差分隐私:
通过添加一个均值为0的噪声,这里强调均值为0是因为这样可以通过求平均将噪声的影响消除->(99+ 封私信 / 80 条消息) 在差分隐私中,为什么需要消耗隐私预算? - 知乎 (zhihu.com)
(59条消息) 本地化差分隐私(Local Differential Privacy)浅析_Ano_onA的博客-CSDN博客_本地差分隐私
对差分隐私的友好、非技术性介绍 - Ted 正在写东西 (desfontain.es) 【国外 待看貌似很好】
代码库(DP+决策树/森林):
- differential-privacy-library/forest.py at main · IBM/differential-privacy-library (github.com) (differential-privacy-library/diffprivlib/models/forest.py / 这里查看代码实现过程,这里的实现只对label进行了差分隐私,参考文献:《Differentially Private Random Decision Forests using Smooth Sensitivity 》 )
- 【google的差分隐私库】google/differential-privacy: Google's differential privacy libraries. (github.com)
k-匿名:
实现k匿名的几种方法: https://blog.csdn.net/m0_73803866/article/details/127198220
同态加密:
同态加密库以及如何选择合适的库: https://m.dandelioncloud.cn/article/details/1564128259044765698
多方安全计算:
三大类:多方安全计算:基于密码学的隐私计算技术;联邦学习:人工智能与隐私保护技术融合衍生的技术;可信执行技术(TEE):代表的基于可信硬件的隐私计算技术。
混淆电路、秘密分享、不经意传输等作为底层密码学技术,同态加密、零知识证明、差分隐私等作为辅助技术的相对成熟的技术体系。
浙公网安备 33010602011771号