会员
众包
新闻
博问
闪存
赞助商
HarmonyOS
Chat2DB
所有博客
当前博客
我的博客
我的园子
账号设置
会员中心
简洁模式
...
退出登录
注册
登录
jzssuanfa
最大熵模型(Maximum Entropy Models)具体分析
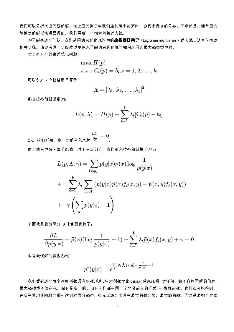
因为本篇文章公式较多,csdn博客不同意复制公式,假设将公式一一保存为图片在上传太繁琐了,就用word排好版后整页转为图片传上来了。如有错误之处。欢迎指正。
发表于
2017-04-16 14:32
jzssuanfa
阅读(
164
) 评论(
0
)
收藏
举报
刷新页面
返回顶部
导航
博客园
首页
新随笔
新文章
联系
订阅
管理