Chapter 5 Ripple-Based Control Technique Part II-3
5.3 Optimum On-Time Controller for Pseudo-Constant fSW
这一小节分析在不同vin, vout, iload下的fsw
5.3.1 Algorithm for Optimum On-Time Control
考虑ron的寄生参数, 占空比D会变大.

5.3.2 Type-I Optimum On-Time Controller with Equivalent VIN and VOUT,eq
5.3.2.1 Architecture and Operation of Converter
由于ron带来IR drop, 实际的Dactual会比理想D=vout/vin大一些, 需进行弥补.

5.3.2.2 Model
下图展示了用实际占空比, Dactual乘以Vin来控制ton时间, 能自适应Ron和负载.

因此Ton为

5.3.2.3 Circuit Implementation
线性电压转电流电路如下图Fig 5.64所示

Vin可为高压, M1的diode结构, 转化为低压. Vin转化为i1, 包括Vgs,m1

M1和M5管子尺寸一致, Vgs,m5约等于Vgs,m1

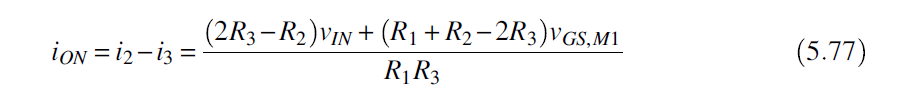
ion电流为

让2R1=2R2=R3, 可消除Vgs,m1, 因此可得ion为

导通时间调制器和等效输出电压综合器如图Fig 5.65所示. MHNF和MHPF为高压管, 需见到Vin和Vgp高压. 其余都是低压管.

Vctrl为LX或者SW, 其平均值为Vout,eq. ion去充Vramp电压. 当Vramp<Vout,eq时, 产生Ton, 因此Ton正比于Dactual, 如Eq 5.79所示

Vout的ripple可由下式近似表达.

5.3.3 Type-II Optimum On-Time Controller with Equivalent VDUTY
5.3.3.1 Architecture and Operation of Converter
用constant 电流产生ion, 利用等效duty cycle产生器, 来决定ton.就是另外一种方式

5.3.3.2 Model
用vduty来代替vin, vout来设计ton, 等效模型如下

ton表达式为

5.3.3.3 Circuit Implementation

电路实现由上图决定, 相比上节的vin线性转化电路, 结构简单, 无需高压器件. Vref_on为constant, Vb是bias电压. R4, M13~M17构成负反馈, M17上的电流

M21~M24形成负反馈, 提供有驱动能力的Von2

Vgp为上管gate电压, 利用Mpf, Mnf, Rf2和Cfs形成Vduty

Ton为Vramp2和Vduty比较, 可得Ton为

5.3.4 Frequency Clamper

Fig 5.69展示了voltage clamper, 包括上钳位和下钳位. 当Vduty<Vref,L下钳位时, M32 on, 将Vout,eq钳位在Vref,L. 同理当Vout,eq>Vref,H时, M37 on, 将Vout,eq钳位于Vref,h. 因此vout,eq在Vref,L和Vref,H之间, 而且可以关闭M31,M32,M37,M38 确保不会对vout,eq产生影响.
5.3.5 Comparison of Different On-Time Controllers

浙公网安备 33010602011771号