【ACWING】数论2
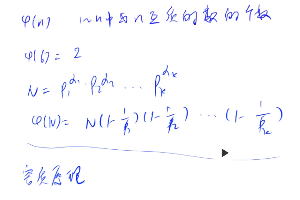
1 欧拉函数
f(n):表示1-n中与n互质的数的个数

1.1 欧拉定理
定理 设m是任意大于1的整数,gcd(a,m)=1,即a、m互质,则
a^φ(m)≡1(mod m)----->同余定理
- 当m=质数的时候,
φ(m)=m-1,从而引出费马定理:a^m-1 ≡1(mod m)
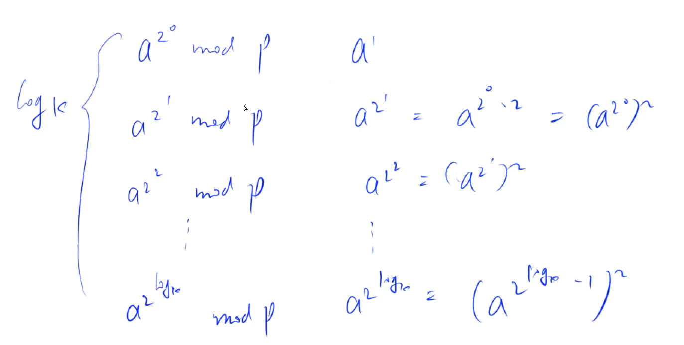
2 快速幂
快速求出来(Ologk)a^k % p的结果,1 <= a,p,k <= 1e9

预处理过程: 前一个的结果的平方,再mod p

LL qmi(int a, int k, int p)
{
LL res = 1;
while(k)
{
if(k&1) res = (LL) res * a % p; // 如果末位为1
k>>1;
a = (LL)a*a %p; // a的平方
}
return res;
}
3 裴蜀定理/贝祖定理
对任何整数a,b,关于未知数x和y的线性丢番图方程(称为裴蜀等式):ax+by=c,方程有整数解当且仅当c是
gcd(a,b)的倍数。裴蜀等式有解时必然有无穷多个解。解的形式如下

由上面的描述可知:已知某个最大公约数d = gcd(a,b), 则必然存在一组整数(可以为负数)x,y满足ax + by = d
- 换一种说法,对于任意正整数
a,b,一定存在整数x,y,使得ax+by=gcd(a,b) - 也就是说,用a,b的组合去凑一个新的数出来。并且
gcd(a,b)是他们凑出来的最小正整数
证明就很简单了,a和b是gcd(a,b)的倍数,那么显然a,b的组合也会是gcd(a,b)的倍数
4 拓展欧几里得定理
该方法是用来求解gcd的,但是! 他能够在求gcd的过程中,给出上面裴蜀定理的一组解
我们来分情况讨论一下扩展欧几里得定理:

即当我们用扩展欧几里得定理求x和y时,欧几里得定理每递归一次x不用变,y->y-a/b * x即可
如果我们求出x和y的一对,我们记为x0和y0
那么其他的x和y可以通过x0,y0表示:
令a’=a/gcd(a,b) , b’=b/gcd(a,b);
那么其他的x和y可以表示为:x=x0+kb’,y=y0-ka’;
这个通解 = 特解 + 齐次解,这里齐次解由 解
ax+by=0得到的,反正带进去=0就对了
求得一组解之后,能够很容易构造出通解的形式,如下图

int exgcd(int a, int b, int &x, int &y)
{
if(!b)
{
x = 1, y = 0;
return a;
}
int d = exgcd(b, a % b, y, x); //辗转相除
y -= a/b * x;
return d;
}
5 中国剩余定理


求 a的逆 相当于解
ax=1(mod m), 用扩展欧几里得就行

浙公网安备 33010602011771号