工程数学考前复习
一、选择题12个(2分)
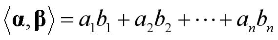
1.内积的计算


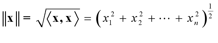
向量的长度

2.矩阵的计算

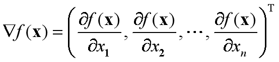
梯度

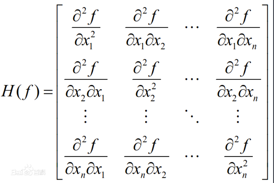
3.海森矩阵

4.
如何判断凸函数
如果Hessian矩阵是半正定/正定矩阵,则是f ( X ) f(X)f(X)凸函数/严格凸函数
5.局部最优解的充分必要条件

6.最速下降法
算法步骤 1)选定初始点x^1和给定的精度要求ϵ>0,令k=1.
2)若||∇f(x^k)||<ε,则停,x^∗=x^k;否则,令d^k=−∇f(x^k).
3)在x^k处沿方向d^k作线性搜索,得x^k+1=x^k+α_kd^k, k=k+1,
转步骤2)

浙公网安备 33010602011771号