会员
众包
新闻
博问
闪存
赞助商
HarmonyOS
Chat2DB
所有博客
当前博客
我的博客
我的园子
账号设置
会员中心
简洁模式
...
退出登录
注册
登录
jy-all-bug
博客园
首页
新随笔
联系
订阅
管理
5.22学习总结
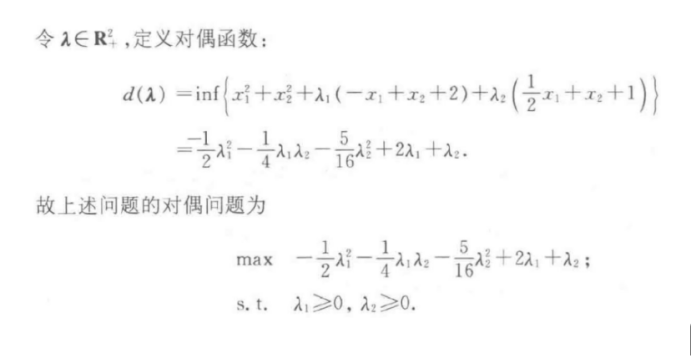
最优化基础理论与方法第五章 对偶问题
posted @
2023-05-22 18:36
代不动码
阅读(
9
) 评论(
0
)
收藏
举报
刷新页面
返回顶部
公告