tarjan(割点,割边)
割点 :删掉这个点和这个点有关的边,图就不是连通图,分裂成为了多个不相连的子图


判断方法:如果有点v, u(非根结点)满足 dfn(u)<=low(v),那么就可以说u是一个割点
如果 u是根的话,那么还要保证他至少有两个儿子
可以这么想,如果v这个点走一条返祖边所能到达的最远的点,都在u的后面,那我必须走u才能到根节点,我把u删掉后,v就走不到根节点了,图不联通了,所以u是一个割点
割边:删掉这个边,图就不是连通图,分裂成为了多个不相连的子图

判断方法:如果存在v,u满足dfn(u)<low(v),那么就可以说u-v是一条割边
割点和割边唯一的区别就是取等问题
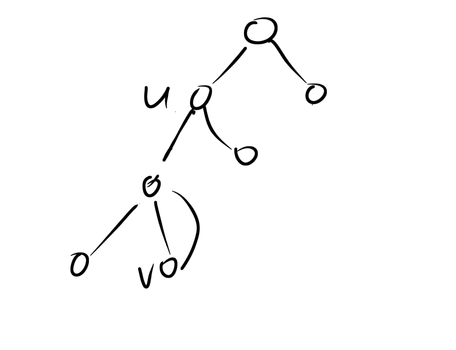
看图,low(v1)<dfn(u),删去u-v1分成两个子图,low(v2)=dfn(u),我即使删去这个u-v2,图依然联通
特别注意:

在无向图中
low(v)=min(low(v),dfn(u)),他会尝试去更新dfn(u)的值,
如果更新到dfn(u)的话,对于割点来说dfn(u)<=low(v),是没有影响的,但是对于割边dfn(u)<low(v),却会少计算割边
模板割点
代码
#include <bits/stdc++.h>
#define INF 0x3f3f3f3f
#define ll long long
#define swp(a,b) a^=b^=a^=b
const int N=2e5+10;
using namespace std;
vector<int>e[N];
int dfn[N],low[N],tim=0,rt;
int n,m;
int tot=0,cut[N];
bool cmp(int x,int y){
return x<y;
}
void dfs(int f,int x){
int cnt=0;
dfn[x]=low[x]=++tim;
for(int i=0;i<e[x].size();i++){
int y=e[x][i];
if(y==f)continue;
if(!dfn[y]){
cnt++;
dfs(x,y);
low[x]=min(low[x],low[y]);
if(low[y]>=dfn[x]){
if((x==rt&&cnt>=2)||(x!=rt)){
cut[x]=1;
}
}
}else{
low[x]=min(low[x],dfn[y]);
}
}
}
int main(){
cin>>n>>m;
for(int i=1;i<=m;i++){
int x,y;
cin>>x>>y;
e[x].push_back(y);
e[y].push_back(x);
}
for(int i=1;i<=n;i++){
if(!dfn[i]){
rt=i;
dfs(0,i);
}
}
for(int i=1;i<=n;i++){
if(cut[i])tot++;
}
cout<<tot<<endl;
for(int i=1;i<=n;i++){
if(cut[i])cout<<i<<" ";
}
return 0;
}
#include <bits/stdc++.h>
using namespace std;
const int N = 2e5 + 10;
vector<int> e[N];
int dfn[N], low[N], tim;
vector<pair<int, int>> b;
int n, m;
void tarjan(int f, int x) {
dfn[x] = low[x] = ++tim;
for (int y : e[x]) {
if (y == f) continue;
if (!dfn[y]) {
tarjan(x, y);
low[x] = min(low[x], low[y]);
if (low[y] > dfn[x]) {
int a = min(x, y);
int bb = max(x, y);
b.push_back({a,bb});
}
} else {
low[x] = min(low[x], dfn[y]);
}
}
}
int main() {
cin >> n >> m;
for (int i = 1; i <= m; ++i) {
int x, y;
cin >> x >> y;
e[x].push_back(y);
e[y].push_back(x);
}
for (int i = 1; i <= n; ++i) {
if (!dfn[i]) {
tarjan(-1, i);
}
}
sort(b.begin(), b.end());
for (int i=0;i<b.size();i++) {
cout << b[i].first << " " << b[i].second << "\n";
}
return 0;
}

浙公网安备 33010602011771号