day:5测试用例常用术语
一、软件测试中术语
1.动态测试(dynamic testing):通过运行软件的组件或 系统来测试软件
例如:一辆汽车发动并行使测试
2.静态测试(static testing):对组件的规格说明书进行 评审,对静态代码进行走查
例如:一辆汽车为发动未行驶,查看外观、颜色、组成部分
3.正式评审(formal review):对评审过程及需求文档的 一种特定评审,比如:用例评审
a、组内评审(项目组中的成员:产品,开发,测试)
b、交叉评审(测试同事成员:测试a、测试b,测试c)
4、评审员(reviewer):参与评审的人
5、度量:测量所使用的方法或标准 (准入,准出)
准入:测试计划编写好,测试用例编写好,测试用例评审通过,环境搭建好
准出:
性能测试:
6.记录员:记录评审会议上的会议纪要
7.技术评审(Technical Review):同行间对技术进行的评审,目的是技术实现达成共识
8.走查(Walkthrough):由文档作者逐步陈述文档内容,以收集信 息并对内容达成一致
9.复杂性(complexity):系统或组件的设计或内部结构比较复杂, 导致难以理解,维护或验证的程度
10.圈复杂度(Cycloramic complexity):程序中独立路径的数量。可 以衡量一个组件模块的判定结构的复杂程度。
例如:软件复杂程度
11.控制流(Control Flow):执行组件或系统的一系列顺序的路径
12.数据流(Data Flow):表示数据对象的顺利或状态发生变化的过程
例如:状态变法:待支付》已支付,代发货》已发货,代签收
13.控制流图
控制流图(CFG,Controlflowgraph)也叫控制流程图,是一个过程或程序的抽象表现。
二、圈复杂度的详细了解

圈复杂度三种计算方式:
a.圈复杂=区域数
案例:5个区域
b.圈复杂度=边数-节点数+2
10-7+2=5
c.圈复杂度=判定节点+1
4+1=5
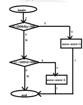
案例2:
if(x>100&&y>500)then
score=score+1
else if(x>=1000z>5000)then
score=score+2

圈复杂度:a.圈复杂=区域数
区域数3
b.圈复杂度=边数-节点数+2
7—6+2=3
c.圈复杂度=判定节点+1
2+1=3
案例3:
(x>100&&y>500)then
score-score+1
else if(x>=1000z>5000))then
score=score+2
else
score=score+3
end if

a.圈复杂=区域数
区域数:3
b.圈复杂度=边数-节点数+2
8-7+2=3
c.圈复杂度=判定节点+1
2+1=3
浙公网安备 33010602011771号