矩阵的秩,特征值和特征向量 矩阵基础概念
矩阵是非常重要而基础的数学知识了。大学课上学线性代数基本就是在学矩阵的各种操作和运算。在深度学习里,几乎所有的参数也都是存放在矩阵中,并通过矩阵来做各种运算。大概把矩阵的基本知识点复习和总结一下。
行列式和矩阵的区别:
行列式和矩阵特别像,行列式长这样(两边是竖线):

矩阵长这样:
或这样:
(两边是个括号)
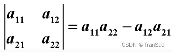
1.行列式是一个具体的值,他的值表示为:

这是二阶行列式,还有三阶,四阶行列式等,都可以用一套公式结论去求出值。
行列式我们只说它是“几阶”的,所以行列式的行数和列数是相等的。n阶行列式有n方个元素。
2.矩阵是一堆数值的分布,是一个数值表。矩阵一般有m*n个元素,行数可以和列数不等。
罗列几个我觉得矩阵当中比较重要的小点(一句一条):
一般n行1列的矩阵,就是一个列向量;1行n列的矩阵,就是一个行向量;
如果行列数量一样,则这个矩阵也可以叫做方阵;
矩阵的主对角线:从左上角到右下角的一条线;
若主对角线下方全为0,上方不为0,则是上三角矩阵;若主对角线上方全是0,则是下三角矩阵。

如果主对角线有值,且其他全是0,则这个矩阵是对角阵。在此基础之上,如果主对角线的值全都是1,则这个矩阵就是单位矩阵。

矩阵的运算(加法,乘法)之类的就略去了。但特别注意的是矩阵没有交换律(即AB!=BA),但矩阵有结合律 (AB)C=A(BC)和分配律A(B+C)=AB+AC。
矩阵的转置:行变列,列变行。如果A的转置=A,则A是对称矩阵。
矩阵求逆:如果AB=BA=1(单位矩阵),则A是B的逆矩阵。AA-1=1。(-1写在右上角)
向量的内积:a1=(x1,x2,x3),a2=(y1,y2,y3),则向量的内积表示为[a1,a2]=(x1y1,x2y2,x3y3)
矩阵的秩,特征值和特征向量
1.矩阵的秩
把一个m*n的矩阵拿出来,可以得到它的行向量组(每一行是一个向量,共m个向量)或者列向量组(每一列是一个向量,共n个向量)。
我们就拿行向量组来分析:
假如这m个向量,互相全都是线性无关的,则这个矩阵的秩就是m。其实就是:有几个线性无关,则这个矩阵的秩就是几。什么是“线性无关呢”,举个例子,向量[1,2,1]和向量[2,4,2]一看就知道是*2的关系,则这两者“现行有关”;若是向量[1,2,1]和向量[1,5,2],则这两个矩阵线性无关。
要判断a1,a2,a3是否线性无关,可以令k1a1+k2a2+k3a3=0,通过解方程的方式来判断是否a1,a2,a3线性无关。若k1=k2=k3=0,则线性无关。
这里有个规律:不管是拿矩阵的行向量组还是列向量组来计算,最终得到的秩都是一样的。
我的理解:矩阵的秩就是矩阵当中互不相关的向量的个数。
2.矩阵的特征值和特征向量
首先明确,矩阵乘以向量,可以对向量起到拉伸和旋转的作用。
比如我现在有一个向量(1,1)
则它现在是这样的:

若拿一个矩阵乘以这个向量(1,1),比如拿这个矩阵来乘:
可以看出我们会得到结果(2,1),画在图上就是这个效果:

可以发现这里我们只用了一个对角矩阵,实现了对原向量在横坐标上的一个拉伸。再进一步思考,其实如果矩阵的右上角不为0,或者左下角不为0(假设是个正值),则分别会导致原向量向右旋转或向左旋转。可以得到结论:矩阵可以作用到一个向量,使其旋转或拉伸。
那有没有一类向量,我使用一个矩阵去作用之后,它的方向不变呢?有!通过这样就可以引出特征值和特征向量来:
对于一个矩阵A,我们寻找一个非零向量x,使得A作用后的x(即Ax)与x平行,并且大小上满足Ax=λx(λ是个常数)。一旦找到这样的存在,则x就是特征向量,λ就是特征值。
换个通俗的说法:我们用矩阵A去作用(乘以)世界上所有的向量。其中矩阵A作用后的大部分向量都会被旋转和拉伸,只有矩阵A的特征向量能够独善其身(保持原有的方向)~
其实,特征向量就代表了矩阵当中的“某一方向”,它能够代表矩阵的关键信息。所以这样两个拥有同样特征的存在相互作用,方向自然不会改变了。而且他们“方向”越一致(越是同道中人~),作用的结果就会越大,λx当中的特征值λ也会越大,因此特征值λ的大小也代表了这个特征向量的重要程度(相比于这一矩阵的其他特征向量)。我记得学习和接触PCA降维的时候,特征值越大的特征向量就越重要,因为这样的向量更能代表图像特征,就是这个意思。
一个矩阵有多个特征向量,我们用特征空间来表示所有这些。即特征空间包含了所有的特征向量。
关于矩阵的最常使用的一些概念就整理到此,我最大的感受还是温故而知新,条理清晰了不少。

浙公网安备 33010602011771号