环形链表 快慢指针
给你一个链表的头节点 head ,判断链表中是否有环。
如果链表中有某个节点,可以通过连续跟踪 next 指针再次到达,则链表中存在环。 为了表示给定链表中的环,评测系统内部使用整数 pos 来表示链表尾连接到链表中的位置(索引从 0 开始)。如果 pos 是 -1,则在该链表中没有环。注意:pos 不作为参数进行传递,仅仅是为了标识链表的实际情况。
如果链表中存在环,则返回 true 。 否则,返回 false 。
示例 1:

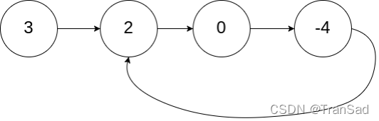
输入:head = [3,2,0,-4], pos = 1
输出:true
解释:链表中有一个环,其尾部连接到第二个节点。
示例 2:

输入:head = [1,2], pos = 0
输出:true
解释:链表中有一个环,其尾部连接到第一个节点。
示例 3:

输入:head = [1], pos = -1
输出:false
解释:链表中没有环。
思路:
经典题中的经典题,判断链表是否成环用快慢指针来做。
快慢指针同时从head出发,慢指针一次走一步,快指针一次走两步,如果链表没有环,则快指针会先走到链表头,程序结束;如果链表有环,则快慢指针必然会相遇(因为它们会以不同的速度在环里运动,一定会相遇)。
代码:
class Solution(object):
def hasCycle(self, head):
left = head#left是慢指针
right = head#right是快指针
while right and right.next:#判断right是否到头,条件要这样写
left = left.next#慢指针一次走一步
right = right.next.next#快指针一次走两步
if left==right:#如果在right走到头之前快慢指针相遇
return True#有环,提前结束
return False#否则无环
小结:
环形链表题的思路是非常简单的,就是使用快慢指针。但使用时的一些细节要注意,比如这里while的判断,因为right每次都要跳两步,有可能直接跳到最后一个节点,也有可能直接跳出链表到None,所以要注意right的判断并不单单是while right(这样的话如果在最后一个节点再跳两步会出错:None值没有next)。

浙公网安备 33010602011771号