LeetCode相交链表
给你两个单链表的头节点 headA 和 headB ,请你找出并返回两个单链表相交的起始节点。如果两个链表不存在相交节点,返回 null 。
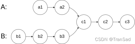
图示两个链表在节点 c1 开始相交:
题目数据 保证 整个链式结构中不存在环。
注意,函数返回结果后,链表必须 保持其原始结构 。
自定义评测:
评测系统 的输入如下(你设计的程序 不适用 此输入):
- intersectVal - 相交的起始节点的值。如果不存在相交节点,这一值为 0
- listA - 第一个链表
- listB - 第二个链表
- skipA - 在 listA 中(从头节点开始)跳到交叉节点的节点数
- skipB - 在 listB 中(从头节点开始)跳到交叉节点的节点数
评测系统将根据这些输入创建链式数据结构,并将两个头节点 headA 和 headB 传递给你的程序。如果程序能够正确返回相交节点,那么你的解决方案将被 视作正确答案 。
示例 1:
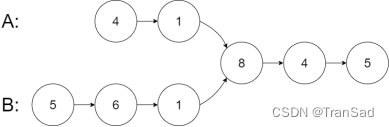
输入:intersectVal = 8, listA = [4,1,8,4,5], listB = [5,6,1,8,4,5], skipA = 2, skipB = 3输出:Intersected at '8'解释:相交节点的值为 8 (注意,如果两个链表相交则不能为 0)。
从各自的表头开始算起,链表 A 为 [4,1,8,4,5],链表 B 为 [5,6,1,8,4,5]。
在 A 中,相交节点前有 2 个节点;在 B 中,相交节点前有 3 个节点。
示例 2:
输入:intersectVal = 2, listA = [1,9,1,2,4], listB = [3,2,4], skipA = 3, skipB = 1输出:Intersected at '2'解释:相交节点的值为 2 (注意,如果两个链表相交则不能为 0)。
从各自的表头开始算起,链表 A 为 [1,9,1,2,4],链表 B 为 [3,2,4]。
在 A 中,相交节点前有 3 个节点;在 B 中,相交节点前有 1 个节点。
示例 3:
输入:intersectVal = 0, listA = [2,6,4], listB = [1,5], skipA = 3, skipB = 2输出:null解释:从各自的表头开始算起,链表 A 为 [2,6,4],链表 B 为 [1,5]。
由于这两个链表不相交,所以 intersectVal 必须为 0,而 skipA 和 skipB 可以是任意值。
这两个链表不相交,因此返回 null 。
思路:
一道简单题,不需要想的很复杂。直接用python的集合这一数据类型。图中每一个节点都是独立且独一无二的,所以可以先遍历A链表,把所有的节点放入set,再遍历B链表,当遍历到的节点在集合中出现过,则就是相交节点了~
代码:
class Solution(object):
def getIntersectionNode(self, headA, headB):
sett = set()
while headA:
sett.add(headA)
headA = headA.next
while headB:
if headB not in sett:
headB=headB.next
else:#若第一次发现B的某个节点也在集合中,则直接返回这个节点就是最终结果
return headB

浙公网安备 33010602011771号