删除排序链表中的重复元素 递归/非递归
给定一个已排序的链表的头 head , 删除所有重复的元素,使每个元素只出现一次 。返回 已排序的链表 。
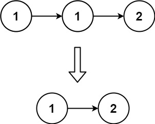
示例 1:

输入:head = [1,1,2]
输出:[1,2]
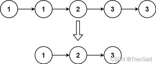
示例 2:

输入:head = [1,1,2,3,3]
输出:[1,2,3]
思路:
这道题给的是排序好的链表,因此要删除的重复节点肯定也都是连在一起的,实现起来比较容易,我们只需要判断连续的节点是否重复即可。
有两种解决思路:
第一种是非递归的写法,就是用两个节点一前一后地遍历一遍链表,找到重复的就按常规的链表删除节点的操作删除重复节点;非递归实现的具体细节直接看代码注释好了。
非递归实现:
class Solution(object):
def deleteDuplicates(self, head):
#普通迭代写法
if not head:#如果head为空
return head#直接返回head
pre = head#pre是第一个指针,在头节点位置
h = head#h暂存头节点
head=head.next#head开始向后移动,作为第二个指针
#接下来就是通过pre,head两个指针,一前一后来同时行进
while(head):#当head还没走到头
if pre.val==head.val:#如果这两个指针的值相同,证明遇到重复值了
pre.next=head.next#把此时head所在的节点删掉
head=head.next
else:#如果没有遇到重复元素,两者照常继续走
pre=pre.next
head=head.next
return h#返回暂存的头节点
第二种是递归的写法,明确了递归函数的作用之后,如果能明确思路,代码写起来十分简洁。递归写法中,我们明确递归函数deleteDuplicates(head)的作用就是:传入头节点head,返回将head以及head之后重复节点删除掉的链表。那么我们用递归的写法就是,调用deleteDuplicates(head.next),此时我们得到了head.next以及之后没有重复元素的链表,我们让head指向这个返回结果后,只需要再判断head和head.next这两者否是重复即可。此外,在递归函数开头,还要定义base case,当head为空节点或末尾节点时,此时没有可以删除的重复元素,直接返回head。
递归函数的妙处就在于,只要明确了函数的作用和调用方式,不需要跳进递归,直接用递归函数的“定义”来帮我们解决问题。
递归实现:
class Solution(object):
def deleteDuplicates(self, head):
#递归写法
if not head or not head.next: #如果head为空或者是末尾节点
return head#直接返回head
#head直接指向head.next删除重复节点的调用
head.next = self.deleteDuplicates(head.next)
#此时我们直到head.next之后都是无重复的
#只需要判断head和head.next是不是重复的就行
if head.val == head.next.val:#如果是
head= head.next#删除当前head指针所在节点(head指针移到下一位)
return head

浙公网安备 33010602011771号