JVM_07_垃圾回收算法的标记阶段
在堆里存放着几乎所有的Java对象实例,在GC执行垃圾回收之前,首先需要区分出内存中哪些是存活对象,哪些是已经死亡的对象。只有被标记为己经死亡的对象,GC才会在执行垃圾回收时,释放掉其所占用的内存空间,因此这个过程我们可以称为垃圾标记阶段。
那么在JVM中究竟是如何标记一个死亡对象呢?简单来说,当一个对象已经不再被任何的存活对象继续引用时,就可以宣判为已经死亡。
判断对象存活,一般有两种方式:引用计数算法和可达性分析算法。
1 引用计数算法--java并没有使用
对每个对象保存一个整型的引用 计数器属性。用于记录对象被引用的情况。
对于一个对象A,只要有任何一个对象引用了A,则A的引用计数器就加1;当引用失效时,引用计数器就减1。只要对象A的引用计数器的值为0,即表示对象A不可能再被使用,可进行回收。
优点:实现简单,垃圾对象便于辨识;判定效率高,回收没有延迟性。
缺点:
➢它需要单独的字段存储计数器,这样的做法增加了存储空间的开销。
➢每次赋值都需要更新计数器,伴随着加法和减法操作,这增加了时间开销。
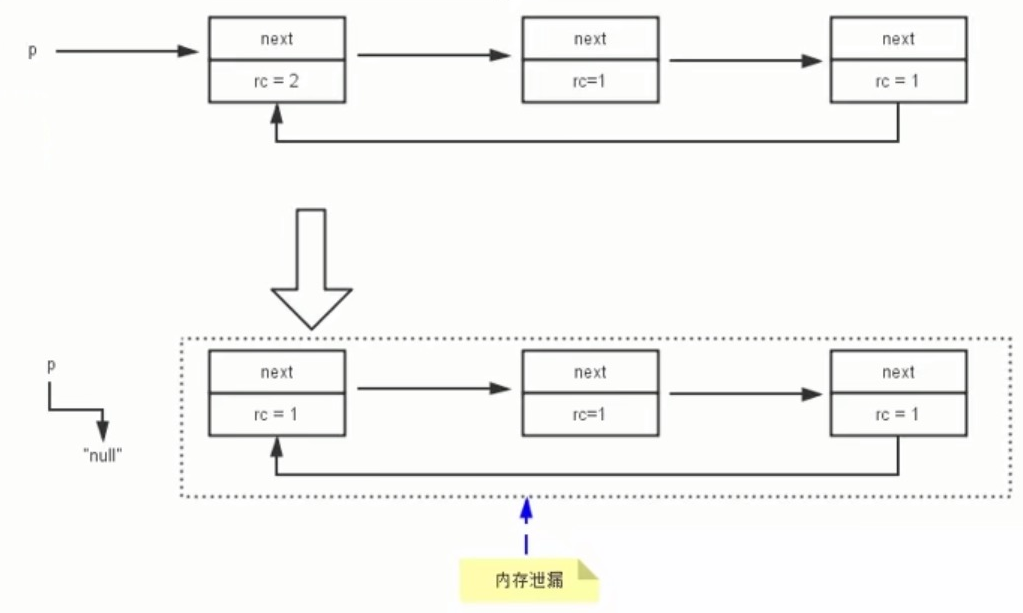
➢引用计数器有一个严重的问题,即无法处理循环引用的情况。这是一条致命缺陷,导致在Java的垃圾回收器中没有使用这类算法。
循环引用如下:当p的指针不指向这三个对象后,理应这三个对象都进行垃圾回收,但是由于这三个的计数器只减了一次,不等于0,因此该算法认为其不是垃圾

2 可达性分析算法(根搜索算法、追踪性垃圾收集)
相对于引用计数算法而言,可达性分析算法不仅同样具备实现简单和执行高效等特点,更重要的是该算法可以有效地解决在引用计数算法中循环引用的问题,防止内存泄漏的发生。
相较于引用计数算法,这里的可达性分析就是Java、C#选择的。这种类型的垃圾收集通常也叫作追踪性垃圾收集。
"GC Roots"根集合
所谓"GC Roots"根集合就是一组必须活跃的引用。
基本思路:
➢可达性分析算法是以根对象集合(GC Roots) 为起始点,按照从上至下的方式搜索被根对象集合所连接的目标对象是否可达。
➢使用可达性分析算法后,内存中的存活对象都会被根对象集合直接或间接连接着,搜索所走过的路径称为引用链(Reference Chain)。
➢如果目标对象没有任何引用链相连,则是不可达的,就意味着该对象己经死亡,可以标记为垃圾对象。
➢在可达性分析算法中,只有能够被根对象集合直接或者间接连接的对象才是存活对象。
总结的大白话:就像树一样,只有根节点在GC Roots Set中才可以存活,如下图:

GC Roots包括的几类元素
虚拟机栈中引用的对象
➢比如:各个线程被调用的方法中使用到的参数、局部变量等。
本地方法栈内JNI (通常说的本地方法)引用的对象
方法区中类静态属性引用的对象
➢比如:Java类的引用类型静态变量
方法区中常量引用的对象
➢比如:字符串常量池(string Table)里的引用
所有被同步锁synchroni zed持有的对象
Java虚拟机内部的引用。
➢基本数据类型对应的Class对象,一些常驻的异常对象(如:NullPointerException、OutOfMemoryError),系统类加载器。
反映java虚拟机内部情况的JMXBean、JVMTI中注册的回调、本地代码缓存等。
除了这些固定的GCRoots集合以外,根据用户所选用的垃圾收集器以及当前回收的内存区域不同,还可以有其他对象“临时性”地加入,共同构成完整GC Roots集合。 比如:分代收集和局部回收(Partial GC)。
➢如果只针对Java堆中的某块区域进行垃圾回收(比如:典型的只针对新生代),必须考虑到内存区域是虚拟机自己的实现细节,更不是孤立封闭的,这个区域的对象完全有可能被其他区域的对象所引用,这时候就需要一并将关联的区域对象也加入GC Roots集合中去考虑,才能保证可达性分析的准确性。
注意:如果要使用可达性分析算法来判断内存是否可回收,那么分析工作必须在,一个能保障一致性的快照中进行(此时分析期间,整个执行系统看起来就像冻结在了某个时间点上)。这点不满足的话分析结果的准确性就无法保证。这点也是导致Gc进行时必须"StopTheWorld"的一个重要原因。
➢即使是号称(几乎)不会发生停顿的CMS收集器中,枚举根节点时也是必须要停顿的。
3 finalization机制
Java语言提供了对象终止(finalization) 机制来允许开发人员提供对象被销毁之前的自定义处理逻辑。
当垃圾回收器发现没有引用指向一个对象,即:垃圾回收此对象之前,总会先调用这个对象的finalize()方法。
finalize()方法允许在子类中被重写,用于在对象被回收时进行资源释放。通常在这个方法中进行一些资源释放和清理的工作,比如关闭文件、套接字和数据库连接等。
永远不要主动调用某个对象的finalize()方法,应该交给垃圾回收机制调用。
由于finalize ()方法的存在,虚拟机中的对象一般处于三种可能的状态。
如果从所有的根节点都无法访问到某个对象,说明对象已经不再使用了。一般来说,此对象需要被回收。但事实上,也并非是“非死不可”的,这时候它们暂时处于“缓刑”阶段。一个无法触及的对象有可能在某一个条件下“复活”自己,如果这样,那么对它的回收就是不合理的,为此,定义虚拟机中的对象可能的三种状态。如下:
➢可触及的:从根节点开始,可以到达这个对象。
➢可复活的:对象的所有引用都被释放,但是对象有可能在finalize()中复活。
➢不可触及的:对象的finalize()被调用,并且没有复活,那么就会进入不可触及状态。不可触及 的对象不可能被复活,因为finalize()只会被调用一次。
以上3种状态中,是由于finalize ()方法的存在,进行的区分。只有在对象不可触及时才可以被回收。
具体过程
判定一个对象objA是否可回收,至少要经历两次标记过程:
1.如果对象objA到GC Roots没有引用链,则进行第1次标记。
2.进行筛选,判断此对象是否有必要执行finalize()方法
①如果对象objA没有重写finalize()方法(因为如果没有重写,该方法里面啥也没有,不可能将其复活),或者finalize()方法已经被虚拟机调用过(该方法只能被调用一次,不能再调用),则虚拟机视为“没有必要执行”,objA被判定为不可触及的。.
②如果对象objA重写 了finalize()方法,且还未执行过,那么objA会被插入到F-Queue队列中,由一个虚拟机自动创建的、低优先级的Finalizer线程触发其finalize()方法执行。
③finalize ()方法是对象逃脱死亡的最后机会,稍后Gc会对F-Queue队列中的对象进行第二次标记。如果objA在finalize()方法中与引用链上的任何1个对象建立了联系,那么在第二次标记时,objA会被移出“即将回收”集合。之后,对象会再次出现没有引用存在的情况。在这个情况下,finalize方法不会被再次调用,对象会直接变成不可触及的状态,也就是说,一个对象的finalize方法只会被调用一次。

浙公网安备 33010602011771号