DDA算法

参考资料:https://www.bilibili.com/video/BV1sy4y1J7ss?from=search&seid=17518618955524954506

 

感谢孔令德先生分享的视频以及网上的资源让我弄清楚了这个算法,成功迈出第一步

 

首先是介绍主位移方向,属于预备知识

 

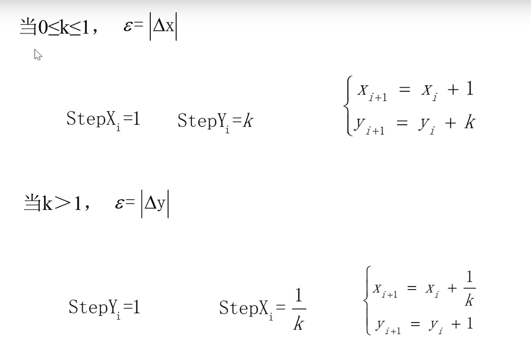
算法核心,以y=kx+b为例子,当x+1时,那么y的变化是增加了k,同理y+1时x加了k分之一

 

代码实现:首先定义出eps1,确定主方向,然后用循环遍历出x,y,的增加

 

posted @ 2021-06-27 17:30  橘某  阅读(392)  评论(0)    收藏  举报