剑指Offer | day12_双指针
2021/10/4 | 占坑+2
我是菜鸡我是菜鸡我是菜鸡
如果骂自己有用的话。
剑指 Offer 25. 合并两个排序的链表
输入两个递增排序的链表,合并这两个链表并使新链表中的节点仍然是递增排序的。
示例1:
输入:1->2->4, 1->3->4
输出:1->1->2->3->4->4
限制:
0 <= 链表长度 <= 1000
方法:双指针
class Solution {
public:
ListNode* mergeTwoLists(ListNode* l1, ListNode* l2) {
ListNode* head = new ListNode(-1);
ListNode* rear = head;
while(l1 != NULL && l2 != NULL) {
if(l1->val < l2->val) {
rear->next = l1;
l1 = l1->next;
}
else {
rear->next = l2;
l2 = l2->next;
}
rear = rear->next;
}
if(l1 != NULL) {
rear->next = l1;
}
if(l2 != NULL) {
rear->next = l2;
}
return head->next;
}
};
- 时间复杂度:O(M+N)
- 空间复杂度:O(1)
剑指 Offer 52. 两个链表的第一个公共节点
输入两个链表,找出它们的第一个公共节点。
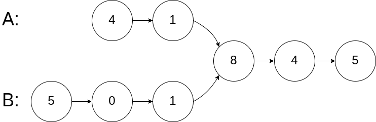
如下面的两个链表:

在节点 c1 开始相交。
示例 :

输入:intersectVal = 8, listA = [4,1,8,4,5], listB = [5,0,1,8,4,5], skipA = 2, skipB = 3
输出:Reference of the node with value = 8
输入解释:相交节点的值为 8 (注意,如果两个列表相交则不能为 0)。从各自的表头开始算起,链表 A 为 [4,1,8,4,5],链表 B 为 [5,0,1,8,4,5]。在 A 中,相交节点前有 2 个节点;在 B 中,相交节点前有 3 个节点。
注意:
- 如果两个链表没有交点,返回
null. - 在返回结果后,两个链表仍须保持原有的结构。
- 可假定整个链表结构中没有循环。
- 程序尽量满足 O(n) 时间复杂度,且仅用 O(1) 内存。
方法一:哈希表
class Solution {
public:
ListNode *getIntersectionNode(ListNode *headA, ListNode *headB) {
// 将链表A加入哈希表
unordered_map<ListNode*, int> map;
ListNode* p = headA;
while(p != NULL) {
if(!map.count(p)) {
map[p] = 1;
}
p = p->next;
}
// 遍历链表B
ListNode* q = headB;
while(q != NULL) {
if(map.count(q)) {
return q;
}
q = q->next;
}
return NULL;
}
};
- 时间复杂度:O(n)
- 空间复杂度:O(n)
方法二:双指针
思路:意想不到的双指针,根据len(A) + len(B) == len(B) + len(A)可知,如果存在交点的话,两个指针循环完本链表后,接着循环另一条链表,是一定会结束在同一个节点的。如果不存在交点的话,两个指针会同时循环完两条链表,并且同时指向NULL
class Solution {
public:
ListNode *getIntersectionNode(ListNode *headA, ListNode *headB) {
if(headA == NULL || headB == NULL) {
return NULL;
}
ListNode *node1 = headA;
ListNode *node2 = headB;
while(node1 != node2) {
node1 = (node1 == NULL) ? headB : node1->next;
node2 = (node2 == NULL) ? headA : node2->next;
}
return node1;
}
};
- 时间复杂度:O(n)
- 空间复杂度:O(1)

浙公网安备 33010602011771号