力扣练习——50 网络延迟时间
1.问题描述
有 N 个网络节点,标记为 1 到 N。
给定一个列表 times,表示信号经过有向边的传递时间。 times[i] = (u, v, w),其中 u 是源节点,v 是目标节点, w 是一个信号从源节点传递到目标节点的时间。
现在,我们从某个节点 K 发出一个信号。需要多久才能使所有节点都收到信号?如果不能使所有节点收到信号,返回 -1。
示例:
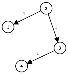
times = [[2,1,1],[2,3,1],[3,4,1]], N = 4, K = 2

输入:
4 3 2
2 1 1
2 3 1
3 4 1
输出:2
可使用以下main函数:
int main()
{
int N,M,K;
vector<vector<int> > times;
cin>>N>>M>>K;
int u,v,w;
for(int i=0; i<M; i++)
{
cin>>u>>v>>w;
vector<int> time;
time.push_back(u);
time.push_back(v);
time.push_back(w);
times.push_back(time);
}
int res=Solution().networkDelayTime(times,N,K);
cout<<res<<endl;
}
2.输入说明
首先输入网络节点个数N,传递时间列表 times的长度M,起始节点K
然后输入M行,每行三个整数(u, v, w),其中 u 是源节点,v 是目标节点, w 是一个信号从源节点传递到目标节点的时间。
N 的范围在 [1, 100] 之间。
K 的范围在 [1, N] 之间。
times 的长度M在 [1, 6000] 之间。
所有的边 times[i] = (u, v, w) 都有 1 <= u, v <= N 且 0 <= w <= 100。
3.输出说明
输出一个整数,表示结果。
4.范例
输入
4 3 2
2 1 1
2 3 1
3 4 1
输出
2
5.代码
#include <iostream> #include <queue> #include <cstdlib> #include <cstring> #include<map> #include<vector> #include<algorithm> using namespace std; int networkDelayTime(vector<vector<int> > times,int N,int K) { //带权有向图问题,连通性判断,遍历时间计算【遍历到所有节点最长需要多少时间】 //使用Dijkstra算法 用来解决单源最短路问题 //思想:贪心 /*设置集合S存放已被访问的顶点,然后执行n次下面的两个步骤(n为顶点个数) 1)每次从集合V - S中选择与起点v0的最短距离最小的一个顶点(记为u),访问并加入集合S。 2)之后,令顶点u为中间点,优化起点v0与所有从u能到达的顶点v之间的最短距离。*/ const int INF = INT_MAX/2;//到不了的节点初始距离都为无穷大 //遍历图,更新(u,v)之间的距离 times中的点表示为(u,v,w)u为起点,v为终点,w为权重 //创建二维数组dist[u][v] vector<vector<int> >g(N, vector<int>(N, INF)); for (auto t : times) { int u = t[0]-1;//起点, 为了方便,存储时将原来的编号 1-N 缩小为 0-N-1 int v = t[1]-1;//终点 int w = t[2];//距离【权重】 g[u][v] = w; } //记录源点v0到所有其他顶点的距离 ,这里v0是K-1 vector<int>dist(N, INF); dist[K-1] = 0; //标记该节点是否已经加入到S中 vector<int>visited(N); for (int i = 0; i < N; i++) { int x = -1; for (int y = 0; y < N; y++) { //注意这里是选择未被归入集合S的节点中的距离v0最近的那个点 //注意这里的u==-1不可以省略 len[j]是指编号为K-1的节点【也就是V0点,源点】到编号为j的节点【原图中的j+1点】的距离 if (visited[y] == false && ( x == -1 || dist[y] < dist[x]))//从所有未被选择的节点中选择距离最近的节点,加入S中,并更新v0到其余剩下节点的距离的最小值 { x = y;//找到距离源点最短距离的点,归入到集合S中 } } visited[x] = true;//已经归入S中,添加标记 //更新源点到其他点的距离 for (int y = 0; y < N; y++) { dist[y] = min(dist[y], dist[x] + g[x][y]);//判断 将新加入的节点u作为中间点,会不会使源点到其他点的距离变短? } } sort(dist.begin(), dist.end()); int ans = dist[N - 1];//返回最大值 return ans == INF ? -1 : ans;//如果存在到不了的点,那就输出-1 //后记:有好几个地方需要注意 //1.要防止溢出的问题,dist[x]+g[x][y]得到的数字可能会超出int型的范围,因此必须把INF设置成INT_MAX/2 //2.最后输出的地方,不要写错等号 ,是双等号!!否则是赋值操作 } int main() { int N, M, K; vector<vector<int> > times; cin >> N >> M >> K; int u, v, w; for (int i = 0; i < M; i++) { cin >> u >> v >> w; vector<int> time; time.push_back(u); time.push_back(v); time.push_back(w); times.push_back(time); } int res = networkDelayTime(times, N, K); cout << res << endl; }

浙公网安备 33010602011771号