算法合集
- 微软面试题合集
- 56. 合并区间
- 986. 区间列表的交集
- 300. 最长递增子序列
- 剑指 Offer 59 - II. 队列的最大值
- 24. 两两交换链表中的节点
- 31. 下一个排列
- 207. 课程表
- 剑指 Offer 48. 最长不含重复字符的子字符串
- LRU和LFU的区别
- 146. LRU 缓存
- 460. LFU 缓存
- 513. 找树左下角的值
- 剑指 Offer II 045. 二叉树最底层最左边的值
- 124. 二叉树中的最大路径和
- 8. 字符串转换整数 (atoi)
- 53. 最大子数组和
- 43. 字符串相乘
- 【1087】花括号展开
- 二叉树根节点-叶子节点路径和
- 273. 整数转换英文表示
- 450. 删除二叉搜索树中的节点
- 468. 验证IP地址
- 二叉树的直径,见下面(搜索543)
- 208. 实现 Trie (前缀树)
- 486. 预测赢家
- 如果要优化的话就使用双链表法
- 数组
- 二分法
- 滑动窗口
- 栈
- 单调栈
- 二叉树
- 前序遍历(L144)
- 中序遍历94
- 后序遍历145
- 层序遍历102
- 199. 二叉树的右视图
- 对称二叉树101
- 二叉树的最大深度104
- 二叉树的最小深度111
- 完全二叉树的节点个数222
- 958. 二叉树的完全性检验
- 662. 二叉树最大宽度 ()
- 平衡二叉树110
- 二叉树的所有路径257
- 左叶子之和404
- 路径总和112
- 113. 路径总和 II
- 124.二叉树中的最大路径和
- 翻转二叉树226
- 105. 从前序与中序遍历序列构造二叉树
- 中序与后序遍历构造二叉树106
- 合并二叉树617
- 236. 二叉树的最近公共祖先
- 129. 求根节点到叶节点数字之和
- 543. 二叉树的直径
- 98. 验证二叉搜索树(hh)
- 剑指 54. 二叉搜索树的第k大节点 ()
- 回溯
- 链表
- 动态规划
- 基本思路
- DFS(深度优先)
- KMP算法
- 贪心算法
- 并查集
- 图
- 位运算
- 排序
- 比较器的使用
- Map的遍历方式
- 多线程
- sql面试题
- 美团笔试:
- 阿里笔试
- 网易笔试3.27
微软面试题合集

重复区间个树
56. 合并区间
以数组 intervals 表示若干个区间的集合,其中单个区间为 intervals[i] = [starti, endi] 。请你合并所有重叠的区间,并返回 一个不重叠的区间数组,该数组需恰好覆盖输入中的所有区间 。
示例 1:
输入:
intervals = [[1,3],[2,6],[8,10],[15,18]]
输出:[[1,6],[8,10],[15,18]]
解释:区间 [1,3] 和 [2,6] 重叠, 将它们合并为 [1,6].

class Solution {
public int[][] merge(int[][] intervals) {
// 先按照区间起始位置排序
Arrays.sort(intervals, (v1, v2) -> v1[0] - v2[0]);
// 遍历区间
int[][] res = new int[intervals.length][2];
int idx = -1;
for (int[] interval: intervals) {
// 如果结果数组是空的,或者当前区间的起始位置 > 结果数组中最后区间的终止位置,
// 则不合并,直接将当前区间加入结果数组。
if (idx == -1 || interval[0] > res[idx][1]) {
res[++idx] = interval;
} else {
// 反之将当前区间合并至结果数组的最后区间
res[idx][1] = Math.max(res[idx][1], interval[1]);
}
}
return Arrays.copyOf(res, idx + 1);
}
}
作者:sweetiee
链接:https://leetcode-cn.com/problems/merge-intervals/solution/chi-jing-ran-yi-yan-miao-dong-by-sweetiee/
来源:力扣(LeetCode)
著作权归作者所有。商业转载请联系作者获得授权,非商业转载请注明出处。
986. 区间列表的交集
给定两个由一些 闭区间 组成的列表,firstList 和 secondList ,其中 firstList[i] = [starti, endi] 而 secondList[j] = [startj, endj] 。每个区间列表都是成对 不相交 的,并且 已经排序 。
返回这 两个区间列表的交集 。
形式上,闭区间 [a, b](其中 a <= b)表示实数 x 的集合,而 a <= x <= b 。
两个闭区间的 交集 是一组实数,要么为空集,要么为闭区间。例如,[1, 3] 和 [2, 4] 的交集为 [2, 3] 。

输入:firstList = [[0,2],[5,10],[13,23],[24,25]], secondList = [[1,5],[8,12],[15,24],[25,26]]
输出:[[1,2],[5,5],[8,10],[15,23],[24,24],[25,25]]
示例 2:
输入:firstList = [[1,3],[5,9]], secondList = []
输出:[]
300. 最长递增子序列
给你一个整数数组 nums ,找到其中最长严格递增子序列的长度。
子序列 是由数组派生而来的序列,删除(或不删除)数组中的元素而不改变其余元素的顺序。例如,[3,6,2,7] 是数组 [0,3,1,6,2,2,7] 的子序列。
示例 1:
输入:nums = [10,9,2,5,3,7,101,18]
输出:4
解释:最长递增子序列是 [2,3,7,101],因此长度为 4 。
动态规划+二分查找
- 时间复杂度 O(NlogN): 遍历 nums列表需 O(N),在每个 nums[i] 二分法需 O(logN)。
- 空间复杂度 O(N): tails列表占用线性大小额外空间。
// Dynamic programming + Dichotomy.
class Solution {
public int lengthOfLIS(int[] nums) {
int[] tails = new int[nums.length];
int res = 0;
for(int num : nums) {
int i = 0, j = res;
while(i < j) {
int m = (i + j) / 2;
if(tails[m] < num) i = m + 1;
else j = m;//找到小于等于num的,则j要向左变小,
}
tails[i] = num;
if(res == j) res++;//如果在tail数组中找到比num小的,说明j!=res,则res长度不变
//反之,没有找到的话,说明j没有变,j=res,则长度res++
}
return res;
}
}
作者:jyd
链接:https://leetcode-cn.com/problems/longest-increasing-subsequence/solution/zui-chang-shang-sheng-zi-xu-lie-dong-tai-gui-hua-2/
来源:力扣(LeetCode)
著作权归作者所有。商业转载请联系作者获得授权,非商业转载请注明出处。
剑指 Offer 59 - II. 队列的最大值
请定义一个队列并实现函数 max_value 得到队列里的最大值,要求函数max_value、push_back 和 pop_front 的均摊时间复杂度都是O(1)。
若队列为空,pop_front 和 max_value 需要返回 -1
示例 1:
输入:
["MaxQueue","push_back","push_back","max_value","pop_front","max_value"]
[[],[1],[2],[],[],[]]
输出: [null,null,null,2,1,2]

class MaxQueue {
Queue<Integer> queue;//正常的队列
Deque<Integer> deque;//维持最大值的队列,递减的列表
public MaxQueue() {
queue = new LinkedList<>();
deque = new LinkedList<>();
}
public int max_value() {
return deque.isEmpty() ? -1 : deque.peekFirst();
}
public void push_back(int value) {
queue.offer(value);
while(!deque.isEmpty() && deque.peekLast() < value)
deque.pollLast();
deque.offerLast(value);
}
public int pop_front() {
if(queue.isEmpty()) return -1;
if(queue.peek().equals(deque.peekFirst()))
deque.pollFirst();
return queue.poll();
}
}
作者:jyd
链接:https://leetcode-cn.com/problems/dui-lie-de-zui-da-zhi-lcof/solution/jian-zhi-offer-59-ii-dui-lie-de-zui-da-z-0pap/
来源:力扣(LeetCode)
著作权归作者所有。商业转载请联系作者获得授权,非商业转载请注明出处。
24. 两两交换链表中的节点
递归解法
class Solution {
public ListNode swapPairs(ListNode head) {
if(head == null || head.next == null){
return head;
}
ListNode next = head.next;
head.next = swapPairs(next.next);
next.next = head;
return next;
}
}
非递归解法
class Solution {
public ListNode swapPairs(ListNode head) {
ListNode pre = new ListNode(0);
pre.next = head;
ListNode temp = pre;
while(temp.next != null && temp.next.next != null) {
ListNode start = temp.next;
ListNode end = temp.next.next;
temp.next = end;
start.next = end.next;
end.next = start;
temp = start;
}
return pre.next;
}
}
31. 下一个排列
比数字123大一点的数,就是132.
示例 1:
输入:nums = [1,2,3]
输出:[1,3,2]
示例 2:
输入:nums = [3,2,1]
输出:[1,2,3]
比如 nums = [1,2,7,4,3,1],下一个排列是什么?
我们找到第一个最大索引是 nums[1] = 2,从右往左,找到第一个最小的值,
再找到第二个最大索引是 nums[4] = 3,从右往左,找到第一索引大的第一个值,
交换,nums = [1,3,7,4,2,1];
翻转,nums = [1,3,1,2,4,7]
完毕!
所以,
时间复杂度:O(n)
空间复杂度:O(1)

class Solution {
public void nextPermutation(int[] nums) {
if (nums == null || nums.length == 0) return;
int firstIndex = -1;
//从右往左,找到第一个打破降序的数的索引firstIndex,
for (int i = nums.length - 2; i >= 0; i--) {
if (nums[i] < nums[i + 1]) {
firstIndex = i;
break;
}
}
//如果就是最大值,就相当于从左到右一直递减,则直接颠倒
if (firstIndex == -1) {
reverse(nums, 0, nums.length - 1);
return;
}
//从右往左,找到第一个比firstIndex处的值大的值。
int secondIndex = -1;
for (int i = nums.length - 1; i >= 0; i--) {
if (nums[i] > nums[firstIndex]) {
secondIndex = i;
break;
}
}
//然后交换两个值,再颠倒
swap(nums, firstIndex, secondIndex);
reverse(nums, firstIndex + 1, nums.length - 1);
return;
}
private void reverse(int[] nums, int i, int j) {
while (i < j) {
swap(nums, i++, j--);
}
}
private void swap(int[] nums, int i, int i1) {
int tmp = nums[i];
nums[i] = nums[i1];
nums[i1] = tmp;
}
}
作者:powcai
链接:https://leetcode-cn.com/problems/next-permutation/solution/xia-yi-ge-pai-lie-by-powcai/
来源:力扣(LeetCode)
著作权归作者所有。商业转载请联系作者获得授权,非商业转载请注明出处。
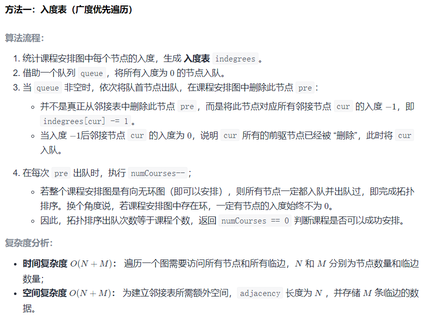
207. 课程表
请你判断是否可能完成所有课程的学习?如果可以,返回 true ;否则,返回 false 。
示例 1:
输入:numCourses = 2, prerequisites = [[1,0]]
输出:true
解释:总共有 2 门课程。学习课程 1 之前,你需要完成课程 0 。这是可能的。
示例 2:
输入:numCourses = 2, prerequisites = [[1,0],[0,1]]
输出:false
解释:总共有 2 门课程。学习课程 1 之前,你需要先完成课程 0 ;并且学习课程 0 之前,你还应先完成课程 1 。这是不可能的。
解题思路:
本题可约化为: 课程安排图是否是 有向无环图(DAG)。即课程间规定了前置条件,但不能构成任何环路,否则课程前置条件将不成立。
思路是通过 拓扑排序 判断此课程安排图是否是 有向无环图(DAG) 。 拓扑排序原理: 对 DAG 的顶点进行排序,使得对每一条有向边 (u, v),均有 u(在排序记录中)比 v先出现。亦可理解为对某点 v而言,只有当 v 的所有源点均出现了,v 才能出现。
通过课程前置条件列表 prerequisites 可以得到课程安排图的 邻接表 adjacency,以降低算法时间复杂度,以下两种方法都会用到邻接表。
方法一:入度表(广度优先遍历)
入度表:先统计每门课需要提前修多少门课,只有为0时,才能修这门课。(下标表示课程号)
邻接表,表示这门课修了,之后可以修哪些课,(下标表示课程号)
class Solution {
public boolean canFinish(int numCourses, int[][] prerequisites) {
//入度表,数组的下标代表着对应的课程,数组里的值代表需要提前修的课程数
int[] indegrees = new int[numCourses];
//邻接表,list的下标代表着对应的课程,每一行的代表着修完此科,接下来可以修的课程
List<List<Integer>> adjacency = new ArrayList<>();
//当课程的入度为0时,可以将该课程放进队列中,出队则表示修完该门课程
Queue<Integer> queue = new LinkedList<>();
//赋初值
for(int i = 0; i < numCourses; i++)
adjacency.add(new ArrayList<>());
// Get the indegree and adjacency of every course.
//先根据输入的数据,建立入度表和邻接表
for(int[] cp : prerequisites) {
indegrees[cp[0]]++;
adjacency.get(cp[1]).add(cp[0]);
}
// Get all the courses with the indegree of 0.
//这里是开始找第一个不需要提前修其他课程的课。找到之后放在队列里面,
for(int i = 0; i < numCourses; i++)
if(indegrees[i] == 0) queue.add(i);
// BFS TopSort.
//这里是在判断队列里面有没有可以修的课,
while(!queue.isEmpty()) {
//如果不为空,表示有课程可以修,队列弹出,表示修了这门课,然后未修的课程总树-numCourses-
int pre = queue.poll();
numCourses--;
//每出队一次,表示修完一门课,应该更新入度表(应该将邻接表中该门课里对应可以修的的课程的入度--),同时判断有没有新的入度为0的课程可以入队。
for(int cur : adjacency.get(pre))
if(--indegrees[cur] == 0) queue.add(cur);
}
//最后队列里能修的课程为空了,表示能修的课程都修完了,如果总课程数不等于0,表示不能修完这些课程。可能有环之类的。
return numCourses == 0;
}
}
作者:jyd
链接:https://leetcode-cn.com/problems/course-schedule/solution/course-schedule-tuo-bu-pai-xu-bfsdfsliang-chong-fa/
来源:力扣(LeetCode)
著作权归作者所有。商业转载请联系作者获得授权,非商业转载请注明出处。
剑指 Offer 48. 最长不含重复字符的子字符串
请从字符串中找出一个最长的不包含重复字符的子字符串,计算该最长子字符串的长度。
示例 1:
输入: "abcabcbb"
输出: 3
解释: 因为无重复字符的最长子串是 "abc",所以其长度为 3。
方法三:双指针 + 哈希表
class Solution {
public int lengthOfLongestSubstring(String s) {
Map<Character, Integer> dic = new HashMap<>();
int i = -1, res = 0;
for(int j = 0; j < s.length(); j++) {
if(dic.containsKey(s.charAt(j)))
i = Math.max(i, dic.get(s.charAt(j))); // 更新左指针 i
dic.put(s.charAt(j), j); // 哈希表记录
res = Math.max(res, j - i); // 更新结果
}
return res;
}
}
作者:jyd
链接:https://leetcode-cn.com/problems/zui-chang-bu-han-zhong-fu-zi-fu-de-zi-zi-fu-chuan-lcof/solution/mian-shi-ti-48-zui-chang-bu-han-zhong-fu-zi-fu-d-9/
来源:力扣(LeetCode)
著作权归作者所有。商业转载请联系作者获得授权,非商业转载请注明出处。
LRU和LFU的区别
LRU 算法相当于把数据按照时间排序,这个需求借助链表很自然就能实现,你一直从链表头部加入元素的话,越靠近头部的元素就是新的数据,越靠近尾部的元素就是旧的数据,我们进行缓存淘汰的时候只要简单地将尾部的元素淘汰掉就行了。
LFU 算法相当于是淘汰访问频次最低的数据,如果访问频次最低的数据有多条,需要淘汰最旧的数据。把数据按照访问频次进行排序,而且频次还会不断变化
146. LRU 缓存
Least Recently Used 最近最少使用 ,
要让 put 和 get 方法的时间复杂度为 O(1),我们可以总结出 cache 这个数据结构必要的条件:查找快,插入快,删除快,有顺序之分。
1. 查找快,hash表,
2. 插入快,删除快,链表,单链表删除不满足条件O(1)。双向链表满足。**“为什么必须要用双向链表”?**
因为我们需要删除操作。删除一个节点不光要得到该节点本身的指针,也需要操作其前驱节点的指针,而双向链表才能支持直接查找前驱,保证操作的时间复杂度 O(1)
- 为什么要在链表中同时存储 key 和 val,而不是只存储 val
当缓存容量已满,我们不仅仅要删除最后一个 Node 节点,还要把 map 中映射到该节点的 key 同时删除,而这个 key 只能由 Node 得到。如果 Node 结构中只存储 val,那么我们就无法得知 key 是什么,就无法删除 map 中的键,造成错误。
class LRUCache {
class Node{
int key;
int value;
Node pre;
Node post;
public Node(){}
public Node(int key,int value){
this.key=key;
this.value=value;
}
}
Map<Integer,Node> map=new HashMap<>();
int capacity;
int size;
Node head;
Node tail;
public LRUCache(int capacity) {
this.capacity=capacity;
this.size=0;
head=new Node();
tail=new Node();
head.post=tail;
tail.pre=head;
}
public int get(int key) {
Node node= map.get(key);
if(node==null){
return -1;
}else{
moveTohead(node);
return node.value;
}
}
public void put(int key, int value) {
Node node =map.get(key);
//先看看map里有没有Key值存在,
if(node==null){
//如果不存在,就插入节点。
Node newNode=new Node(key,value);
map.put(key,newNode);
addTohead(newNode);
size++;
//如果超过容量,就将队尾的节点删除
if(size>capacity){
Node res=removeLast();//返回删除的那个节点,然后在map中删除对应的Key
map.remove(res.key);
size--;
}
}else{//如果map中有key值得存在,就更新值,然后将节点插入开头
node.value=value;
moveTohead(node);
}
}
public void addTohead(Node node){
node.pre=head;
node.post=head.post;
head.post.pre=node;
head.post=node;
}
public void moveTohead(Node node){
removeNode(node);
addTohead(node);
}
public void removeNode(Node node){
node.pre.post=node.post;
node.post.pre=node.pre;
}
public Node removeLast(){
Node res=tail.pre;
removeNode(res);
return res;
}
}
460. LFU 缓存

class LFUCache {
Map<Integer, Node> cache; // k-Node存储缓存的内容
Map<Integer, LinkedHashSet<Node>> freqMap; // 存储每个频次对应的双向链表
int size;
int capacity;
int min; // 存储当前最小频次
public LFUCache(int capacity) {
cache = new HashMap<> (capacity);
freqMap = new HashMap<>();
this.capacity = capacity;
}
public int get(int key) {
Node node = cache.get(key);
if (node == null) {
return -1;
}
freqInc(node);
return node.value;
}
public void put(int key, int value) {
if (capacity == 0) {
return;
}
Node node = cache.get(key);
if (node != null) {
node.value = value;
freqInc(node);
} else {
if (size == capacity) {
Node deadNode = removeNode();
cache.remove(deadNode.key);
size--;
}
Node newNode = new Node(key, value);
cache.put(key, newNode);
addNode(newNode);
size++;
}
}
void freqInc(Node node) {
// 从原freq对应的链表里移除, 并更新min
int freq = node.freq;
LinkedHashSet<Node> set = freqMap.get(freq);
set.remove(node);
if (freq == min && set.size() == 0) {
min = freq + 1;
}
// 加入新freq对应的链表
node.freq++;
LinkedHashSet<Node> newSet = freqMap.get(freq + 1);
if (newSet == null) {
newSet = new LinkedHashSet<>();
freqMap.put(freq + 1, newSet);
}
newSet.add(node);
}
void addNode(Node node) {
LinkedHashSet<Node> set = freqMap.get(1);
if (set == null) {
set = new LinkedHashSet<>();
freqMap.put(1, set);
}
set.add(node);
min = 1;
}
Node removeNode() {
LinkedHashSet<Node> set = freqMap.get(min);
Node deadNode = set.iterator().next();
set.remove(deadNode);
return deadNode;
}
}
class Node {
int key;
int value;
int freq = 1;
public Node() {}
public Node(int key, int value) {
this.key = key;
this.value = value;
}
}
作者:sweetiee
链接:https://leetcode-cn.com/problems/lfu-cache/solution/java-13ms-shuang-100-shuang-xiang-lian-biao-duo-ji/
来源:力扣(LeetCode)
著作权归作者所有。商业转载请联系作者获得授权,非商业转载请注明出处。
513. 找树左下角的值
剑指 Offer II 045. 二叉树最底层最左边的值
输入: [1,2,3,4,null,5,6,null,null,7]
输出: 7
给定一个二叉树的 根节点 root,请找出该二叉树的 最底层 最左边 节点的值。
//迭代法
//只需要记录最后一行第一个节点的数值就可以了。
class Solution {
public int findBottomLeftValue(TreeNode root) {
Queue<TreeNode> queue = new LinkedList<>();
queue.offer(root);
int res = 0;
while (!queue.isEmpty()) {
int size = queue.size();
for (int i = 0; i < size; i++) {
//第一层循环,0-0
//第二层循环,0-1
TreeNode poll = queue.poll();
if (i == 0) { //每次循环都记录了每一层第一个数,
res = poll.val; //遍历完了之后,就是最后一层的第一个数。
}
if (poll.left != null) {
queue.offer(poll.left);
}
if (poll.right != null) {
queue.offer(poll.right);
}
}
}
return res;
}
}
作者:carlsun-2
链接:https://leetcode-cn.com/problems/find-bottom-left-tree-value/solution/dai-ma-sui-xiang-lu-dai-ni-xue-tou-er-ch-w3og/
来源:力扣(LeetCode)
著作权归作者所有。商业转载请联系作者获得授权,非商业转载请注明出处。
124. 二叉树中的最大路径和

class Solution {
int maxSum = Integer.MIN_VALUE;
public int maxPathSum(TreeNode root) {
maxGain(root);
return maxSum;
}
public int maxGain(TreeNode node) {
if (node == null) {
return 0;
}
// 递归计算左右子节点的最大贡献值
// 只有在最大贡献值大于 0 时,才会选取对应子节点
int leftGain = Math.max(maxGain(node.left), 0);
int rightGain = Math.max(maxGain(node.right), 0);
// 节点的最大路径和取决于该节点的值与该节点的左右子节点的最大贡献值
int priceNewpath = node.val + leftGain + rightGain;
// 更新答案
maxSum = Math.max(maxSum, priceNewpath);
// 返回节点的最大贡献值
return node.val + Math.max(leftGain, rightGain);
}
}
作者:LeetCode-Solution
链接:https://leetcode-cn.com/problems/binary-tree-maximum-path-sum/solution/er-cha-shu-zhong-de-zui-da-lu-jing-he-by-leetcode-/
来源:力扣(LeetCode)
著作权归作者所有。商业转载请联系作者获得授权,非商业转载请注明出处。
8. 字符串转换整数 (atoi)
public class Solution {
public int myAtoi(String str) {
int len = str.length();
// str.charAt(i) 方法回去检查下标的合法性,一般先转换成字符数组
char[] charArray = str.toCharArray();
// 1、去除前导空格
int index = 0;
while (index < len && charArray[index] == ' ') {
index++;
}
// 2、如果已经遍历完成(针对极端用例 " ")
if (index == len) {
return 0;
}
// 3、如果出现符号字符,仅第 1 个有效,并记录正负
int sign = 1;
char firstChar = charArray[index];
if (firstChar == '+') {
index++;
} else if (firstChar == '-') {
index++;
sign = -1;
}
// 4、将后续出现的数字字符进行转换
// 不能使用 long 类型,这是题目说的
int res = 0;
while (index < len) {
char currChar = charArray[index];
// 4.1 先判断不合法的情况
if (currChar > '9' || currChar < '0') {
break;
}
// 题目中说:环境只能存储 32 位大小的有符号整数,因此,需要提前判:断乘以 10 以后是否越界
if (res > Integer.MAX_VALUE / 10 || (res == Integer.MAX_VALUE / 10 && (currChar - '0') > Integer.MAX_VALUE % 10)) {
return Integer.MAX_VALUE;
}
if (res < Integer.MIN_VALUE / 10 || (res == Integer.MIN_VALUE / 10 && (currChar - '0') > -(Integer.MIN_VALUE % 10))) {
return Integer.MIN_VALUE;
}
// 4.2 合法的情况下,才考虑转换,每一步都把符号位乘进去
res = res * 10 + sign * (currChar - '0');
index++;
}
return res;
}
public static void main(String[] args) {
Solution solution = new Solution();
String str = "2147483646";
int res = solution.myAtoi(str);
System.out.println(res);
System.out.println(Integer.MAX_VALUE);
System.out.println(Integer.MIN_VALUE);
}
}
作者:liweiwei1419
链接:https://leetcode-cn.com/problems/string-to-integer-atoi/solution/jin-liang-bu-shi-yong-ku-han-shu-nai-xin-diao-shi-/
来源:力扣(LeetCode)
著作权归作者所有。商业转载请联系作者获得授权,非商业转载请注明出处。
53. 最大子数组和
43. 字符串相乘
示例 1:
输入: num1 = "2", num2 = "3"
输出: "6"
示例 2:
输入: num1 = "123", num2 = "456"
输出: "56088"

class Solution {
public String multiply(String num1, String num2) {
if (num1.equals("0") || num2.equals("0")) {
return "0";
}
int[] res = new int[num1.length() + num2.length()];
for (int i = num1.length() - 1; i >= 0; i--) {
int n1 = num1.charAt(i) - '0';
for (int j = num2.length() - 1; j >= 0; j--) {
int n2 = num2.charAt(j) - '0';
int sum = (res[i + j + 1] + n1 * n2);
res[i + j + 1] = sum % 10;
res[i + j] += sum / 10;
}
}
StringBuilder result = new StringBuilder();
for (int i = 0; i < res.length; i++) {
if (i == 0 && res[i] == 0) continue;
result.append(res[i]);
}
return result.toString();
}
}
作者:breezean
链接:https://leetcode-cn.com/problems/multiply-strings/solution/you-hua-ban-shu-shi-da-bai-994-by-breezean/
来源:力扣(LeetCode)
著作权归作者所有。商业转载请联系作者获得授权,非商业转载请注明出处。
【1087】花括号展开
输入:"{a,b}c{d,e}f"
输出: ["acdf","acef","bcdf","bcef"]
按字典序升序返回
class Solution {
List<String> res;
public String[] expand(String S) {
if (S.indexOf("{") < 0) {
String[] res = {S};
return res;
}
res = new ArrayList<>();
backTrace(S, new StringBuilder(), 0);
Collections.sort(res);
return res.toArray(new String[res.size()]);
}
private void backTrace(String s, StringBuilder sb, int index) {
if (index == s.length()) {
res.add(sb.toString());
return;
}
//遇到’{‘字符
if (s.charAt(index) == '{') {
int count = 0;
//先计算出{}中内容的长度count
for (int j = index + 1; s.charAt(j) != '}'; j++) {
count++;
}
//下次要跳转的位置就为index+count+2
for (int j = index + 1; s.charAt(j) != '}'; j++) {
char ch = s.charAt(j);
if (ch != ','){
sb.append(ch);
backTrace(s, sb, index + count + 2);
sb.deleteCharAt(sb.length() - 1);
}
}
} else {//遇到其他字符
sb.append(s.charAt(index));
backTrace(s, sb, index + 1);
sb.deleteCharAt(sb.length() - 1);
}
}
}
作者:couchpotato613
链接:https://leetcode-cn.com/problems/brace-expansion/solution/java-jian-dan-de-di-gui-jie-fa-by-couchpotato613/
来源:力扣(LeetCode)
著作权归作者所有。商业转载请联系作者获得授权,非商业转载请注明出处。
二叉树根节点-叶子节点路径和
给定一个二叉树,从根到叶子的所经过的所有节点的值组成一个数,求所有路径数的和;
比如,
1
/
2 3
12+13=25
public int sumNumbers(Node node){
int sum=0;
return sumNumber(node,sum);
}
private int sumNumber(Node node, int sum) {
if(node==null){
return 0;
}
sum=sum*10+node.value;
if(node.left==null && node.right==null){
return sum;
}
return sumNumber(node.left,sum)+sumNumber(node.right,sum);
}
273. 整数转换英文表示
class Solution {
static String[] num2str_small = {
"Zero",
"One", "Two", "Three", "Four", "Five", "Six", "Seven", "Eight", "Nine", "Ten",
"Eleven", "Twelve", "Thirteen", "Fourteen", "Fifteen", "Sixteen", "Seventeen", "Eighteen", "Nineteen"
};
static String[] num2str_medium = {
"", "", "Twenty", "Thirty", "Forty", "Fifty", "Sixty", "Seventy", "Eighty", "Ninety"
};
static String[] num2str_large = {
"Billion", "Million", "Thousand", "",
};
String num2Str(int x) {
String ans = "";
if (x >= 100) {
ans += num2str_small[x / 100] + " Hundred ";
x %= 100;
}
if (x >= 20) {
ans += num2str_medium[x / 10] + " ";
x %= 10;
}
if (x != 0) ans += num2str_small[x] + " ";
return ans;
}
public String numberToWords(int num) {
if (num == 0) return num2str_small[0];
StringBuilder sb = new StringBuilder();
for (int i = (int)1e9, j = 0; i >= 1; i /= 1000, j++) {
if (num < i) continue;
sb.append(num2Str(num / i) + num2str_large[j] + " ");
num %= i;
}
while (sb.charAt(sb.length() - 1) == ' ') sb.deleteCharAt(sb.length() - 1);
return sb.toString();
}
}
作者:AC_OIer
链接:https://leetcode-cn.com/problems/integer-to-english-words/solution/gong-shui-san-xie-zi-fu-chuan-da-mo-ni-b-0my6/
来源:力扣(LeetCode)
著作权归作者所有。商业转载请联系作者获得授权,非商业转载请注明出处。
450. 删除二叉搜索树中的节点
根据二叉搜索树的性质
如果目标节点大于当前节点值,则去右子树中删除;
如果目标节点小于当前节点值,则去左子树中删除;
如果目标节点就是当前节点,分为以下三种情况:
其无左子:其右子顶替其位置,删除了该节点;
其无右子:其左子顶替其位置,删除了该节点;
其左右子节点都有:其左子树转移到其右子树的最左节点的左子树上,然后右子树顶替其位置,由此删除了该节点。
class Solution {
public:
TreeNode* deleteNode(TreeNode* root, int key)
{
if (root == nullptr) return nullptr;
if (key > root->val) root->right = deleteNode(root->right, key); // 去右子树删除
else if (key < root->val) root->left = deleteNode(root->left, key); // 去左子树删除
else // 当前节点就是要删除的节点
{
if (! root->left) return root->right; // 情况1,欲删除节点无左子
if (! root->right) return root->left; // 情况2,欲删除节点无右子
TreeNode* node = root->right; // 情况3,欲删除节点左右子都有
while (node->left) // 寻找欲删除节点右子树的最左节点
node = node->left;
node->left = root->left; // 将欲删除节点的左子树成为其右子树的最左节点的左子树
root = root->right; // 欲删除节点的右子顶替其位置,节点被删除
}
return root;
}
};
作者:Terry2020
链接:https://leetcode-cn.com/problems/delete-node-in-a-bst/solution/miao-dong-jiu-wan-shi-liao-by-terry2020-tc0o/
来源:力扣(LeetCode)
著作权归作者所有。商业转载请联系作者获得授权,非商业转载请注明出处。
468. 验证IP地址
IPv4 和 IPv6 地址均是由特定的分界符隔开的字符串组成,并且每个子字符串具有相同格式。

因此,可以将地址分为多个块,然后逐块进行验证。
仅当每个块都有效时,该地址才有效。这种方法称为 分治法。
算法
对于 IPv4 地址,通过界定符 . 将地址分为四块;对于 IPv6 地址,通过界定符 : 将地址分为八块。
对于 IPv4 地址的每一块,检查它们是否在 0 - 255 内,且没有前置零。
对于 IPv6 地址的每一块,检查其长度是否为 1 - 4 位的十六进制数。
class Solution {
public String validIPAddress(String IP) {
if (IP.chars().filter(ch -> ch == '.').count() == 3) {
return validateIPv4(IP);
}
else if (IP.chars().filter(ch -> ch == ':').count() == 7) {
return validateIPv6(IP);
}
else return "Neither";
}
public String validateIPv4(String IP) {
String[] nums = IP.split("\\.", -1);
for (String x : nums) {
// Validate integer in range (0, 255):
// 1. length of chunk is between 1 and 3
if (x.length() == 0 || x.length() > 3) return "Neither";
// 2. no extra leading zeros
if (x.charAt(0) == '0' && x.length() != 1) return "Neither";
// 3. only digits are allowed
for (char ch : x.toCharArray()) {
if (! Character.isDigit(ch)) return "Neither";
}
// 4. less than 255
if (Integer.parseInt(x) > 255) return "Neither";
}
return "IPv4";
}
public String validateIPv6(String IP) {
String[] nums = IP.split(":", -1);
String hexdigits = "0123456789abcdefABCDEF";
for (String x : nums) {
// Validate hexadecimal in range (0, 2**16):
// 1. at least one and not more than 4 hexdigits in one chunk
if (x.length() == 0 || x.length() > 4) return "Neither";
// 2. only hexdigits are allowed: 0-9, a-f, A-F
for (Character ch : x.toCharArray()) {
if (hexdigits.indexOf(ch) == -1) return "Neither";
}
}
return "IPv6";
}
}
作者:LeetCode
链接:https://leetcode-cn.com/problems/validate-ip-address/solution/yan-zheng-ip-di-zhi-by-leetcode/
来源:力扣(LeetCode)
著作权归作者所有。商业转载请联系作者获得授权,非商业转载请注明出处。
二叉树的直径,见下面(搜索543)
208. 实现 Trie (前缀树)
请你实现 Trie 类:
- Trie() 初始化前缀树对象。
- void insert(String word) 向前缀树中插入字符串 word 。
- boolean search(String word) 如果字符串 word 在前缀树中,返回 true(即,在检索之前已经插入);否则,返回 false 。
- boolean startsWith(String prefix) 如果之前已经插入的字符串 word 的前缀之一为 prefix ,返回 true ;否则,返回 false 。
输入
["Trie", "insert", "search", "search", "startsWith", "insert", "search"]
[[], ["apple"], ["apple"], ["app"], ["app"], ["app"], ["app"]]
输出
[null, null, true, false, true, null, true]解释
Trie trie = new Trie();
trie.insert("apple");
trie.search("apple"); // 返回 True
trie.search("app"); // 返回 False
trie.startsWith("app"); // 返回 True
trie.insert("app");
trie.search("app"); // 返回 True

class Trie {
private Trie[] children;
private boolean isEnd;
public Trie() {
children = new Trie[26];
isEnd = false;
}
public void insert(String word) {
Trie node = this;
for (int i = 0; i < word.length(); i++) {
char ch = word.charAt(i);
int index = ch - 'a';
if (node.children[index] == null) {
node.children[index] = new Trie();
}
node = node.children[index];
}
node.isEnd = true;
}
public boolean search(String word) {
Trie node = searchPrefix(word);
return node != null && node.isEnd;
}
public boolean startsWith(String prefix) {
return searchPrefix(prefix) != null;
}
private Trie searchPrefix(String prefix) {
Trie node = this;
for (int i = 0; i < prefix.length(); i++) {
char ch = prefix.charAt(i);
int index = ch - 'a';
if (node.children[index] == null) {
return null;
}
node = node.children[index];
}
return node;
}
}
作者:LeetCode-Solution
链接:https://leetcode-cn.com/problems/implement-trie-prefix-tree/solution/shi-xian-trie-qian-zhui-shu-by-leetcode-ti500/
来源:力扣(LeetCode)
著作权归作者所有。商业转载请联系作者获得授权,非商业转载请注明出处。
486. 预测赢家
public class ListNode {
int val;
ListNode next;
ListNode(int x) { val = x; }
}
class MyLinkedList {
int size;
ListNode head; // sentinel node as pseudo-head
public MyLinkedList() {
size = 0;
head = new ListNode(0);
}
/** Get the value of the index-th node in the linked list. If the index is invalid, return -1. */
public int get(int index) {
// if index is invalid
if (index < 0 || index >= size) return -1;
ListNode curr = head;
// index steps needed
// to move from sentinel node to wanted index
for(int i = 0; i < index + 1; ++i) curr = curr.next;
return curr.val;
}
/** Add a node of value val before the first element of the linked list. After the insertion, the new node will be the first node of the linked list. */
public void addAtHead(int val) {
addAtIndex(0, val);
}
/** Append a node of value val to the last element of the linked list. */
public void addAtTail(int val) {
addAtIndex(size, val);
}
/** Add a node of value val before the index-th node in the linked list. If index equals to the length of linked list, the node will be appended to the end of linked list. If index is greater than the length, the node will not be inserted. */
public void addAtIndex(int index, int val) {
// If index is greater than the length,
// the node will not be inserted.
if (index > size) return;
// [so weird] If index is negative,
// the node will be inserted at the head of the list.
if (index < 0) index = 0;
++size;
// find predecessor of the node to be added
ListNode pred = head;
for(int i = 0; i < index; ++i) pred = pred.next;
// node to be added
ListNode toAdd = new ListNode(val);
// insertion itself
toAdd.next = pred.next;
pred.next = toAdd;
}
/** Delete the index-th node in the linked list, if the index is valid. */
public void deleteAtIndex(int index) {
// if the index is invalid, do nothing
if (index < 0 || index >= size) return;
size--;
// find predecessor of the node to be deleted
ListNode pred = head;
for(int i = 0; i < index; ++i) pred = pred.next;
// delete pred.next
pred.next = pred.next.next;
}
}
作者:LeetCode
链接:https://leetcode-cn.com/problems/design-linked-list/solution/she-ji-lian-biao-by-leetcode/
来源:力扣(LeetCode)
著作权归作者所有。商业转载请联系作者获得授权,非商业转载请注明出处。
如果要优化的话就使用双链表法
//如果要优化的话就使用双链表法
public class ListNode {
int val;
ListNode next;
ListNode prev;
ListNode(int x) { val = x; }
}
class MyLinkedList {
int size;
// sentinel nodes as pseudo-head and pseudo-tail
ListNode head, tail;
public MyLinkedList() {
size = 0;
head = new ListNode(0);
tail = new ListNode(0);
head.next = tail;
tail.prev = head;
}
/** Get the value of the index-th node in the linked list. If the index is invalid, return -1. */
public int get(int index) {
// if index is invalid
if (index < 0 || index >= size) return -1;
// choose the fastest way: to move from the head
// or to move from the tail
ListNode curr = head;
if (index + 1 < size - index)
for(int i = 0; i < index + 1; ++i) curr = curr.next;
else {
curr = tail;
for(int i = 0; i < size - index; ++i) curr = curr.prev;
}
return curr.val;
}
/** Add a node of value val before the first element of the linked list. After the insertion, the new node will be the first node of the linked list. */
public void addAtHead(int val) {
ListNode pred = head, succ = head.next;
++size;
ListNode toAdd = new ListNode(val);
toAdd.prev = pred;
toAdd.next = succ;
pred.next = toAdd;
succ.prev = toAdd;
}
/** Append a node of value val to the last element of the linked list. */
public void addAtTail(int val) {
ListNode succ = tail, pred = tail.prev;
++size;
ListNode toAdd = new ListNode(val);
toAdd.prev = pred;
toAdd.next = succ;
pred.next = toAdd;
succ.prev = toAdd;
}
/** Add a node of value val before the index-th node in the linked list. If index equals to the length of linked list, the node will be appended to the end of linked list. If index is greater than the length, the node will not be inserted. */
public void addAtIndex(int index, int val) {
// If index is greater than the length,
// the node will not be inserted.
if (index > size) return;
// [so weird] If index is negative,
// the node will be inserted at the head of the list.
if (index < 0) index = 0;
// find predecessor and successor of the node to be added
ListNode pred, succ;
if (index < size - index) {
pred = head;
for(int i = 0; i < index; ++i) pred = pred.next;
succ = pred.next;
}
else {
succ = tail;
for (int i = 0; i < size - index; ++i) succ = succ.prev;
pred = succ.prev;
}
// insertion itself
++size;
ListNode toAdd = new ListNode(val);
toAdd.prev = pred;
toAdd.next = succ;
pred.next = toAdd;
succ.prev = toAdd;
}
/** Delete the index-th node in the linked list, if the index is valid. */
public void deleteAtIndex(int index) {
// if the index is invalid, do nothing
if (index < 0 || index >= size) return;
// find predecessor and successor of the node to be deleted
ListNode pred, succ;
if (index < size - index) {
pred = head;
for(int i = 0; i < index; ++i) pred = pred.next;
succ = pred.next.next;
}
else {
succ = tail;
for (int i = 0; i < size - index - 1; ++i) succ = succ.prev;
pred = succ.prev.prev;
}
// delete pred.next
--size;
pred.next = succ;
succ.prev = pred;
}
}
作者:LeetCode
链接:https://leetcode-cn.com/problems/design-linked-list/solution/she-ji-lian-biao-by-leetcode/
来源:力扣(LeetCode)
著作权归作者所有。商业转载请联系作者获得授权,非商业转载请注明出处。
数组
剑指 Offer 03. 数组中重复的数字
找出数组中重复的数字。
在一个长度为 n 的数组 nums 里的所有数字都在 0~n-1 的范围内。数组中某些数字是重复的,但不知道有几个数字重复了,也不知道每个数字重复了几次。请找出数组中任意一个重复的数字。
示例 1:
输入:
[2, 3, 1, 0, 2, 5, 3]
输出:2 或 3
class Solution {
public int findRepeatNumber(int[] nums) {
int i = 0;
while(i < nums.length) {
if(nums[i] == i) {
i++;
continue;
}
if(nums[nums[i]] == nums[i]) return nums[i];
int tmp = nums[i];
nums[i] = nums[tmp];
nums[tmp] = tmp;
}
return -1;
}
}
作者:jyd
链接:https://leetcode-cn.com/problems/shu-zu-zhong-zhong-fu-de-shu-zi-lcof/solution/mian-shi-ti-03-shu-zu-zhong-zhong-fu-de-shu-zi-yua/
来源:力扣(LeetCode)
著作权归作者所有。商业转载请联系作者获得授权,非商业转载请注明出处。
复杂度分析:
时间复杂度 O(N): 遍历数组使用 O(N),每轮遍历的判断和交换操作使用 O(1) 。
空间复杂度 O(1) : 使用常数复杂度的额外空间。

268. 丢失的数字
给定一个包含 [0, n] 中 n 个数的数组 nums ,找出 [0, n] 这个范围内没有出现在数组中的那个数。
示例 1:
输入:nums = [3,0,1]
输出:2
解释:n = 3,因为有 3 个数字,所以所有的数字都在范围 [0,3] 内。2 是丢失的数字,因为它没有出现在 nums 中。
异或方案:
找缺失数、找出现一次数都是异或的经典应用。
我们可以先求得 [1, n][1,n] 的异或和 ans,然后用 ans 对各个 nums[i] 进行异或。
这样最终得到的异或和表达式中,只有缺失元素出现次数为 1 次,其余元素均出现两次(x ⊕x = 0),即最终答案 ans 为缺失元素。
- 时间复杂度:O(n)
- 空间复杂度:O(1)
class Solution {
public int missingNumber(int[] nums) {
int n = nums.length;
int ans = 0;
for (int i = 0; i <= n; i++) ans ^= i;
for (int i : nums) ans ^= i;
return ans;
}
}
作者:AC_OIer
链接:https://leetcode-cn.com/problems/missing-number/solution/gong-shui-san-xie-yi-ti-wu-jie-pai-xu-ji-te3s/
来源:力扣(LeetCode)
著作权归作者所有。商业转载请联系作者获得授权,非商业转载请注明出处。

448. 找到所有数组中消失的数字
给你一个含 n 个整数的数组 nums ,其中 nums[i] 在区间 [1, n] 内。请你找出所有在 [1, n] 范围内但没有出现在 nums 中的数字,并以数组的形式返回结果。
示例 1:
输入:nums = [4,3,2,7,8,2,3,1]
输出:[5,6]
示例 2:
输入:nums = [1,1]
输出:[2]
具体来说,遍历 nums,每遇到一个数 x,就让 nums[x−1] 增加 n。由于 nums 中所有数均在 [1,n][1,n] 中,增加以后,这些数必然大于 n。最后我们遍历nums,若nums[i] 未大于 n,就说明没有遇到过数 i+1。这样我们就找到了缺失的数字。
注意,当我们遍历到某个位置时,其中的数可能已经被增加过,因此需要对 n取模来还原出它本来的值。
class Solution {
public List<Integer> findDisappearedNumbers(int[] nums) {
int n = nums.length;
for (int num : nums) {
int x = (num - 1) % n;
nums[x] += n;
}
List<Integer> ret = new ArrayList<Integer>();
for (int i = 0; i < n; i++) {
if (nums[i] <= n) {
ret.add(i + 1);
}
}
return ret;
}
}
作者:LeetCode-Solution
链接:https://leetcode-cn.com/problems/find-all-numbers-disappeared-in-an-array/solution/zhao-dao-suo-you-shu-zu-zhong-xiao-shi-d-mabl/
来源:力扣(LeetCode)
著作权归作者所有。商业转载请联系作者获得授权,非商业转载请注明出处。

136. 只出现一次的数字
给定一个非空整数数组,除了某个元素只出现一次以外,其余每个元素均出现两次。找出那个只出现了一次的元素。
说明:
你的算法应该具有线性时间复杂度。 你可以不使用额外空间来实现吗?
示例 1:
输入: [2,2,1]
输出: 1
//异或
class Solution {
public int singleNumber(int[] nums) {
int ans = 0;
for(int num: nums) {
ans ^= num;
}
return ans;
}
}
作者:guanpengchn
链接:https://leetcode-cn.com/problems/single-number/solution/hua-jie-suan-fa-136-zhi-chu-xian-yi-ci-de-shu-zi-b/
来源:力扣(LeetCode)
著作权归作者所有。商业转载请联系作者获得授权,非商业转载请注明出处。
137. 只出现一次的数字 II
给你一个整数数组 nums ,除某个元素仅出现 一次 外,其余每个元素都恰出现 三次 。请你找出并返回那个只出现了一次的元素。
示例 1:
输入:nums = [2,2,3,2]
输出:3
剑指 Offer 39. 数组中出现次数超过一半的数字
数组中有一个数字出现的次数超过数组长度的一半,请找出这个数字。
你可以假设数组是非空的,并且给定的数组总是存在多数元素。
示例 1:
输入: [1, 2, 3, 2, 2, 2, 5, 4, 2]
输出: 2
本题常见的三种解法:
-
哈希表统计法: 遍历数组 nums ,用 HashMap 统计各数字的数量,即可找出 众数 。此方法时间和空间复杂度均为 O(N)。
-
数组排序法: 将数组 nums 排序,数组中点的元素 一定为众数。
-
摩尔投票法: 核心理念为 票数正负抵消 。此方法时间和空间复杂度分别为 O(N)和 O(1) ,为本题的最佳解法。
摩尔投票法:
设输入数组 nums 的众数为 xx ,数组长度为 nn 。
推论一: 若记 众数 的票数为 +1 ,非众数 的票数为 -1,则一定有所有数字的 票数和 > 0 。
推论二: 若数组的前 a个数字的 票数和=0 ,则 数组剩余 (n-a)个数字的 票数和一定仍 >0,即后 (n-a)个数字的 众数仍为 x。
class Solution {
public int majorityElement(int[] nums) {
int x = 0, votes = 0;
for(int num : nums){
if(votes == 0) x = num;
votes += num == x ? 1 : -1;
}
return x;
}
}
作者:jyd
链接:https://leetcode-cn.com/problems/shu-zu-zhong-chu-xian-ci-shu-chao-guo-yi-ban-de-shu-zi-lcof/solution/mian-shi-ti-39-shu-zu-zhong-chu-xian-ci-shu-chao-3/
来源:力扣(LeetCode)
著作权归作者所有。商业转载请联系作者获得授权,非商业转载请注明出处。
复杂度分析:
- 时间复杂度 O(N)*O*(*N*) : NN 为数组
nums长度。 - 空间复杂度 O(1)*O*(1) :
votes变量使用常数大小的额外空间。
15. 三数之和
给你一个包含 n 个整数的数组 nums,判断 nums 中是否存在三个元素 a,b,c ,使得 a + b + c = 0 ?请你找出所有和为 0 且不重复的三元组。
注意:答案中不可以包含重复的三元组。
示例 1:
输入:nums = [-1,0,1,2,-1,-4]
输出:[[-1,-1,2],[-1,0,1]]
class Solution {
public static List<List<Integer>> threeSum(int[] nums) {
List<List<Integer>> ans = new ArrayList();
int len = nums.length;
if(nums == null || len < 3) return ans;
Arrays.sort(nums); // 排序
for (int i = 0; i < len ; i++) {
if(nums[i] > 0) break; // 如果当前数字大于0,则三数之和一定大于0,所以结束循环
if(i > 0 && nums[i] == nums[i-1]) continue; // 去重
int L = i+1;
int R = len-1;
while(L < R){
int sum = nums[i] + nums[L] + nums[R];
if(sum == 0){
ans.add(Arrays.asList(nums[i],nums[L],nums[R]));
while (L<R && nums[L] == nums[L+1]) L++; // 去重
while (L<R && nums[R] == nums[R-1]) R--; // 去重
L++;
R--;
}
else if (sum < 0) L++;
else if (sum > 0) R--;
}
}
return ans;
}
}
作者:guanpengchn
链接:https://leetcode-cn.com/problems/3sum/solution/hua-jie-suan-fa-15-san-shu-zhi-he-by-guanpengchn/
来源:力扣(LeetCode)
著作权归作者所有。商业转载请联系作者获得授权,非商业转载请注明出处。

剑指 Offer 57. 和为s的两个数字
560. 和为 K 的子数组
给你一个整数数组 nums 和一个整数 k ,请你统计并返回 该数组中和为 k 的子数组的个数 。
示例 1:
输入:nums = [1,1,1], k = 2
输出:2
示例 2:
输入:nums = [1,2,3], k = 3
输出:2
前缀和 + 哈希表优化:
import java.util.HashMap;
import java.util.Map;
public class Solution {
public int subarraySum(int[] nums, int k) {
// key:前缀和,value:key 对应的前缀和的个数
Map<Integer, Integer> preSumFreq = new HashMap<>();
// 对于下标为 0 的元素,前缀和为 0,个数为 1
preSumFreq.put(0, 1);
int preSum = 0;
int count = 0;
for (int num : nums) {
preSum += num;
// 先获得前缀和为 preSum - k 的个数,加到计数变量里
if (preSumFreq.containsKey(preSum - k)) {
count += preSumFreq.get(preSum - k);
}
// 然后维护 preSumFreq 的定义
preSumFreq.put(preSum, preSumFreq.getOrDefault(preSum, 0) + 1);
}
return count;
}
}
作者:liweiwei1419
链接:https://leetcode.cn/problems/subarray-sum-equals-k/solution/bao-li-jie-fa-qian-zhui-he-qian-zhui-he-you-hua-ja/
来源:力扣(LeetCode)
著作权归作者所有。商业转载请联系作者获得授权,非商业转载请注明出处。

209. 长度最小的子数组
给定一个含有 n 个正整数的数组和一个正整数 target 。
找出该数组中满足其和 ≥ target 的长度最小的 连续子数组 [numsl, numsl+1, ..., numsr-1, numsr] ,并返回其长度。如果不存在符合条件的子数组,返回 0 。
示例 1:
输入:target = 7, nums = [2,3,1,2,4,3]
输出:2
解释:子数组 [4,3] 是该条件下的长度最小的子数组。
示例 2:
输入:target = 4, nums = [1,4,4]
输出:1
示例 3:
输入:target = 11, nums = [1,1,1,1,1,1,1,1]
输出:0
滑动窗口法:

class Solution {
public int minSubArrayLen(int s, int[] nums) {
int n = nums.length;
if (n == 0) {
return 0;
}
int ans = Integer.MAX_VALUE;
int start = 0, end = 0;
int sum = 0;
while (end < n) {
sum += nums[end];
while (sum >= s) {
ans = Math.min(ans, end - start + 1);
sum -= nums[start];
start++;
}
end++;
}
return ans == Integer.MAX_VALUE ? 0 : ans;
}
}

53. 最大子数组和
152. 乘积最大子数组
给你一个整数数组 nums ,请你找出数组中乘积最大的非空连续子数组(该子数组中至少包含一个数字),并返回该子数组所对应的乘积。
测试用例的答案是一个 32-位 整数。
子数组 是数组的连续子序列。
示例 1:
输入: nums = [2,3,-2,4]
输出: 6
解释: 子数组 [2,3] 有最大乘积 6。
示例 2:
输入: nums = [-2,0,-1]
输出: 0
解释: 结果不能为 2, 因为 [-2,-1] 不是子数组。
class Solution {
public int maxProduct(int[] nums) {
int maxTemp=1;
int minTemp=1;
int max=Integer.MIN_VALUE;
for (int num :
nums) {
if(num<0){
int temp=maxTemp;
maxTemp=minTemp;
minTemp=temp;
}
maxTemp=Math.max(num,maxTemp*num);
minTemp=Math.min(num,minTemp*num);
max=Math.max(max,maxTemp);
}
return max;
}
}
3. 无重复字符的最长子串
输入: s = "abcabcbb"
输出: 3
解释: 因为无重复字符的最长子串是 "abc",所以其长度为 3。
//无重复字符的最长子串3-滑动窗口法
//滑动窗口一般就是维护左右指针的变动,右指针不断向前(所以直接for循环,right.fori,根据条件调整左指针)
class Solution {
public int lengthOfLongestSubstring(String s) {
Map<Character,Integer> map=new HashMap<>();
int maxLen=0;
int left=0;
for(int right=0;right<s.length();right++){
if(map.containsKey(s.charAt(right))) {
left=Math.max(left,map.get(s.charAt(right))+1);
}
maxLen=Math.max(maxLen,right-left+1);
map.put(s.charAt(right),right);
}
return maxLen;
}
}

718. 最长重复子数组
难度中等710
给两个整数数组 nums1 和 nums2 ,返回 两个数组中 公共的 、长度最长的子数组的长度 。
示例 1:
输入:nums1 = [1,2,3,2,1], nums2 = [3,2,1,4,7]
输出:3
解释:长度最长的公共子数组是 [3,2,1] 。
示例 2:
输入:nums1 = [0,0,0,0,0], nums2 = [0,0,0,0,0]
输出:5

class Solution {
public int findLength(int[] nums1, int[] nums2) {
int len1=nums1.length,len2=nums2.length;
int[][] dp=new int[len1][len2];
int res=0;
for(int i=0;i<len1;i++){
for(int j=0;j<len2;j++){
if(nums1[i]==nums2[j]){
dp[i][j]=1;
}
if(i-1>=0 && j-1>=0 && nums1[i-1]==nums2[j-1]){
dp[i][j]+=dp[i-1][j-1];
}
res=Math.max(res,dp[i][j]);
}
}
return res;
}
}

1143. 最长公共子序列
300. 最长递增子序列
给你一个整数数组 nums ,找到其中最长严格递增子序列的长度。
子序列 是由数组派生而来的序列,删除(或不删除)数组中的元素而不改变其余元素的顺序。例如,[3,6,2,7] 是数组 [0,3,1,6,2,2,7] 的子序列。
示例 1:
输入:nums = [10,9,2,5,3,7,101,18]
输出:4
解释:最长递增子序列是 [2,3,7,101],因此长度为 4 。
示例 2:
输入:nums = [0,1,0,3,2,3]
输出:4
示例 3:
输入:nums = [7,7,7,7,7,7,7]
输出:1
// Dynamic programming + Dichotomy.
class Solution {
public int lengthOfLIS(int[] nums) {
int[] tails = new int[nums.length];
int res = 0;
for(int num : nums) {
int i = 0, j = res;
while(i < j) {
int m = (i + j) / 2;
if(tails[m] < num) i = m + 1;
else j = m;
}
tails[i] = num;
if(res == j) res++;
}
return res;
}
}
LCP 28. 采购方案
合并区间
56. 合并区间
88. 合并两个有序数组
二分法
704. 二分查找
难度简单825
给定一个 n 个元素有序的(升序)整型数组 nums 和一个目标值 target ,写一个函数搜索 nums 中的 target,如果目标值存在返回下标,否则返回 -1。
示例 1:
输入: nums = [-1,0,3,5,9,12], target = 9
输出: 4
解释: 9 出现在 nums 中并且下标为 4
示例 2:
输入: nums = [-1,0,3,5,9,12], target = 2
输出: -1
解释: 2 不存在 nums 中因此返回 -1
class Solution {
public int search(int[] nums, int target) {
int left=0;
int right=nums.length-1;
int mid;
while(left<=right){
mid=left+(right-left)/2;
if(nums[mid]==target) return mid;
else if(nums[mid]>target) right--;
else if(nums[mid]<target) left++;
}
return -1;
}
}
34. 在排序数组中查找元素的第一个和最后一个位置
给定一个按照升序排列的整数数组 nums,和一个目标值 target。找出给定目标值在数组中的开始位置和结束位置。
如果数组中不存在目标值 target,返回 [-1, -1]。
进阶:
你可以设计并实现时间复杂度为 O(log n) 的算法解决此问题吗?
示例 1:
输入:nums = [5,7,7,8,8,10], target = 8
输出:[3,4]
示例 2:
输入:nums = [5,7,7,8,8,10], target = 6
输出:[-1,-1]
示例 3:
输入:nums = [], target = 0
输出:[-1,-1]
class Solution {
public int[] searchRange(int[] nums, int target) {
if(nums.length == 0) return new int[]{-1,-1};
int l = 0, r = nums.length - 1; //二分范围
while( l < r) //查找元素的开始位置
{
int mid = (l + r )/2;
if(nums[mid] >= target) r = mid;
else l = mid + 1;
}
if( nums[l] != target) return new int[]{-1,-1}; //查找失败
int L = r;
l = 0; r = nums.length - 1; //二分范围
while( l < r) //查找元素的结束位置
{
int mid = (l + r + 1)/2;
if(nums[mid] <= target ) l = mid;
else r = mid - 1;
}
return new int[]{L,l};
}
}

162. 寻找峰值
峰值元素是指其值严格大于左右相邻值的元素。
给你一个整数数组 nums,找到峰值元素并返回其索引。数组可能包含多个峰值,在这种情况下,返回 任何一个峰值 所在位置即可。
你可以假设 nums[-1] = nums[n] = -∞ 。
你必须实现时间复杂度为 O(log n) 的算法来解决此问题
示例 1:
输入:nums = [1,2,3,1]
输出:2
解释:3 是峰值元素,你的函数应该返回其索引 2。
示例 2:
输入:nums = [1,2,1,3,5,6,4]
输出:1 或 5
解释:你的函数可以返回索引 1,其峰值元素为 2;
或者返回索引 5, 其峰值元素为 6。
class Solution {
public int findPeakElement(int[] nums) {
int left=0,right=nums.length-1;
while(left<right){
int mid=left+(right-left)/2;
if(nums[mid]<nums[mid+1]){
left=mid+1;
}else{
right=mid;
}
}
return left;
}
}
153. 寻找旋转排序数组中的最小值
已知一个长度为
- 若旋转
4次,则可以得到[4,5,6,7,0,1,2] - 若旋转
7次,则可以得到[0,1,2,4,5,6,7]
注意,数组 [a[0], a[1], a[2], ..., a[n-1]] 旋转一次 的结果为数组 [a[n-1], a[0], a[1], a[2], ..., a[n-2]] 。
给你一个元素值 互不相同 的数组 nums ,它原来是一个升序排列的数组,并按上述情形进行了多次旋转。请你找出并返回数组中的 最小元素 。
你必须设计一个时间复杂度为 O(log n) 的算法解决此问题。
示例 1:
输入:nums = [3,4,5,1,2]
输出:1
解释:原数组为 [1,2,3,4,5] ,旋转 3 次得到输入数组。
示例 2:
输入:nums = [4,5,6,7,0,1,2]
输出:0
解释:原数组为 [0,1,2,4,5,6,7] ,旋转 4 次得到输入数组。
示例 3:
输入:nums = [11,13,15,17]
输出:11
解释:原数组为 [11,13,15,17] ,旋转 4 次得到输入数组。
三种情况:第一张图为一类情况,如果中点值落在前半部分,说明前半部分都没有最小值,left=mide+1
第二张图和第三张图为另一类情况,重点值落在从最小值递增的区间,应该right=mid

class Solution {
public int findMin(int[] nums) {
int left=0;
int right=nums.length-1;
while(left<right){
int mid=left+(right-left)/2;
if(nums[mid]<nums[right]){
right=mid;
}else{
left=mid+1;
}
}
return nums[left];
}
}
33. 搜索旋转排序数组
整数数组 nums 按升序排列,数组中的值 互不相同 。
在传递给函数之前,nums 在预先未知的某个下标 k(0 <= k < nums.length)上进行了 旋转,使数组变为 [nums[k], nums[k+1], ..., nums[n-1], nums[0], nums[1], ..., nums[k-1]](下标 从 0 开始 计数)。例如, [0,1,2,4,5,6,7] 在下标 3 处经旋转后可能变为 [4,5,6,7,0,1,2] 。
给你 旋转后 的数组 nums 和一个整数 target ,如果 nums 中存在这个目标值 target ,则返回它的下标,否则返回 -1 。
示例 1:
输入:nums = [4,5,6,7,0,1,2], target = 0
输出:4
示例 2:
输入:nums = [4,5,6,7,0,1,2], target = 3
输出:-1
示例 3:
输入:nums = [1], target = 0
输出:-1
class Solution {
public int search(int[] nums, int target) {
int left=0;
int right=nums.length-1;
while (left<=right){
int mid=(left+right)/2;
if(nums[mid]==target)return mid;
if(nums[mid]>=nums[left]){
if(target>=nums[left] && target<nums[mid]){
right=mid-1;
}else {
left=mid+1;
}
}else {
if(target>nums[mid] && target<=nums[right]){
left=mid+1;
}else {
right=mid-1;
}
}
}
return -1;
}
}

69. x 的平方根
难度简单1018
给你一个非负整数 x ,计算并返回 x 的 算术平方根 。
由于返回类型是整数,结果只保留 整数部分 ,小数部分将被 舍去 。
注意:不允许使用任何内置指数函数和算符,例如 pow(x, 0.5) 或者 x ** 0.5 。
示例 1:
输入:x = 4
输出:2
示例 2:
输入:x = 8
输出:2
解释:8 的算术平方根是 2.82842..., 由于返回类型是整数,小数部分将被舍去。
class Solution {
public int mySqrt(int x) {
int l = 0, r = x, ans = -1;
while (l <= r) {
int mid = l + (r - l) / 2;
if ((long) mid * mid <= x) {
ans = mid;
l = mid + 1;
} else {
r = mid - 1;
}
}
return ans;
}
}
作者:LeetCode-Solution
链接:https://leetcode.cn/problems/sqrtx/solution/x-de-ping-fang-gen-by-leetcode-solution/
来源:力扣(LeetCode)
著作权归作者所有。商业转载请联系作者获得授权,非商业转载请注明出处。
面试进阶: 误差 要求小数点精确到 10位等等
//二分法进行处理,注意变量类型
public static double sqrt(int target){
double n=1e-2; //在这里可根据精度要求进行调整
double l=0,r=target; //这里若初始化r=target/2的话,则处理较小正整数会出错,如1,2
while(l<=r){ //二分查找
double mid=(l+r)/2;
//这里用除法,而不用mid*mid与target比较,是防止mid过大时,mid*mid产生溢出问题
if(target/mid<mid){
r=mid-n;
}else{
l=mid+n;
}
}
return r;
}

滑动窗口
438. 找到字符串中所有字母异位词
难度中等905
给定两个字符串 s 和 p,找到 s 中所有 p 的 异位词 的子串,返回这些子串的起始索引。不考虑答案输出的顺序。
异位词 指由相同字母重排列形成的字符串(包括相同的字符串)。
示例 1:
输入: s = "cbaebabacd", p = "abc"
输出: [0,6]
解释:
起始索引等于 0 的子串是 "cba", 它是 "abc" 的异位词。
起始索引等于 6 的子串是 "bac", 它是 "abc" 的异位词。
示例 2:
输入: s = "abab", p = "ab"
输出: [0,1,2]
解释:
起始索引等于 0 的子串是 "ab", 它是 "ab" 的异位词。
起始索引等于 1 的子串是 "ba", 它是 "ab" 的异位词。
起始索引等于 2 的子串是 "ab", 它是 "ab" 的异位词。
class Solution {
public List<Integer> findAnagrams(String s, String p) {
int n = s.length(), m = p.length();
List<Integer> res = new ArrayList<>();
if(n < m) return res;
int[] pCnt = new int[26];
int[] sCnt = new int[26];
for(int i = 0; i < m; i++){
pCnt[p.charAt(i) - 'a']++;
sCnt[s.charAt(i) - 'a']++;
}
if(Arrays.equals(sCnt, pCnt)){
res.add(0);
}
for(int i = m; i < n; i++){
sCnt[s.charAt(i - m) - 'a']--;
sCnt[s.charAt(i) - 'a']++;
if(Arrays.equals(sCnt, pCnt)){
res.add(i - m + 1);
}
}
return res;
}
}

第二种解法:双指针:不需要比较两个窗口的值是否相等
定义滑动窗口的左右两个指针left,right
right一步一步向右走遍历s字符串
right当前遍历到的字符加入s_cnt后不满足p_cnt的字符数量要求,将滑动窗口左侧字符不断弹出,也就是left不断右移,直到符合要求为止。
当滑动窗口的长度等于p的长度时,这时的s子字符串就是p的异位词。
作者:edelweisskoko
链接:https://leetcode.cn/problems/find-all-anagrams-in-a-string/solution/438-zhao-dao-zi-fu-chuan-zhong-suo-you-z-nx6b/
来源:力扣(LeetCode)
著作权归作者所有。商业转载请联系作者获得授权,非商业转载请注明出处。
class Solution {
public List<Integer> findAnagrams(String s, String p) {
int s_len=s.length(),p_len=p.length();
List<Integer> res=new ArrayList<>();
if(p_len>s_len)return res;
int[] pcnt=new int[26];
int[] scnt=new int[26];
for (int i = 0; i < p_len; i++) {
pcnt[p.charAt(i)-'a']++; //记录p中所有字母出现的次数
}
int left=0;
for (int right = 0; right < s_len; right++) {
int curRight=s.charAt(right)-'a';
scnt[curRight]++;
//想不到这种移动方式??????
while (scnt[curRight]>pcnt[curRight]){
int curLeft=s.charAt(left)-'a';
scnt[curLeft]--;
left++;
}
if(right-left+1==p_len){
res.add(left);
}
}
return res;
}
}

567. 字符串的排列
难度中等696
给你两个字符串 s1 和 s2 ,写一个函数来判断 s2 是否包含 s1 的排列。如果是,返回 true ;否则,返回 false 。
换句话说,s1 的排列之一是 s2 的 子串 。
示例 1:
输入:s1 = "ab" s2 = "eidbaooo"
输出:true
解释:s2 包含 s1 的排列之一 ("ba").
示例 2:
输入:s1= "ab" s2 = "eidboaoo"
输出:false
跟上道题差不多
class Solution {
public boolean checkInclusion(String s1, String s2) {
int[] count1=new int[26];
int[] count2=new int[26];
for(int i=0;i<s1.length();i++){
int idx=s1.charAt(i)-'a';
count1[idx]++;
}
int left=0;
int right=0;
while(right<s2.length()){
int idx=s2.charAt(right)-'a';
count2[idx]++;
while(count2[idx]>count1[idx]){
int curLeft=s2.charAt(left)-'a';
count2[curLeft]--;
left++;
}
if(right-left+1==s1.length()){
return true;
}
right++;
}
return false;
}
}

无重复字符的最长子串
76. 最小覆盖子串
难度困难1931
给你一个字符串 s 、一个字符串 t 。返回 s 中涵盖 t 所有字符的最小子串。如果 s 中不存在涵盖 t 所有字符的子串,则返回空字符串 "" 。
注意:
- 对于
t中重复字符,我们寻找的子字符串中该字符数量必须不少于t中该字符数量。 - 如果
s中存在这样的子串,我们保证它是唯一的答案。
示例 1:
输入:s = "ADOBECODEBANC", t = "ABC"
输出:"BANC"
示例 2:
输入:s = "a", t = "a"
输出:"a"
示例 3:
输入: s = "a", t = "aa"
输出: ""
解释: t 中两个字符 'a' 均应包含在 s 的子串中,
因此没有符合条件的子字符串,返回空字符串。
以S="DOABECODEBANC",T="ABC"为例
初始状态:

步骤一:不断增加j使滑动窗口增大,直到窗口包含了T的所有元素,need中所有元素的数量都小于等于0,同时needCnt也是0

步骤二:不断增加i使滑动窗口缩小,直到碰到一个必须包含的元素A,此时记录长度更新结果

步骤三:让i再增加一个位置,开始寻找下一个满足条件的滑动窗口

class Solution {
public String minWindow(String s, String t) {
if (s == null || s.length() == 0 || t == null || t.length() == 0){
return "";
}
int[] need = new int[128];
//记录需要的字符的个数
for (int i = 0; i < t.length(); i++) {
need[t.charAt(i)]++;
}
//l是当前左边界,r是当前右边界,size记录窗口大小,count是需求的字符个数,start是最小覆盖串开始的index
int l = 0, r = 0, size = Integer.MAX_VALUE, count = t.length(), start = 0;
//遍历所有字符
while (r < s.length()) {
char c = s.charAt(r);
if (need[c] > 0) {//需要字符c
count--;
}
need[c]--;//把右边的字符加入窗口
if (count == 0) {//窗口中已经包含所有字符
while (l < r && need[s.charAt(l)] < 0) {
need[s.charAt(l)]++;//释放右边移动出窗口的字符
l++;//指针右移
}
if (r - l + 1 < size) {//不能右移时候挑战最小窗口大小,更新最小窗口开始的start
size = r - l + 1;
start = l;//记录下最小值时候的开始位置,最后返回覆盖串时候会用到
}
//l向右移动后窗口肯定不能满足了 重新开始循环
need[s.charAt(l)]++;
l++;
count++;
}
r++;
}
return size == Integer.MAX_VALUE ? "" : s.substring(start, start + size);
}
}

栈
227. 基本计算器 II(只有+-*/)
给你一个字符串表达式 s ,请你实现一个基本计算器来计算并返回它的值。
整数除法仅保留整数部分。
你可以假设给定的表达式总是有效的。所有中间结果将在 [-231, 231 - 1] 的范围内。
s由整数和算符('+', '-', '*', '/')组成,中间由一些空格隔开
注意:不允许使用任何将字符串作为数学表达式计算的内置函数,比如 eval() 。
示例 1:
输入:s = "3+2*2"
输出:7
思路
方法一(单栈法)
由于乘除优先于加减计算,因此不妨考虑先进行所有乘除运算,并将这些乘除运算后的整数值放回原表达式的相应位置,则随后整个表达式的值,就等于一系列整数加减后的值。
基于此,我们可以用一个栈,保存这些(进行乘除运算后的)整数的值。对于加减号后的数字,将其直接压入栈中;对于乘除号后的数字,可以直接与栈顶元素计算,并替换栈顶元素为计算后的结果。
具体来说,遍历字符串 s,并用变量 preSign 记录每个数字之前的运算符,对于第一个数字,其之前的运算符视为加号。每次遍历到数字末尾时,根据preSign 来决定计算方式:
-
加号:将数字压入栈;
-
减号:将数字的相反数压入栈;
-
乘除号:计算数字与栈顶元素,并将栈顶元素替换为计算结果。
代码实现中,若读到一个运算符,或者遍历到字符串末尾,即认为是遍历到了数字末尾。处理完该数字后,更新 preSign 为当前遍历的字符。
遍历完字符串 s 后,将栈中元素累加,即为该字符串表达式的值。
class Solution {
public int calculate(String s) {
Deque<Integer> stack = new LinkedList<Integer>();
char preSign = '+';
int num = 0;
int n = s.length();
for (int i = 0; i < n; ++i) {
if (Character.isDigit(s.charAt(i))) {
num = num * 10 + s.charAt(i) - '0';
}
if (!Character.isDigit(s.charAt(i)) && s.charAt(i) != ' ' || i == n - 1) {
switch (preSign) {
case '+':
stack.push(num);
break;
case '-':
stack.push(-num);
break;
case '*':
stack.push(stack.pop() * num);
break;
default:
stack.push(stack.pop() / num);
}
preSign = s.charAt(i);
num = 0;
}
}
int ans = 0;
while (!stack.isEmpty()) {
ans += stack.pop();
}
return ans;
}
}
作者:LeetCode-Solution
链接:https://leetcode-cn.com/problems/basic-calculator-ii/solution/ji-ben-ji-suan-qi-ii-by-leetcode-solutio-cm28/
来源:力扣(LeetCode)
著作权归作者所有。商业转载请联系作者获得授权,非商业转载请注明出处。

方法二(双栈法)
对于表达式求值这类问题,我们维护两个栈,一个num栈用来记录数字,一个op栈用来记录操作符,遍历表达式,遇到操作符时进行数的相应计算。
首先我们定义一个eval()函数,用于从数字栈num中弹出两个数字a和b,再从操作符栈op中弹出操作符号,进行计算后将结果数字加入到数字栈num中。
void eval()
{
int b = num.top(); num.pop();
int a = num.top(); num.pop();
char c = op.top(); op.pop();
int r;
if (c == '+') r = a + b;
else if (c == '-') r = a - b;
else if (c == '*') r = a * b;
else r = a / b;
num.push(r);
}
然后我们从前往后扫描整个表达式:
1、当遇到空格 ' '时,跳过。
2、当遇到数字时,则读取一个连续的完整数字,再将其加入到数字栈num中。
3、当遇到'+','-','*','/' 运算符时,需要考虑优先级:
如果操作符栈op的栈顶元素的优先级比当前遇到的操作符优先级高或者相等,则while循环进行eval()操作,即将数字栈num栈顶的两个元素取出来,然后和操作符栈op的栈顶操作符进行相应计算,并将计算结果压回数字栈num中。(这是本题的关键所在,这样的操作保证了操作符栈中的操作符自栈底到栈顶优先级递增。而由于栈的先进后出的特点,后进来的优先级高的操作符会先被用于计算)
否则,将当前运算符压入操作符栈op中。
4、扫描完整个表达式后,如果操作符栈op中还存在元素,则while循环进行eval()操作。
5、最终返回数字栈num的栈顶元素值。

class Solution {
static Stack<Integer> num = new Stack<Integer>();
static Stack<Character> op = new Stack<Character>();
static HashMap<Character, Integer> map = new HashMap<Character, Integer>();
static void eval()
{
int b = num.pop();
int a = num.pop();
char c = op.pop();
int r = 0;
if(c == '+') r = a + b;
else if(c == '-') r = b - a;
else if(c == '*') r = a * b;
else r = a / b;
num.add(r);
}
public int calculate(String s) {
s = '0' + s; // 对开头是负数的处理
map.put('+', 1); //定义运算符的优先级
map.put('-', 1);
map.put('*', 2);
map.put('/', 2);
for(int i = 0; i < s.length();i ++)
{
char c = s.charAt(i);
if(c == ' ') continue; //跳过空格
if(c >= '0' && c <= '9') //c是数字,读取一个连续的数字
{
int x = 0, j = i;
while(j < s.length() && s.charAt(j) >= '0' && s.charAt(j) <= '9')
{
x = x * 10 + s.charAt(j) - '0';
j ++;
}
i = j - 1;
num.add(x);
}
else //c是操作符
{ //op栈非空并且栈顶操作符优先级大于等于当前操作符c的优先级,进行eval()计算
while(!op.isEmpty() && map.get(op.peek()) >= map.get(c)) eval();
op.add(c);
}
}
while(!op.isEmpty()) eval();
return num.pop();
}
}
作者:lin-shen-shi-jian-lu-k
链接:https://leetcode-cn.com/problems/basic-calculator-ii/solution/ji-ben-ji-suan-qi-ii-shuang-zhan-chao-xi-s2ha/
来源:力扣(LeetCode)
著作权归作者所有。商业转载请联系作者获得授权,非商业转载请注明出处。

双栈解决「通用表达式」问题的通用解法
事实上,我提供这套解决方案不仅仅能解决只有 + - ( )(224. 基本计算器) 或者 + - * /(227. 基本计算器 II) 的表达式问题,还能解决 + - * / ^ % ( ) 的完全表达式问题。
class Solution {
// 使用 map 维护一个运算符优先级
// 这里的优先级划分按照「数学」进行划分即可
Map<Character, Integer> map = new HashMap<>(){{
put('-', 1);
put('+', 1);
put('*', 2);
put('/', 2);
put('%', 2);
put('^', 3);
}};
public int calculate(String s) {
// 将所有的空格去掉
s = s.replaceAll(" ", "");
char[] cs = s.toCharArray();
int n = s.length();
// 存放所有的数字
Deque<Integer> nums = new ArrayDeque<>();
// 为了防止第一个数为负数,先往 nums 加个 0
nums.addLast(0);
// 存放所有「非数字以外」的操作
Deque<Character> ops = new ArrayDeque<>();
for (int i = 0; i < n; i++) {
char c = cs[i];
if (c == '(') {
ops.addLast(c);
} else if (c == ')') {
// 计算到最近一个左括号为止
while (!ops.isEmpty()) {
if (ops.peekLast() != '(') {
calc(nums, ops);
} else {
ops.pollLast();
break;
}
}
} else {
if (isNumber(c)) {
int u = 0;
int j = i;
// 将从 i 位置开始后面的连续数字整体取出,加入 nums
while (j < n && isNumber(cs[j])) u = u * 10 + (cs[j++] - '0');
nums.addLast(u);
i = j - 1;
} else {
if (i > 0 && (cs[i - 1] == '(' || cs[i - 1] == '+' || cs[i - 1] == '-')) {
nums.addLast(0);
}
// 有一个新操作要入栈时,先把栈内可以算的都算了
// 只有满足「栈内运算符」比「当前运算符」优先级高/同等,才进行运算
while (!ops.isEmpty() && ops.peekLast() != '(') {
char prev = ops.peekLast();
if (map.get(prev) >= map.get(c)) {
calc(nums, ops);
} else {
break;
}
}
ops.addLast(c);
}
}
}
// 将剩余的计算完
while (!ops.isEmpty()) calc(nums, ops);
return nums.peekLast();
}
void calc(Deque<Integer> nums, Deque<Character> ops) {
if (nums.isEmpty() || nums.size() < 2) return;
if (ops.isEmpty()) return;
int b = nums.pollLast(), a = nums.pollLast();
char op = ops.pollLast();
int ans = 0;
if (op == '+') ans = a + b;
else if (op == '-') ans = a - b;
else if (op == '*') ans = a * b;
else if (op == '/') ans = a / b;
else if (op == '^') ans = (int)Math.pow(a, b);
else if (op == '%') ans = a % b;
nums.addLast(ans);
}
boolean isNumber(char c) {
return Character.isDigit(c);
}
}
作者:AC_OIer
链接:https://leetcode-cn.com/problems/basic-calculator-ii/solution/shi-yong-shuang-zhan-jie-jue-jiu-ji-biao-c65k/
来源:力扣(LeetCode)
著作权归作者所有。商业转载请联系作者获得授权,非商业转载请注明出处。

方法三(中缀转后缀有()法)
https://blog.csdn.net/weixin_42738587/article/details/102594841
import java.util.Stack;
public class Calculator {
public static int priority(char a) {//判断符号优先级
switch (a) {
case '+':
case '-':
case '(':
return 1;
case '*':
case '/':
return 2;
}
return 0;
}
public static char[] middleToBack(String exp) {//中缀表达式转后缀表达式
Stack<Character> stack = new Stack();//栈用来进出运算的符号
char[] arr = exp.toCharArray();
char[] brr = new char[arr.length * 2];//保存后缀表达式,需在数字和符号之间加空格区分,因此长度定为arr的2倍
int count = 0;//标记brr
for (int i = 0; i < arr.length; i++) {
if (i == arr.length - 1) {//防止越界
brr[count++] = arr[i];
brr[count++] = ' ';
} else if ((arr[i] >= '0' && arr[i] <= '9') && !(arr[i + 1] >= '0' && arr[i + 1] <= '9')) {
brr[count++] = arr[i];
brr[count++] = ' ';
} else if (arr[i] >= '0' && arr[i] <= '9') {
brr[count++] = arr[i];
} else {//符号
if (stack.isEmpty()) {
stack.push(arr[i]);
} else if (arr[i] == '(') {
stack.push(arr[i]);
} else if (arr[i] == ')') {
while (stack.peek() != '(') {//'('与')'之间的符号出栈
brr[count++] = stack.peek();
brr[count++] = ' ';
stack.pop();
}
stack.pop();//将'('出栈
} else if (priority(arr[i]) >= priority(stack.peek())) {//如果优先级高于或等于栈顶元素,直接入栈
stack.push(arr[i]);
} else if (priority(arr[i]) < priority(stack.peek())) {//如果优先级低于栈顶元素,依次出栈
while (!stack.isEmpty()) {
brr[count++] = stack.peek();
brr[count++] = ' ';
stack.pop();
}
stack.push(arr[i]);
}
}
}
while (!stack.empty()) {
brr[count++] = stack.peek();
brr[count++] = ' ';
stack.pop();
}
System.out.print(brr);
System.out.println();
return brr;
}
public static void calculate(char[] brr) {//后缀表达式求得计算结果
Stack<Integer> stack = new Stack();//栈用来进出运算的数字
for (int i = 0; i < brr.length; ) {
String number = "";
if (brr[i] == ' '||brr[i]=='\0') {//空格或为空
i++;
continue;
}
if (brr[i] >= '0' && brr[i] <= '9') {//数字入栈
while (brr[i] >= '0' && brr[i] <= '9') {
number += brr[i];
i++;
}
stack.push(Integer.valueOf(number));//字符型转整型入栈
} else if(brr[i]=='+'||brr[i]=='-'||brr[i]=='*'||brr[i]=='/') {//符号
int top1 = stack.peek();
stack.pop();
int top2 = stack.peek();
stack.pop();
int result = operate(top2,top1,brr[i]);//注意top2和top1的位置
stack.push(result);
i++;
}
}
System.out.println(stack.peek());
}
public static int operate(int item1, int item2, char operator) {
int result = 0;
switch (operator) {
case '+':
result = item1 + item2;
break;
case '-':
result = item1 - item2;
break;
case '*':
result = item1 * item2;
break;
case '/':
result = item1 / item2;
break;
}
return result;
}
public static void main(String[] args) {
String exp = "9+(3-1)*3+10/2";
char[] brr = middleToBack(exp);
calculate(brr);
}
}

150. 逆波兰表达式求值
根据 逆波兰表示法,求表达式的值。
有效的算符包括 +、-、*、/ 。每个运算对象可以是整数,也可以是另一个逆波兰表达式。
示例 1:
输入:tokens = ["2","1","+","3","*"]
输出:9
解释:该算式转化为常见的中缀算术表达式为:((2 + 1) * 3) = 9
示例 2:
输入:tokens = ["4","13","5","/","+"]
输出:6
解释:该算式转化为常见的中缀算术表达式为:(4 + (13 / 5)) = 6
class Solution {
public int evalRPN(String[] tokens) {
Deque<Integer> stack = new LinkedList<Integer>();
int n = tokens.length;
for (int i = 0; i < n; i++) {
String token = tokens[i];
if (isNumber(token)) {
stack.push(Integer.parseInt(token));
} else {
int num2 = stack.pop();
int num1 = stack.pop();
switch (token) {
case "+":
stack.push(num1 + num2);
break;
case "-":
stack.push(num1 - num2);
break;
case "*":
stack.push(num1 * num2);
break;
case "/":
stack.push(num1 / num2);
break;
default:
}
}
}
return stack.pop();
}
public boolean isNumber(String token) {
return !("+".equals(token) || "-".equals(token) || "*".equals(token) || "/".equals(token));
}
}
作者:LeetCode-Solution
链接:https://leetcode-cn.com/problems/evaluate-reverse-polish-notation/solution/ni-bo-lan-biao-da-shi-qiu-zhi-by-leetcod-wue9/
来源:力扣(LeetCode)
著作权归作者所有。商业转载请联系作者获得授权,非商业转载请注明出处。

字典序最大的出栈序列
题目:给你一个1->n的排列和一个栈,入栈顺序给定,你要在不打乱入栈顺序的情况下,对数组进行从大到小排序,当无法完全排序时,请输出字典序最大的出栈序列。
输入描述:
第一行一个数n
第二行n个数,表示入栈的顺序,用空格隔开,结尾无空格输出描述:
输出一行n个数表示答案,用空格隔开,结尾无空格
示例1
输入
52 1 5 3 4
输出
5 4 3 1 2
说明
2入栈;1入栈;5入栈;5出栈;3入栈;4入栈;4出栈;3出栈;1出栈;2出栈

解题思路:
要让字典序最大就要让大的数尽量先出栈。
-
用一个数组rmax[i]表示第 i 项到第 n 项的数的最大值。
-
如果栈顶元索大于第i项到第n项的最大值,那么直接让这个元索出栈,让大的先出栈总能保证字典序最大。
-
如果栈顶元素小于第 i 项到第 n 项的最大值,那就让该元素入栈,等着后面更大的元素。
-
如果最后所有元素都已经入栈了,记得还要输出栈内剩余的元素。
import java.util.Stack; public class Meituan { public static void main(String[] args) { int[] array={2,1,5,3,4}; int[] dictoryMax = getDictoryMax(array); for (int num:dictoryMax ) { System.out.println(num); } } public static int[] getDictoryMax(int[] array){ int n=array.length; int [] rmax=new int[n+1]; int [] res=new int[n]; Stack<Integer> st=new Stack<>(); for (int i = n-1; i >= 0; i--){ rmax[i] = Math.max(array[i], rmax[i+1]);//找到最大值和次大值55544 } int m=0; for (int i = 0; i < n; i++) { while (!st.empty() && st.peek() > rmax[i]) { res[m++]=st.peek(); st.pop(); } st.push(array[i]); } while (!st.empty()) { res[m++]=st.peek(); st.pop(); } return res; } }

394. 字符串解码
难度中等1174
给定一个经过编码的字符串,返回它解码后的字符串。
编码规则为: k[encoded_string],表示其中方括号内部的 encoded_string 正好重复 k 次。注意 k 保证为正整数。
你可以认为输入字符串总是有效的;输入字符串中没有额外的空格,且输入的方括号总是符合格式要求的。
此外,你可以认为原始数据不包含数字,所有的数字只表示重复的次数 k ,例如不会出现像 3a 或 2[4] 的输入。
public String decodeString(String s) {
Deque<Integer> stack=new LinkedList<>();
Deque<String> stack_str=new LinkedList<>();
StringBuilder sb=new StringBuilder();
int num=0;
for(int i=0;i<s.length();i++){
if(s.charAt(i)=='['){
stack.push(num);
stack_str.push(sb.toString());
num=0;
sb=new StringBuilder();
}else if(s.charAt(i)==']'){
StringBuilder pre_str=new StringBuilder(stack_str.pop());
int temp_num=stack.pop();
for(int j=0;j<temp_num;j++){
pre_str.append(sb);
}
sb=pre_str;
}else if(s.charAt(i)>='0' &&s.charAt(i)<='9'){
num=num*10+s.charAt(i)-'0';
}else{
sb.append(s.charAt(i));
}
}
return sb.toString();
}
}

单调栈
402. 移掉 K 位数字
给你一个以字符串表示的非负整数 num 和一个整数 k ,移除这个数中的 k 位数字,使得剩下的数字最小。请你以字符串形式返回这个最小的数字。
示例 1 :
输入:num = "1432219", k = 3
输出:"1219"
解释:移除掉三个数字 4, 3, 和 2 形成一个新的最小的数字 1219 。
示例 2 :
输入:num = "10200", k = 1
输出:"200"
解释:移掉首位的 1 剩下的数字为 200. 注意输出不能有任何前导零。
示例 3 :
输入:num = "10", k = 2
输出:"0"
解释:从原数字移除所有的数字,剩余为空就是 0 。
可能你会问:什么时候用单调栈?
需要给当前的元素,找右边/左边第一个比它大/小的位置。
记住这两句话:
单调递增栈,利用波谷剔除栈中的波峰,留下波谷;
单调递减栈,利用波峰剔除栈中的波谷,留下波峰。

官方解:
class Solution {
public String removeKdigits(String num, int k) {
Deque<Character> stack = new ArrayDeque<>(num.length());
for(char c : num.toCharArray()){
while(k > 0 && !stack.isEmpty() && c < stack.peek()){
stack.pop();
k--;
}
if( c != '0' || !stack.isEmpty()){
stack.push(c);
}
}
while( k > 0 && !stack.isEmpty()){
stack.pop();
k--;
}
StringBuffer buffer = new StringBuffer();
while(!stack.isEmpty()){
buffer.append(stack.pollLast());
}
return buffer.length() == 0 ? "0" : buffer.toString();
}
}

316. 去除重复字母
与1081题相同
给你一个字符串 s ,请你去除字符串中重复的字母,使得每个字母只出现一次。需保证 返回结果的字典序最小(要求不能打乱其他字符的相对位置)。
示例 1:
输入:s = "bcabc"
输出:"abc"
示例 2:
输入:s = "cbacdcbc"
输出:"acdb"
class Solution {
String removeDuplicateLetters(String s) {
Stack<Character> stk = new Stack<>();
// 维护一个计数器记录字符串中字符的数量
// 因为输入为 ASCII 字符,大小 256 够用了
int[] count = new int[256];
for (int i = 0; i < s.length(); i++) {
count[s.charAt(i)]++;
}
boolean[] inStack = new boolean[256];
for (char c : s.toCharArray()) {
// 每遍历过一个字符,都将对应的计数减一
count[c]--;
if (inStack[c]) continue;
while (!stk.isEmpty() && stk.peek() > c) {
// 若之后不存在栈顶元素了,则停止 pop
if (count[stk.peek()] == 0) {
break;
}
// 若之后还有,则可以 pop
inStack[stk.pop()] = false;
}
stk.push(c);
inStack[c] = true;
}
StringBuilder sb = new StringBuilder();
while (!stk.empty()) {
sb.append(stk.pop());
}
return sb.reverse().toString();
}
}

739. 每日温度
难度中等1170
给定一个整数数组 temperatures ,表示每天的温度,返回一个数组 answer ,其中 answer[i] 是指在第 i 天之后,才会有更高的温度。如果气温在这之后都不会升高,请在该位置用 0 来代替。
示例 1:
输入: temperatures = [73,74,75,71,69,72,76,73]
输出: [1,1,4,2,1,1,0,0]
示例 2:
输入: temperatures = [30,40,50,60]
输出: [1,1,1,0]
示例 3:
输入: temperatures = [30,60,90]
输出: [1,1,0]
//递减栈,遇到大于栈顶的值就处理,否则装进栈中
class Solution {
public int[] dailyTemperatures(int[] temperatures) {
int[] res=new int[temperatures.length];
Deque<Integer> stack=new LinkedList<>();
for(int i=0;i<temperatures.length;i++){
while(!stack.isEmpty() && temperatures[i]>temperatures[stack.peek()]){
int idx=stack.pop();
res[idx]=i-idx;
}
stack.push(i);
}
return res;
}
}

二叉树
前序遍历(L144)
//二叉树的前序遍历*递归法*(L144)
class Solution {
public List<Integer> res = new ArrayList<>();
public List<Integer> preorderTraversal(TreeNode root) {
dfs(root);
return res;
}
public void dfs(TreeNode root){
if(root==null)return;
res.add(root.val);
dfs(root.left);
dfs(root.right);
}
}
//二叉树的前序遍历*迭代法*(L144)
class Solution {
public List<Integer> preorderTraversal(TreeNode root) {
//第二遍尝试迭代法
Deque<TreeNode> stack= new LinkedList<>();
List<Integer> res=new ArrayList<>();
while (root!=null || !stack.isEmpty()){
if(root!=null){
stack.push(root);
res.add(root.val);
root=root.left;
}else {
root=stack.pop().right;
}
}
return res;
}
}
中序遍历94
//二叉树的中序遍历*递归法*L94
class Solution {
public List<Integer> res = new ArrayList<>();
public List<Integer> inorderTraversal(TreeNode root) {
dfs(root);
return res;
}
public void dfs(TreeNode root){
if(root==null)return;
dfs(root.left);
res.add(root.val);
dfs(root.right);
}
}

//二叉树的中序遍历*迭代法*L94
class Solution {
public List<Integer> inorderTraversal(TreeNode root) {
//第2次刷,else部分temp.right理解错误。
Deque<TreeNode> stack=new LinkedList<>();
List<Integer> res=new ArrayList<>();
while (root!=null || !stack.isEmpty()){
if (root!=null){
stack.push(root);
root=root.left;
}else{
TreeNode temp =stack.pop(); //
res.add(temp.val);
root=temp.right; // 迭代方法需要用栈暂存前面的节点,返回右节点时,
//应该是用栈弹出的temp而不是用root,root已经变了。
}
}
return res;
}
}

后序遍历145
//二叉树的后序遍历*迭代法*145
class Solution {
public List<Integer> postorderTraversal(TreeNode root) {
List<Integer> res=new ArrayList<>();
Deque<TreeNode> stack=new LinkedList<>();
while (root!=null || !stack.isEmpty()){
if(root!=null){
res.add(root.val);
stack.push(root);
root=root.right;
}else {
root =stack.pop().left;
}
}
Collections.reverse(res);
return res;
}
}
层序遍历102
102. 二叉树的层序遍历
进阶:DFS
//二叉树的层序遍历102 BFS
class Solution {
public List<List<Integer>> levelOrder(TreeNode root) {
List<List<Integer>> res=new ArrayList<>();
Deque<TreeNode> queue=new LinkedList<>();
if(root!=null) {
queue.add(root);
}
//注意循环的条件,以及初始条件。
//2刷一次过
while (!queue.isEmpty()){
int size=queue.size();
List<Integer> temp=new ArrayList<>();
for (int i = 0; i < size; i++) {
TreeNode node =queue.poll();
temp.add(node.val);//将每层队列中的结点值依次计入暂存List中
if(node.left!=null){
queue.add(node.left);
}
if(node.right!=null){
queue.add(node.right);
}
}
res.add(temp);
}
return res;
}
}

103. 二叉树的锯齿形层序遍历
//[103. 二叉树的锯齿形层序遍历] BFS
class Solution {
public List<List<Integer>> zigzagLevelOrder(TreeNode root) {
List<List<Integer>> res = new LinkedList<>();
if (root == null) {
return res;
}
Queue<TreeNode> q = new LinkedList<>();
q.offer(root);
// 为 true 时向右,false 时向左
boolean flag = true;
// while 循环控制从上向下一层层遍历
while (!q.isEmpty()) {
int sz = q.size();
// 记录这一层的节点值
LinkedList<Integer> level = new LinkedList<>();
// for 循环控制每一层从左向右遍历
for (int i = 0; i < sz; i++) {
TreeNode cur = q.poll();
// 实现 z 字形遍历
if (flag) {
level.addLast(cur.val);
} else {
level.addFirst(cur.val);
}
if (cur.left != null)
q.offer(cur.left);
if (cur.right != null)
q.offer(cur.right);
}
// 切换方向
flag = !flag;
res.add(level);
}
return res;
}
}

199. 二叉树的右视图

输入: [1,2,3,null,5,null,4]
输出: [1,3,4]
//labuladong解法
class Solution {
/* BFS 层序遍历解法 */
public List<Integer> rightSideView(TreeNode root) {
List<Integer> res = new LinkedList<>();
if (root == null) {
return res;
}
// BFS 层序遍历,计算右侧视图
Queue<TreeNode> q = new LinkedList<>();
q.offer(root);
// while 循环控制从上向下一层层遍历
while (!q.isEmpty()) {
int sz = q.size();
// 每一层头部就是最右侧的元素
TreeNode last = q.peek();
for (int i = 0; i < sz; i++) {
TreeNode cur = q.poll();
// 控制每一层从右向左遍历
if (cur.right != null) {
q.offer(cur.right);
}
if (cur.left != null) {
q.offer(cur.left);
}
}
// 每一层的最后一个节点就是二叉树的右侧视图
res.add(last.val);
}
return res;
}
/* DFS 递归遍历解法 */
List<Integer> res = new ArrayList<>();
// 记录递归的层数
int depth = 0;
public List<Integer> rightSideView_DFS(TreeNode root) {
traverse(root);
return res;
}
// 二叉树遍历函数
void traverse(TreeNode root) {
if (root == null) {
return;
}
// 前序遍历位置
depth++;
if (res.size() < depth) {
// 这一层还没有记录值
// 说明 root 就是右侧视图的第一个节点
res.add(root.val);
}
// 注意,这里反过来,先遍历右子树再遍历左子树
// 这样首先遍历的一定是右侧节点
traverse(root.right);
traverse(root.left);
// 后序遍历位置
depth--;
}
}
对称二叉树101
//递归法--对称二叉树101
class Solution {
public boolean isSymmetric(TreeNode root) {
return check(root,root);
}
public boolean check(TreeNode p,TreeNode q){
if(p==null && q==null){
return true;
}else if(p==null || q==null){
return false;
}
return p.val==q.val && check(p.left,q.right)&& check(p.right,q.left);
}
}

//迭代法--对称二叉树101
class Solution {
public boolean isSymmetric(TreeNode root) {
Deque<TreeNode> queue=new LinkedList<>();
if(root==null || (root.left==null && root.right==null))
return true;
queue.offer(root.left);
queue.offer(root.right);
while (!queue.isEmpty()){
TreeNode left=queue.poll();
TreeNode right=queue.poll();
if(left==null && right==null)
continue;
if(left==null || right==null)
return false;
if(left.val!=right.val){
return false;
}
queue.offer(left.left);
queue.offer(right.right);
queue.offer(left.right);
queue.offer(right.left);
}
return true;
}
}

二叉树的最大深度104
//二叉树的最大深度104
class Solution {
public int maxDepth(TreeNode root) {
if (root == null) {
return 0;
} else {
int left = maxDepth(root.left);
int right = maxDepth(root.right);
return Math.max(left, right) + 1;
}
}
}
二叉树的最小深度111
//二叉树的最小深度111
class Solution {
public int minDepth(TreeNode root) {
if(root==null)
return 0;
int left=minDepth(root.left);
int right=minDepth(root.right);
return (root.left==null || root.right==null)?left+right+1:Math.min(left,right)+1;
}
}
完全二叉树的节点个数222
//完全二叉树的节点个数222
class Solution {
public int countNodes(TreeNode root) {
//很巧妙,通过计算结点的左右子树的层数,结合完全二叉树的特点,得到结论,
// 左右子树如果层数相同,则左子树一定是满二叉树,满二叉树的结点可以通过2^n-1来计算,
// 然后再通过同样的方法来套右子树,右子树是完全二叉树。
// 左右子树如果层数不同的话,则表示右子树是满二叉树,左子树最后一层未满。
if(root==null)return 0;
int left=countLevel(root.left);
int right=countLevel(root.right);
if(left==right){
return countNodes(root.right)+(1<<left);
}else{
return countNodes(root.left)+(1<<right);
}
}
//计算层数时,就计算最左边的深度。
public int countLevel(TreeNode root){
int level=0;
while (root!=null){
level++;
root=root.left;
}
return level;
}
}

958. 二叉树的完全性检验

//[958. 二叉树的完全性检验]
class Solution {
public boolean isCompleteTree(TreeNode root) {
Queue<TreeNode> q = new LinkedList<>();
q.offer(root);
// 遍历完所有非空节点时变成 true
boolean end = false;
// while 循环控制从上向下一层层遍历
while (!q.isEmpty()) {
int sz = q.size();
// for 循环控制每一层从左向右遍历
for (int i = 0; i < sz; i++) {
TreeNode cur = q.poll();
if (cur == null) {
// 第一次遇到 null 时 end 变成 true
// 如果之后的所有节点都是 null,则说明是完全二叉树
end = true;
} else {
if (end) {
// end 为 true 时遇到非空节点说明不是完全二叉树
return false;
}
// 将下一层节点放入队列,不用判断是否非空
q.offer(cur.left);
q.offer(cur.right);
}
}
}
return true;
}
}

662. 二叉树最大宽度 ()
给定一个二叉树,编写一个函数来获取这个树的最大宽度。树的宽度是所有层中的最大宽度。这个二叉树与满二叉树(full binary tree)结构相同,但一些节点为空。
每一层的宽度被定义为两个端点(该层最左和最右的非空节点,两端点间的null节点也计入长度)之间的长度。
输入:
1
/ \
3 2
/ \ \
5 3 9
输出: 4
解释: 最大值出现在树的第 3 层,宽度为 4 (5,3,null,9)。
//层序遍历思路
class Solution {
// 记录节点和对应编号
class Pair {
TreeNode node;
int id;
public Pair( TreeNode node, int id) {
this.node = node;
this.id = id;
}
}
public int widthOfBinaryTree(TreeNode root) {
if (root == null) {
return 0;
}
// 记录最大的宽度
int maxWidth = 0;
// 标准 BFS 层序遍历算法
Queue<Pair> q = new LinkedList<>();
q.offer(new Pair(root, 1));
// 从上到下遍历整棵树
while (!q.isEmpty()) {
int sz = q.size();
int start = 0, end = 0;
// 从左到右遍历每一行
for (int i = 0; i < sz; i++) {
Pair cur = q.poll();
TreeNode curNode = cur.node;
int curId = cur.id;
// 记录当前行第一个和最后一个节点的编号
if (i == 0) {
start = curId;
}
if (i == sz - 1) {
end = curId;
}
// 左右子节点入队,同时记录对应节点的编号
if (curNode.left != null) {
q.offer(new Pair(curNode.left, curId * 2));
}
if (curNode.right != null) {
q.offer(new Pair(curNode.right, curId * 2 + 1));
}
}
// 用当前行的宽度更新最大宽度
maxWidth = Math.max(maxWidth, end - start + 1);
}
return maxWidth;
}
}

// 递归遍历思路
class Solution2 {
public int widthOfBinaryTree(TreeNode root) {
if (root == null) {
return 0;
}
traverse(root, 1, 1);
return maxWidth;
}
// 记录最左侧节点的编号
ArrayList<Integer> firstId = new ArrayList<>();
int maxWidth = 1;
// 二叉树遍历函数
void traverse(TreeNode root, int id, int depth) {
if (root == null) {
return;
}
if (firstId.size() == depth - 1) {
// 因为代码是先 traverse(root.left) 后 traverse(root.right),
// 所以第一次到达这个深度一定是最左侧的节点,记录其编号
firstId.add(id);
} else {
// 这个深度的其他节点,负责计算更新当前深度的最大宽度
maxWidth = Math.max(maxWidth, id - firstId.get(depth - 1) + 1);
}
traverse(root.left, id * 2, depth + 1);
traverse(root.right, id * 2 + 1, depth + 1);
}
}

平衡二叉树110
//平衡二叉树 110
class Solution {
public boolean isBalanced(TreeNode root) {
return recur(root) != -1;
}
private int recur(TreeNode root) {
if (root == null) return 0;
int left = recur(root.left);
if(left == -1) return -1;
int right = recur(root.right);
if(right == -1) return -1;
return Math.abs(left - right) < 2 ? Math.max(left, right) + 1 : -1;
}
}

二叉树的所有路径257
//二叉树的所有路径257
class Solution {
List<String> res=new ArrayList<>();
public List<String> binaryTreePaths(TreeNode root) {
dfs(root,new StringBuilder());
return res;
}
public void dfs(TreeNode root,StringBuilder temp){
if(root!=null){
//
//StringBuilder temp=new StringBuilder(path);
temp.append(Integer.toString(root.val));
if(root.left==null && root.right==null){
res.add(temp.toString());
}else {
dfs(root.left,new StringBuilder(temp).append("->"));
dfs(root.right,new StringBuilder(temp).append("->"));
}
}
//一般
}
}

左叶子之和404
//左叶子之和404
class Solution {
int res=0;
public int sumOfLeftLeaves(TreeNode root) {
if(root==null)return 0;
dfs(root,false);
return res;
}
public void dfs(TreeNode root,boolean flag){
if(root.left==null && root.right==null && flag)
res+=root.val;
if(root.left!=null){
dfs(root.left,true);
}
if(root.right!=null){
dfs(root.right,false);
}
}
}
路径总和112
//路径总和112
public class Solution {
public boolean hasPathSum(TreeNode root, int sum) {
if(root == null){
return false;
}
if(root.left == null && root.right == null){
return root.val == sum;
}
return hasPathSum(root.left, sum - root.val) || hasPathSum(root.right, sum - root.val);
}
}

113. 路径总和 II
//给你二叉树的根节点 root 和一个整数目标和 targetSum ,找出所有 从根节点到叶子节点 路径总和等于给定目标和的路径。
class Solution {
List<List<Integer>> ret = new LinkedList<List<Integer>>();
Deque<Integer> path = new LinkedList<Integer>();
public List<List<Integer>> pathSum(TreeNode root, int targetSum) {
dfs(root, targetSum);
return ret;
}
public void dfs(TreeNode root, int targetSum) {
if (root == null) {
return;
}
path.offerLast(root.val);
targetSum -= root.val;
if (root.left == null && root.right == null && targetSum == 0) {
ret.add(new LinkedList<Integer>(path));
}
dfs(root.left, targetSum);
dfs(root.right, targetSum);
path.pollLast();
}
}
作者:LeetCode-Solution
链接:https://leetcode-cn.com/problems/path-sum-ii/solution/lu-jing-zong-he-ii-by-leetcode-solution/
来源:力扣(LeetCode)
著作权归作者所有。商业转载请联系作者获得授权,非商业转载请注明出处。

124.二叉树中的最大路径和
翻转二叉树226
//翻转二叉树226
class Solution {
public TreeNode invertTree(TreeNode root) {
if(root==null)return null;
TreeNode temp=root.left;
root.left=root.right;
root.right=temp;
invertTree(root.left);
invertTree(root.right);
return root;
}
}
先来看看能有哪几种组合:
- 先序遍历 + 中序遍历
- 后序遍历 + 中序遍历
- 先序遍历 + 后续遍历(不可行)
105. 从前序与中序遍历序列构造二叉树
输入: preorder = [3,9,20,15,7], inorder = [9,3,15,20,7]
输出: [3,9,20,null,null,15,7]
思路:
先序遍历的顺序是根节点,左子树,右子树。中序遍历的顺序是左子树,根节点,右子树。
所以我们只需要根据先序遍历得到根节点,然后在中序遍历中找到根节点的位置,它的左边就是左子树的节点,右边就是右子树的节点。
生成左子树和右子树就可以递归的进行了。


//递归法思路:
//先序遍历的顺序是根节点,左子树,右子树。中序遍历的顺序是左子树,根节点,右子树。
//1.所以我们只需要根据先序遍历得到根节点(第一个索引值就是根节点),然后在中序遍历中找到根节点的位置,它的左边就是左子树的节点,右边就是右子树的节点。
//然后根据中序数组左子树的节点数量(leftNum)从而找到先序数组中左子树的索引范围,也就是[根索引+1,根索引+1+leftNum]
//生成左子树和右子树就可以递归的进行了。
public TreeNode buildTree(int[] preorder, int[] inorder) {
return buildTreeHelper(preorder, 0, preorder.length, inorder, 0, inorder.length);
}
private TreeNode buildTreeHelper(int[] preorder, int p_start, int p_end, int[] inorder, int i_start, int i_end) {
// preorder 为空,直接返回 null
if (p_start == p_end) {
return null;
}
int root_val = preorder[p_start];
TreeNode root = new TreeNode(root_val);
//在中序遍历中找到根节点的位置
int i_root_index = 0;
for (int i = i_start; i < i_end; i++) {
if (root_val == inorder[i]) {
i_root_index = i;
break;
}
}
int leftNum = i_root_index - i_start;
//递归的构造左子树
root.left = buildTreeHelper(preorder, p_start + 1, p_start + leftNum + 1, inorder, i_start, i_root_index);
//递归的构造右子树
root.right = buildTreeHelper(preorder, p_start + leftNum + 1, p_end, inorder, i_root_index + 1, i_end);
return root;
}
作者:windliang
链接:https://leetcode-cn.com/problems/construct-binary-tree-from-preorder-and-inorder-traversal/solution/xiang-xi-tong-su-de-si-lu-fen-xi-duo-jie-fa-by--22/
来源:力扣(LeetCode)
著作权归作者所有。商业转载请联系作者获得授权,非商业转载请注明出处。

上边的代码很好理解,但存在一个问题,在中序遍历中找到根节点的位置每次都得遍历中序遍历的数组去寻找,参考这里 ,我们可以用一个HashMap把中序遍历数组的每个元素的值和下标存起来,这样寻找根节点的位置就可以直接得到了。
public TreeNode buildTree(int[] preorder, int[] inorder) {
HashMap<Integer, Integer> map = new HashMap<>();
for (int i = 0; i < inorder.length; i++) {
map.put(inorder[i], i);
}
return buildTreeHelper(preorder, 0, preorder.length, inorder, 0, inorder.length, map);
}
private TreeNode buildTreeHelper(int[] preorder, int p_start, int p_end, int[] inorder, int i_start, int i_end,HashMap<Integer, Integer> map) {
if (p_start == p_end) {
return null;
}
int root_val = preorder[p_start];
TreeNode root = new TreeNode(root_val);
int i_root_index = map.get(root_val);
int leftNum = i_root_index - i_start;
root.left = buildTreeHelper(preorder, p_start + 1, p_start + leftNum + 1, inorder, i_start, i_root_index, map);
root.right = buildTreeHelper(preorder, p_start + leftNum + 1, p_end, inorder, i_root_index + 1, i_end, map);
return root;
}
作者:windliang
链接:https://leetcode-cn.com/problems/construct-binary-tree-from-preorder-and-inorder-traversal/solution/xiang-xi-tong-su-de-si-lu-fen-xi-duo-jie-fa-by--22/
来源:力扣(LeetCode)
著作权归作者所有。商业转载请联系作者获得授权,非商业转载请注明出处。

中序与后序遍历构造二叉树106


树的还原过程描述
根据中序遍历和后续遍历的特性我们进行树的还原过程分析
- 首先在后序遍历序列中找到根节点(最后一个元素)
- 根据根节点在中序遍历序列中找到根节点的位置
- 根据根节点的位置将中序遍历序列分为左子树和右子树
- 根据根节点的位置确定左子树和右子树在中序数组和后续数组中的左右边界位置
- 递归构造左子树和右子树
- 返回根节点结束
树的还原过程变量定义
需要定义几个变量帮助我们进行树的还原
- HashMap memo 需要一个哈希表来保存中序遍历序列中,元素和索引的位置关系.因为从后序序列中拿到根节点后,要在中序序列中查找对应的位置,从而将数组分为左子树和右子树
- int ri 根节点在中序遍历数组中的索引位置
- 中序遍历数组的两个位置标记 [is, ie],is 是起始位置,ie 是结束位置
- 后序遍历数组的两个位置标记 [ps, pe] ps 是起始位置,pe 是结束位置
位置关系的计算
在找到根节点位置以后,我们要确定下一轮中,左子树和右子树在中序数组和后续数组中的左右边界的位置。
- 左子树-中序数组 is = is, ie = ri - 1
- 左子树-后序数组 ps = ps, pe = ps + ri - is - 1 (pe计算过程解释,后续数组的起始位置加上左子树长度-1 就是后后序数组结束位置了,左子树的长度 = 根节点索引-左子树)
- 右子树-中序数组 is = ri + 1, ie = ie
- 右子树-后序数组 ps = ps + ri - is, pe - 1
//中序与后序遍历构造二叉树106
class Solution {
Map<Integer,Integer> map=new HashMap<>();
int[] post;
public TreeNode buildTree(int[] inorder, int[] postorder) {
for (int i = 0; i < inorder.length; i++) {
map.put(inorder[i],i);
}
post=postorder;
return build(0,inorder.length-1,0,postorder.length-1);
}
public TreeNode build(int inBegin,int inEnd,int postBegin,int postEnd){
if(inEnd<inBegin || postEnd<postBegin)return null;//边界条件一定要考虑到。非常重要
int rootVal=post[postEnd];
int index=map.get(rootVal);
TreeNode node =new TreeNode(rootVal);
node.left=build(inBegin,index-1,postBegin,postBegin+index-inBegin-1);
node.right=build(index+1,inEnd,postBegin+index-inBegin,postEnd-1);
return node;
}
}

合并二叉树617
//合并二叉树617
class Solution {
public TreeNode mergeTrees(TreeNode root1, TreeNode root2) {
if(root1==null || root2==null) {
return root2==null?root1:root2;
}
root1.val+=root2.val;
root1.left=mergeTrees(root1.left,root2.left);
root1.right=mergeTrees(root1.right,root2.right);
return root1;
}
}

236. 二叉树的最近公共祖先
class Solution {
public TreeNode lowestCommonAncestor(TreeNode root, TreeNode p, TreeNode q) {
if(root == null || root == p || root == q) return root;
TreeNode left = lowestCommonAncestor(root.left, p, q);
TreeNode right = lowestCommonAncestor(root.right, p, q);
if(left == null && right == null) return null; // 1.
if(left == null) return right; // 3.
if(right == null) return left; // 4.
return root; // 2. if(left != null and right != null)
}
}
作者:jyd
链接:https://leetcode-cn.com/problems/lowest-common-ancestor-of-a-binary-tree/solution/236-er-cha-shu-de-zui-jin-gong-gong-zu-xian-hou-xu/
来源:力扣(LeetCode)
著作权归作者所有。商业转载请联系作者获得授权,非商业转载请注明出处。

129. 求根节点到叶节点数字之和
public int sumNumbers(TreeNode root) {
return helper(root, 0);
}
public int helper(TreeNode root, int i){
if (root == null) return 0;
int temp = i * 10 + root.val;
if (root.left == null && root.right == null)
return temp;
return helper(root.left, temp) + helper(root.right, temp);
}
作者:liuzhaoce
链接:https://leetcode-cn.com/problems/sum-root-to-leaf-numbers/solution/0-ms-jiao-ke-shu-ji-jie-da-by-liuzhaoce/
来源:力扣(LeetCode)
著作权归作者所有。商业转载请联系作者获得授权,非商业转载请注明出处。

543. 二叉树的直径
class Solution {
int ans;
public int diameterOfBinaryTree(TreeNode root) {
ans = 1;
depth(root);
return ans - 1;
}
public int depth(TreeNode node) {
if (node == null) {
return 0; // 访问到空节点了,返回0
}
int L = depth(node.left); // 左儿子为根的子树的深度
int R = depth(node.right); // 右儿子为根的子树的深度
ans = Math.max(ans, L+R+1); // 计算d_node即L+R+1 并更新ans
return Math.max(L, R) + 1; // 返回该节点为根的子树的深度
}
}
作者:LeetCode-Solution
链接:https://leetcode-cn.com/problems/diameter-of-binary-tree/solution/er-cha-shu-de-zhi-jing-by-leetcode-solution/
来源:力扣(LeetCode)
著作权归作者所有。商业转载请联系作者获得授权,非商业转载请注明出处。
98. 验证二叉搜索树(hh)
class Solution {
long pre = Long.MIN_VALUE;
public boolean isValidBST(TreeNode root) {
if (root == null) {
return true;
}
// 访问左子树
if (!isValidBST(root.left)) {
return false;
}
// 访问当前节点:如果当前节点小于等于中序遍历的前一个节点,说明不满足BST,返回 false;否则继续遍历。
if (root.val <= pre) {
return false;
}
pre = root.val;
// 访问右子树
return isValidBST(root.right);
}
}
作者:sweetiee
链接:https://leetcode-cn.com/problems/validate-binary-search-tree/solution/zhong-xu-bian-li-qing-song-na-xia-bi-xu-miao-dong-/
来源:力扣(LeetCode)
著作权归作者所有。商业转载请联系作者获得授权,非商业转载请注明出处。
剑指 54. 二叉搜索树的第k大节点 ()
class Solution {
int res, k;
public int kthLargest(TreeNode root, int k) {
this.k = k;
dfs(root);
return res;
}
void dfs(TreeNode root) {
if(root == null) return;
dfs(root.right);
if(k == 0) return;
if(--k == 0) res = root.val;
dfs(root.left);
}
}
作者:jyd
链接:https://leetcode-cn.com/problems/er-cha-sou-suo-shu-de-di-kda-jie-dian-lcof/solution/mian-shi-ti-54-er-cha-sou-suo-shu-de-di-k-da-jie-d/
来源:力扣(LeetCode)
著作权归作者所有。商业转载请联系作者获得授权,非商业转载请注明出处。
回溯
77. 组合
给定两个整数 n 和 k,返回范围 [1, n] 中所有可能的 k 个数的组合。
你可以按 任何顺序 返回答案。
示例 1:
输入:n = 4, k = 2
输出:
[
[2,4],
[3,4],
[2,3],
[1,2],
[1,3],
[1,4],
]
import java.util.ArrayDeque;
import java.util.ArrayList;
import java.util.Deque;
import java.util.List;
public class Solution {
public List<List<Integer>> combine(int n, int k) {
List<List<Integer>> res = new ArrayList<>();
if (k <= 0 || n < k) {
return res;
}
Deque<Integer> path = new ArrayDeque<>();
dfs(n, k, 1, path, res);
return res;
}
private void dfs(int n, int k, int index, Deque<Integer> path, List<List<Integer>> res) {
if (path.size() == k) {
res.add(new ArrayList<>(path));
return;
}
// 只有这里 i <= n - (k - path.size()) + 1 与参考代码 1 不同
for (int i = index; i <= n - (k - path.size()) + 1; i++) {
path.addLast(i);
dfs(n, k, i + 1, path, res);
path.removeLast();
}
}
}
作者:liweiwei1419
链接:https://leetcode-cn.com/problems/combinations/solution/hui-su-suan-fa-jian-zhi-python-dai-ma-java-dai-ma-/
来源:力扣(LeetCode)
著作权归作者所有。商业转载请联系作者获得授权,非商业转载请注明出处。

39. 组合总和
给你一个 无重复元素 的整数数组 candidates 和一个目标整数 target ,找出 candidates 中可以使数字和为目标数 target 的 所有 不同组合 ,并以列表形式返回。你可以按 任意顺序 返回这些组合。
candidates 中的 同一个 数字可以 无限制重复被选取 。如果至少一个数字的被选数量不同,则两种组合是不同的。
对于给定的输入,保证和为 target 的不同组合数少于 150 个。
示例 1:
输入:candidates = [2,3,6,7], target = 7
输出:[[2,2,3],[7]]
解释:
2 和 3 可以形成一组候选,2 + 2 + 3 = 7 。注意 2 可以使用多次。
7 也是一个候选, 7 = 7 。
仅有这两种组合。
import java.util.ArrayDeque;
import java.util.ArrayList;
import java.util.Arrays;
import java.util.Deque;
import java.util.List;
public class Solution {
public List<List<Integer>> combinationSum(int[] candidates, int target) {
int len = candidates.length;
List<List<Integer>> res = new ArrayList<>();
if (len == 0) {
return res;
}
// 排序是剪枝的前提
Arrays.sort(candidates);
Deque<Integer> path = new ArrayDeque<>();
dfs(candidates, 0, len, target, path, res);
return res;
}
private void dfs(int[] candidates, int begin, int len, int target, Deque<Integer> path, List<List<Integer>> res) {
// 由于进入更深层的时候,小于 0 的部分被剪枝,因此递归终止条件值只判断等于 0 的情况
if (target == 0) {
res.add(new ArrayList<>(path));
return;
}
for (int i = begin; i < len; i++) {
// 重点理解这里剪枝,前提是候选数组已经有序,
if (target - candidates[i] < 0) {
break;
}
path.addLast(candidates[i]);
dfs(candidates, i, len, target - candidates[i], path, res);
path.removeLast();
}
}
}
作者:liweiwei1419
链接:https://leetcode-cn.com/problems/combination-sum/solution/hui-su-suan-fa-jian-zhi-python-dai-ma-java-dai-m-2/
来源:力扣(LeetCode)
著作权归作者所有。商业转载请联系作者获得授权,非商业转载请注明出处。

40. 组合总和 II
难度中等829
给定一个候选人编号的集合 candidates 和一个目标数 target ,找出 candidates 中所有可以使数字和为 target 的组合。
candidates 中的每个数字在每个组合中只能使用 一次 。
注意:解集不能包含重复的组合。
示例 1:
输入: candidates = [10,1,2,7,6,1,5], target = 8,
输出:
[
[1,1,6],
[1,2,5],
[1,7],
[2,6]
]
public class Solution {
public List<List<Integer>> combinationSum2(int[] candidates, int target) {
int len = candidates.length;
List<List<Integer>> res = new ArrayList<>();
if (len == 0) {
return res;
}
// 关键步骤
Arrays.sort(candidates);
Deque<Integer> path = new ArrayDeque<>(len);
dfs(candidates, len, 0, target, path, res);
return res;
}
/**
* @param begin 从候选数组的 begin 位置开始搜索
* @param target 表示剩余,这个值一开始等于 target,基于题目中说明的"所有数字(包括目标数)都是正整数"这个条件
*/
private void dfs(int[] candidates, int len, int begin, int target, Deque<Integer> path, List<List<Integer>> res) {
if (target == 0) {
res.add(new ArrayList<>(path));
return;
}
for (int i = begin; i < len; i++) {
// 大剪枝:减去 candidates[i] 小于 0,减去后面的 candidates[i + 1]、candidates[i + 2] 肯定也小于 0,因此用 break
if (target - candidates[i] < 0) {
break;
}
// 小剪枝:同一层相同数值的结点,从第 2 个开始,候选数更少,结果一定发生重复,因此跳过,用 continue
if (i > begin && candidates[i] == candidates[i - 1]) {
continue;
}
path.addLast(candidates[i]);
// 因为元素不可以重复使用,这里递归传递下去的是 i + 1 而不是 i
dfs(candidates, len, i + 1, target - candidates[i], path, res);
path.removeLast();
}
}
作者:liweiwei1419
链接:https://leetcode-cn.com/problems/combination-sum-ii/solution/hui-su-suan-fa-jian-zhi-python-dai-ma-java-dai-m-3/
来源:力扣(LeetCode)
著作权归作者所有。商业转载请联系作者获得授权,非商业转载请注明出处。

46. 全排列
给定一个不含重复数字的数组 nums ,返回其 所有可能的全排列 。你可以 按任意顺序 返回答案。

// [46. 全排列](https://leetcode-cn.com/problems/permutations/)
class Solution {
List<List<Integer>> res=new ArrayList<>();
public List<List<Integer>> permute(int[] nums) {
boolean [] visited=new boolean[nums.length];
dfs(nums,new ArrayList<Integer>(),visited);
return res;
}
public void dfs(int[] nums, ArrayList<Integer> temp,boolean[] visited){
if(temp.size()==nums.length){
res.add(new ArrayList<>(temp));
return;
}
for (int i = 0; i < nums.length; i++) {
if(visited[i]==false){
temp.add(nums[i]);
visited[i]=true;
dfs(nums,temp,visited);
visited[i]=false;
temp.remove(temp.size()-1);
}
}
}
}

47. 全排列 II
给定一个可包含重复数字的序列 nums ,按任意顺序 返回所有不重复的全排列。
示例 1:
输入:nums = [1,1,2]
输出:
[[1,1,2],
[1,2,1],
[2,1,1]]
import java.util.ArrayDeque;
import java.util.ArrayList;
import java.util.Arrays;
import java.util.Deque;
import java.util.List;
public class Solution {
public List<List<Integer>> permuteUnique(int[] nums) {
int len = nums.length;
List<List<Integer>> res = new ArrayList<>();
if (len == 0) {
return res;
}
// 排序(升序或者降序都可以),排序是剪枝的前提
Arrays.sort(nums);
boolean[] used = new boolean[len];
// 使用 Deque 是 Java 官方 Stack 类的建议
Deque<Integer> path = new ArrayDeque<>(len);
dfs(nums, len, 0, used, path, res);
return res;
}
private void dfs(int[] nums, int len, int depth, boolean[] used, Deque<Integer> path, List<List<Integer>> res) {
if (depth == len) {
res.add(new ArrayList<>(path));
return;
}
for (int i = 0; i < len; ++i) {
if (used[i]) {
continue;
}
// 剪枝条件:i > 0 是为了保证 nums[i - 1] 有意义
// 写 !used[i - 1] 是因为 nums[i - 1] 在深度优先遍历的过程中刚刚被撤销选择
if (i > 0 && nums[i] == nums[i - 1] && !used[i - 1]) {
continue;
}
path.addLast(nums[i]);
used[i] = true;
dfs(nums, len, depth + 1, used, path, res);
// 回溯部分的代码,和 dfs 之前的代码是对称的
used[i] = false;
path.removeLast();
}
}
}
作者:liweiwei1419
链接:https://leetcode-cn.com/problems/permutations-ii/solution/hui-su-suan-fa-python-dai-ma-java-dai-ma-by-liwe-2/
来源:力扣(LeetCode)
著作权归作者所有。商业转载请联系作者获得授权,非商业转载请注明出处。

78. 子集
给你一个整数数组 nums ,数组中的元素 互不相同 。返回该数组所有可能的子集(幂集)。
解集 不能 包含重复的子集。你可以按 任意顺序 返回解集。
示例 1:
输入:nums = [1,2,3]
输出:[[],[1],[2],[1,2],[3],[1,3],[2,3],[1,2,3]]

class Solution {
//存放结果
List<List<Integer>> res = new ArrayList<>();
//存放当前路径
List<Integer> path = new ArrayList<>();
public List<List<Integer>> subsets(int[] nums) {
dfs(nums, 0);
return res;
}
//start表示这次遍历从哪里开始
public void dfs(int[] nums, int start){
//树之中的每个节点都要保存,所以我们一上来就直接添加到结果。
res.add(new ArrayList<>(path));
//从上一层的节点之后(start)开始遍历到结尾
for (int i = start; i < nums.length; i++){
//添加到当前路径
path.add(nums[i]);
//从下一个节点开始,递归下一层
dfs(nums, i + 1);
//回溯
path.remove(path.size() - 1);
}
}
}

93. 复原 IP 地址
有效 IP 地址 正好由四个整数(每个整数位于 0 到 255 之间组成,且不能含有前导 0),整数之间用 '.' 分隔。
例如:"0.1.2.201" 和 "192.168.1.1" 是 有效 IP 地址,但是 "0.011.255.245"、"192.168.1.312" 和 "192.168@1.1" 是 无效 IP 地址。
给定一个只包含数字的字符串 s ,用以表示一个 IP 地址,返回所有可能的有效 IP 地址,这些地址可以通过在 s 中插入 '.' 来形成。你 不能 重新排序或删除 s 中的任何数字。你可以按 任何 顺序返回答案。
示例 1:
输入:s = "25525511135"
输出:["255.255.11.135","255.255.111.35"]
示例 2:
输入:s = "0000"
输出:["0.0.0.0"]

class Solution {
List<String> result = new ArrayList<>();
public List<String> restoreIpAddresses(String s) {
if (s.length() > 12) return result; // 算是剪枝了
backTrack(s, 0, 0);
return result;
}
// startIndex: 搜索的起始位置, pointNum:添加逗点的数量
private void backTrack(String s, int startIndex, int pointNum) {
if (pointNum == 3) {// 逗点数量为3时,分隔结束
// 判断第四段⼦字符串是否合法,如果合法就放进result中
if (isValid(s,startIndex,s.length()-1)) {
result.add(s);
}
return;
}
for (int i = startIndex; i < s.length(); i++) {
if (isValid(s, startIndex, i)) {
s = s.substring(0, i + 1) + "." + s.substring(i + 1); //在str的后⾯插⼊⼀个逗点
pointNum++;
backTrack(s, i + 2, pointNum);// 插⼊逗点之后下⼀个⼦串的起始位置为i+2
pointNum--;// 回溯
s = s.substring(0, i + 1) + s.substring(i + 2);// 回溯删掉逗点
} else {
break;
}
}
}
// 判断字符串s在左闭⼜闭区间[start, end]所组成的数字是否合法
private Boolean isValid(String s, int start, int end) {
if (start > end) {
return false;
}
if (s.charAt(start) == '0' && start != end) { // 0开头的数字不合法
return false;
}
int num = 0;
for (int i = start; i <= end; i++) {
if (s.charAt(i) > '9' || s.charAt(i) < '0') { // 遇到⾮数字字符不合法
return false;
}
num = num * 10 + (s.charAt(i) - '0');
if (num > 255) { // 如果⼤于255了不合法
return false;
}
}
return true;
}
}
作者:carlsun-2
链接:https://leetcode-cn.com/problems/restore-ip-addresses/solution/dai-ma-sui-xiang-lu-93-fu-yuan-ip-di-zhi-pzjo/
来源:力扣(LeetCode)
著作权归作者所有。商业转载请联系作者获得授权,非商业转载请注明出处。

17. 电话号码的字母组合
示例 1:
输入:digits = "23"
输出:["ad","ae","af","bd","be","bf","cd","ce","cf"]
class Solution {
public List<String> letterCombinations(String digits) {
List<String> combinations = new ArrayList<String>();
if (digits.length() == 0) {
return combinations;
}
Map<Character, String> phoneMap = new HashMap<Character, String>() {{
put('2', "abc");
put('3', "def");
put('4', "ghi");
put('5', "jkl");
put('6', "mno");
put('7', "pqrs");
put('8', "tuv");
put('9', "wxyz");
}};
backtrack(combinations, phoneMap, digits, 0, new StringBuffer());
return combinations;
}
public void backtrack(List<String> combinations, Map<Character, String> phoneMap, String digits, int index, StringBuffer combination) {
if (index == digits.length()) {
combinations.add(combination.toString());
} else {
char digit = digits.charAt(index);
String letters = phoneMap.get(digit);
int lettersCount = letters.length();
for (int i = 0; i < lettersCount; i++) {
combination.append(letters.charAt(i));
backtrack(combinations, phoneMap, digits, index + 1, combination);
combination.deleteCharAt(index);
}
}
}
}

链表
206. 反转链表
迭代法经常考,但是有时候也会考递归法
//反转链表206-迭代法
class Solution {
public ListNode reverseList(ListNode head) {
ListNode cur=head;
ListNode pre=null;
while(cur!=null){
ListNode temp=cur.next;
cur.next=pre;
pre=cur;
cur=temp;
}
return pre;
}
}
//反转链表206-递归法
class Solution {
public ListNode reverseList(ListNode head) {
//递归终止条件是当前为空,或者下一个节点为空
if(head==null || head.next==null) {
return head;
}
//这里的cur就是最后一个节点
ListNode cur = reverseList(head.next);
//这里请配合动画演示理解
//如果链表是 1->2->3->4->5,那么此时的cur就是5
//而head是4,head的下一个是5,下下一个是空
//所以head.next.next 就是5->4
head.next.next = head;
//防止链表循环,需要将head.next设置为空
head.next = null;
//每层递归函数都返回cur,也就是最后一个节点
return cur;
}
}
作者:wang_ni_ma
链接:https://leetcode-cn.com/problems/reverse-linked-list/solution/dong-hua-yan-shi-206-fan-zhuan-lian-biao-by-user74/
来源:力扣(LeetCode)
著作权归作者所有。商业转载请联系作者获得授权,非商业转载请注明出处。

92. 反转链表 II
class Solution {
public ListNode reverseBetween(ListNode head, int m, int n) {
// 定义一个dummyHead, 方便处理
ListNode dummyHead = new ListNode(0);
dummyHead.next = head;
// 初始化指针
ListNode g = dummyHead;
ListNode p = dummyHead.next;
// 将指针移到相应的位置
for(int step = 0; step < m - 1; step++) {
g = g.next; p = p.next;
}
// 头插法插入节点
for (int i = 0; i < n - m; i++) {
ListNode removed = p.next;
p.next = p.next.next;
removed.next = g.next;
g.next = removed;
}
return dummyHead.next;
}
}
作者:mu-yi-cheng-zhou-2
链接:https://leetcode-cn.com/problems/reverse-linked-list-ii/solution/java-shuang-zhi-zhen-tou-cha-fa-by-mu-yi-cheng-zho/
来源:力扣(LeetCode)
著作权归作者所有。商业转载请联系作者获得授权,非商业转载请注明出处。

21. 合并两个有序链表
class Solution {
public ListNode mergeTwoLists(ListNode list1, ListNode list2) {
ListNode head=new ListNode();
ListNode cur=head;
while (list1!=null && list2!=null){
if(list1.val<=list2.val){
cur.next=list1;
cur=cur.next;
list1=list1.next;
}else {
cur.next=list2;
cur=cur.next;
list2=list2.next;
}
}
cur.next=(list1==null)?list2:list1;//可以采用三元运算符,代码更简洁
return head.next;
}
}

23. 合并K个升序链表(未做困难题)
class Solution {
public ListNode mergeKLists(ListNode[] lists) {
if (lists == null || lists.length == 0) return null;
PriorityQueue<ListNode> queue = new PriorityQueue<>(lists.length, new Comparator<ListNode>() {
@Override
public int compare(ListNode o1, ListNode o2) {
if (o1.val < o2.val) return -1;
else if (o1.val == o2.val) return 0;
else return 1;
}
});
ListNode dummy = new ListNode(0);
ListNode p = dummy;
for (ListNode node : lists) {
if (node != null) queue.add(node);
}
while (!queue.isEmpty()) {
p.next = queue.poll();
p = p.next;
if (p.next != null) queue.add(p.next);
}
return dummy.next;
}
}
作者:powcai
链接:https://leetcode-cn.com/problems/merge-k-sorted-lists/solution/leetcode-23-he-bing-kge-pai-xu-lian-biao-by-powcai/
来源:力扣(LeetCode)
著作权归作者所有。商业转载请联系作者获得授权,非商业转载请注明出处。

141. 环形链表
//判断是否有环
public class Solution {
public boolean hasCycle(ListNode head) {
ListNode quick=head;
ListNode slow=head;
while (quick!=null && quick.next!=null){
quick=quick.next.next;
slow=slow.next;
if(quick==slow)return true;
}
return false;
}
}
142. 环形链表 II
//环入口,给定一个链表,返回链表开始入环的第一个节点。 如果链表无环,则返回 null。
public class Solution {
public ListNode detectCycle(ListNode head) {
ListNode fast = head, slow = head;
while (true) {
if (fast == null || fast.next == null) return null;
fast = fast.next.next;
slow = slow.next;
if (fast == slow) break;
}
fast = head;
while (slow != fast) {
slow = slow.next;
fast = fast.next;
}
return fast;
}
}
作者:jyd
链接:https://leetcode-cn.com/problems/linked-list-cycle-ii/solution/linked-list-cycle-ii-kuai-man-zhi-zhen-shuang-zhi-/
来源:力扣(LeetCode)
著作权归作者所有。商业转载请联系作者获得授权,非商业转载请注明出处。

160. 相交链表
剑52. 两个链表的第一个公共节点
public class Solution {
public ListNode getIntersectionNode(ListNode headA, ListNode headB) {
ListNode A = headA, B = headB;
while (A != B) {
A = A != null ? A.next : headB;
B = B != null ? B.next : headA;
}
return A;
}
}
作者:jyd
链接:https://leetcode-cn.com/problems/liang-ge-lian-biao-de-di-yi-ge-gong-gong-jie-dian-lcof/solution/jian-zhi-offer-52-liang-ge-lian-biao-de-gcruu/
来源:力扣(LeetCode)
著作权归作者所有。商业转载请联系作者获得授权,非商业转载请注明出处。
146. LRU 缓存
请你设计并实现一个满足 LRU (最近最少使用) 缓存 约束的数据结构。
实现 LRUCache 类:
- LRUCache(int capacity) 以 正整数 作为容量 capacity 初始化 LRU 缓存
- int get(int key) 如果关键字 key 存在于缓存中,则返回关键字的值,否则返回 -1 。
- void put(int key, int value) 如果关键字 key 已经存在,则变更其数据值 value ;如果不存在,则向缓存中插入该组 key-value 。如果插入操作导致关键字数量超过 capacity ,则应该 逐出 最久未使用的关键字。
函数 get 和 put 必须以 O(1) 的平均时间复杂度运行。
//#### [146. LRU 缓存](https://leetcode-cn.com/problems/lru-cache/)
class LRUCache {
class Node{
int key;
int value;
Node pre;
Node post;
public Node(){}
public Node(int key,int value){
this.key=key;
this.value=value;
}
}
Map<Integer,Node> map=new HashMap<>();
int capacity;
int size;
Node head;
Node tail;
public LRUCache(int capacity) {
this.capacity=capacity;
this.size=0;
head=new Node();
tail=new Node();
head.post=tail;
tail.pre=head;
}
public int get(int key) {
Node node= map.get(key);
if(node==null){
return -1;
}else{
moveTohead(node);
return node.value;
}
}
public void put(int key, int value) {
Node node =map.get(key);
if(node==null){
Node newNode=new Node(key,value);
map.put(key,newNode);
addTohead(newNode);
size++;
if(size>capacity){
Node res=removeLast();
map.remove(res.key);
size--;
}
}else{
node.value=value;
moveTohead(node);
}
}
public void addTohead(Node node){
node.pre=head;
node.post=head.post;
head.post.pre=node;
head.post=node;
}
public void moveTohead(Node node){
removeNode(node);
addTohead(node);
}
public void removeNode(Node node){
node.pre.post=node.post;
node.post.pre=node.pre;
}
public Node removeLast(){
Node res=tail.pre;
removeNode(res);
return res;
}
}

83. 删除排序链表中的重复元素
class Solution {
public ListNode deleteDuplicates(ListNode head) {
ListNode cur = head;
while(cur != null && cur.next != null) {
if(cur.val == cur.next.val) {
cur.next = cur.next.next;
} else {
cur = cur.next;
}
}
return head;
}
}
作者:guanpengchn
链接:https://leetcode-cn.com/problems/remove-duplicates-from-sorted-list/solution/hua-jie-suan-fa-83-shan-chu-pai-xu-lian-biao-zhong/
来源:力扣(LeetCode)
著作权归作者所有。商业转载请联系作者获得授权,非商业转载请注明出处。
876. 链表的中间结点
class Solution {
public ListNode middleNode(ListNode head) {
ListNode pre=head,cur=head;
while (cur!=null && cur.next!=null){
cur=cur.next.next;
pre=pre.next;
}
return pre;
}
}
剑22. 链表中倒数第k个节点
class Solution {
public ListNode getKthFromEnd(ListNode head, int k) {
ListNode former = head, latter = head;
for(int i = 0; i < k; i++) {
if(former == null) return null;
former = former.next;
}
while(former != null) {
former = former.next;
latter = latter.next;
}
return latter;
}
}
作者:jyd
链接:https://leetcode-cn.com/problems/lian-biao-zhong-dao-shu-di-kge-jie-dian-lcof/solution/mian-shi-ti-22-lian-biao-zhong-dao-shu-di-kge-j-11/
来源:力扣(LeetCode)
著作权归作者所有。商业转载请联系作者获得授权,非商业转载请注明出处。

19. 删除链表的倒数第 N 个结点
class Solution {
public ListNode removeNthFromEnd(ListNode head, int n) {
ListNode node=new ListNode();
node.next=head;
ListNode pre=node,cur=node;
for (int i = 0; i < n; i++) {
cur=cur.next;
}
while (cur.next!=null){
cur=cur.next;
pre=pre.next;
}
pre.next=pre.next.next;
return node.next;
}
}

25. K 个一组翻转链表(未做困难题)
public ListNode reverseKGroup(ListNode head, int k) {
ListNode dummy = new ListNode(0);
dummy.next = head;
ListNode pre = dummy;
ListNode end = dummy;
while (end.next != null) {
for (int i = 0; i < k && end != null; i++) end = end.next;
if (end == null) break;
ListNode start = pre.next;
ListNode next = end.next;
end.next = null;
pre.next = reverse(start);
start.next = next;
pre = start;
end = pre;
}
return dummy.next;
}
private ListNode reverse(ListNode head) {
ListNode pre = null;
ListNode curr = head;
while (curr != null) {
ListNode next = curr.next;
curr.next = pre;
pre = curr;
curr = next;
}
return pre;
}
作者:reals
链接:https://leetcode-cn.com/problems/reverse-nodes-in-k-group/solution/tu-jie-kge-yi-zu-fan-zhuan-lian-biao-by-user7208t/
来源:力扣(LeetCode)
著作权归作者所有。商业转载请联系作者获得授权,非商业转载请注明出处。

递归解法
public ListNode reverseKGroup(ListNode head, int k) {
if (head == null || head.next == null) {
return head;
}
ListNode tail = head;
for (int i = 0; i < k; i++) {
//剩余数量小于k的话,则不需要反转。
if (tail == null) {
return head;
}
tail = tail.next;
}
// 反转前 k 个元素
ListNode newHead = reverse(head, tail);
//下一轮的开始的地方就是tail
head.next = reverseKGroup(tail, k);
return newHead;
}
/*
左闭又开区间
*/
private ListNode reverse(ListNode head, ListNode tail) {
ListNode pre = null;
ListNode next = null;
while (head != tail) {
next = head.next;
head.next = pre;
pre = head;
head = next;
}
return pre;
}
作者:reedfan
链接:https://leetcode-cn.com/problems/reverse-nodes-in-k-group/solution/di-gui-java-by-reedfan-2/
来源:力扣(LeetCode)
著作权归作者所有。商业转载请联系作者获得授权,非商业转载请注明出处。

24. 两两交换链表中的节点
递归解法
class Solution {
public ListNode swapPairs(ListNode head) {
if(head == null || head.next == null){
return head;
}
ListNode next = head.next;
head.next = swapPairs(next.next);
next.next = head;
return next;
}
}
作者:guanpengchn
链接:https://leetcode-cn.com/problems/swap-nodes-in-pairs/solution/hua-jie-suan-fa-24-liang-liang-jiao-huan-lian-biao/
来源:力扣(LeetCode)
著作权归作者所有。商业转载请联系作者获得授权,非商业转载请注明出处。
非递归
class Solution {
public ListNode swapPairs(ListNode head) {
ListNode pre = new ListNode(0);
pre.next = head;
ListNode temp = pre;
while(temp.next != null && temp.next.next != null) {
ListNode start = temp.next;
ListNode end = temp.next.next;
temp.next = end;
start.next = end.next;
end.next = start;
temp = start;
}
return pre.next;
}
}
作者:guanpengchn
链接:https://leetcode-cn.com/problems/swap-nodes-in-pairs/solution/hua-jie-suan-fa-24-liang-liang-jiao-huan-lian-biao/
来源:力扣(LeetCode)
著作权归作者所有。商业转载请联系作者获得授权,非商业转载请注明出处。

143. 重排链表
//1 -> 2 -> 3 -> 4 -> 5 -> 6
// 第一步,将链表平均分成两半
// 1 -> 2 -> 3
// 4 -> 5 -> 6
//
// 第二步,将第二个链表逆序
// 1 -> 2 -> 3
// 6 -> 5 -> 4
//
// 第三步,依次连接两个链表
// 1 -> 6 -> 2 -> 5 -> 3 ->
//大杂烩,链表中点+逆序+合并
public void reorderList(ListNode head) {
if (head == null || head.next == null || head.next.next == null) {
return;
}
//找中点,链表分成两个
ListNode slow = head;
ListNode fast = head;
while (fast.next != null && fast.next.next != null) {
slow = slow.next;
fast = fast.next.next;
}
ListNode newHead = slow.next;
slow.next = null;
//第二个链表倒置
newHead = reverseList(newHead);
//链表节点依次连接
while (newHead != null) {
ListNode temp = newHead.next;
newHead.next = head.next;
head.next = newHead;
head = newHead.next;
newHead = temp;
}
}
private ListNode reverseList(ListNode head) {
if (head == null) {
return null;
}
ListNode tail = head;
head = head.next;
tail.next = null;
while (head != null) {
ListNode temp = head.next;
head.next = tail;
tail = head;
head = temp;
}
return tail;
}
作者:windliang
链接:https://leetcode-cn.com/problems/reorder-list/solution/xiang-xi-tong-su-de-si-lu-fen-xi-duo-jie-fa-by-34/
来源:力扣(LeetCode)
著作权归作者所有。商业转载请联系作者获得授权,非商业转载请注明出处。

2. 两数相加
/**
* Definition for singly-linked list.
* public class ListNode {
* int val;
* ListNode next;
* ListNode(int x) { val = x; }
* }
*/
class Solution {
public ListNode addTwoNumbers(ListNode l1, ListNode l2) {
ListNode pre = new ListNode(0);
ListNode cur = pre;
int carry = 0;
while(l1 != null || l2 != null) {
int x = l1 == null ? 0 : l1.val;
int y = l2 == null ? 0 : l2.val;
int sum = x + y + carry;
carry = sum / 10;
sum = sum % 10;
cur.next = new ListNode(sum);
cur = cur.next;
if(l1 != null)
l1 = l1.next;
if(l2 != null)
l2 = l2.next;
}
if(carry == 1) {
cur.next = new ListNode(carry);
}
return pre.next;
}
}
作者:guanpengchn
链接:https://leetcode-cn.com/problems/add-two-numbers/solution/hua-jie-suan-fa-2-liang-shu-xiang-jia-by-guanpengc/
来源:力扣(LeetCode)
著作权归作者所有。商业转载请联系作者获得授权,非商业转载请注明出处。

148. 排序链表
解答一:归并排序(递归法)
class Solution {
public ListNode sortList(ListNode head) {
if (head == null || head.next == null)
return head;
ListNode fast = head.next, slow = head;
while (fast != null && fast.next != null) {
slow = slow.next;
fast = fast.next.next;
}
ListNode tmp = slow.next;
slow.next = null;
ListNode left = sortList(head);
ListNode right = sortList(tmp);
ListNode h = new ListNode(0);
ListNode res = h;
while (left != null && right != null) {
if (left.val < right.val) {
h.next = left;
left = left.next;
} else {
h.next = right;
right = right.next;
}
h = h.next;
}
h.next = left != null ? left : right;
return res.next;
}
}
作者:jyd
链接:https://leetcode-cn.com/problems/sort-list/solution/sort-list-gui-bing-pai-xu-lian-biao-by-jyd/
来源:力扣(LeetCode)
著作权归作者所有。商业转载请联系作者获得授权,非商业转载请注明出处。

234. 回文链表
public boolean isPalindrome(ListNode head) {
if(head == null || head.next == null) {
return true;
}
ListNode slow = head, fast = head;
ListNode pre = head, prepre = null;
while(fast != null && fast.next != null) {
pre = slow;
slow = slow.next;
fast = fast.next.next;
pre.next = prepre;
prepre = pre;
}
if(fast != null) {
slow = slow.next;
}
while(pre != null && slow != null) {
if(pre.val != slow.val) {
return false;
}
pre = pre.next;
slow = slow.next;
}
return true;
}
作者:nuan
链接:https://leetcode-cn.com/problems/palindrome-linked-list/solution/wo-de-kuai-man-zhi-zhen-du-cong-tou-kai-shi-gan-ju/
来源:力扣(LeetCode)
著作权归作者所有。商业转载请联系作者获得授权,非商业转载请注明出处。

字节跳动高频题——排序奇升偶降链表
import java.util.*;
/*
* public class ListNode {
* int val;
* ListNode next = null;
* public ListNode(int val) {
* this.val = val;
* }
* }
*/
public class Solution {
/**
* 代码中的类名、方法名、参数名已经指定,请勿修改,直接返回方法规定的值即可
*
*
* @param head ListNode类
* @return ListNode类
*/
public ListNode sortLinkedList (ListNode head) {
// write code here
if(head == null || head.next == null) return head;
// 先把奇数位链表和偶数位链表拆开
ListNode oddCur = head;
ListNode evenCur = oddCur.next;
ListNode oddHead = oddCur;
ListNode evenHead = evenCur;
while(evenCur != null){
oddCur.next = evenCur.next;
if(oddCur.next != null)
evenCur.next = oddCur.next.next;
oddCur = oddCur.next;
evenCur = evenCur.next;
}
// 然后把偶数位链表逆序
evenHead = reverseList(evenHead);
// 最后把两个升序的链表归并
return mergeList(oddHead, evenHead);
}
// 反转链表
private ListNode reverseList(ListNode head) {
if(head == null) return head;
ListNode prev = null;
ListNode cur = head;
while(cur != null){
ListNode next = cur.next;
cur.next = prev;
prev = cur;
cur = next;
}
return prev;
}
// 合并两个有序链表
private ListNode mergeList(ListNode head1, ListNode head2) {
ListNode dummy = new ListNode(-1);
ListNode cur = dummy;
while(head1 != null && head2 != null){
if(head1.val <= head2.val){
cur.next = head1;
head1 = head1.next;
}else{
cur.next = head2;
head2 = head2.next;
}
cur = cur.next;
}
while(head1 != null){
cur.next = head1;
head1 = head1.next;
cur = cur.next;
}
while(head2 != null){
cur.next = head2;
head2 = head2.next;
cur = cur.next;
}
return dummy.next;
}
}

61. 旋转链表
class Solution {
public ListNode rotateRight(ListNode head, int k) {
if(head == null|| k == 0) return head;
int n = 0; //链表的长度
ListNode tail = null; //尾节点
for(ListNode p = head; p != null ; p = p.next){
tail = p;
n++;
}
k %= n;
ListNode p = head;
for(int i = 0; i < n - k - 1; i++) p = p.next; //找到链表的第n-k个节点
tail.next = head;
head = p.next;
p.next = null;
return head; //返回新的头节点
}
}
作者:lin-shen-shi-jian-lu-k
链接:https://leetcode-cn.com/problems/rotate-list/solution/xuan-zhuan-lian-biao-tu-jie-lian-biao-zu-ku33/
来源:力扣(LeetCode)
著作权归作者所有。商业转载请联系作者获得授权,非商业转载请注明出处。

328. 奇偶链表
class Solution {
public ListNode oddEvenList(ListNode head) {
if (head == null) {
return head;
}
ListNode evenHead = head.next;
ListNode odd = head, even = evenHead;
while (even != null && even.next != null) {
odd.next = even.next;
odd = odd.next;
even.next = odd.next;
even = even.next;
}
odd.next = evenHead;
return head;
}
}
作者:LeetCode-Solution
链接:https://leetcode-cn.com/problems/odd-even-linked-list/solution/qi-ou-lian-biao-by-leetcode-solution/
来源:力扣(LeetCode)
著作权归作者所有。商业转载请联系作者获得授权,非商业转载请注明出处。

动态规划
509. 斐波那契数
斐波那契数 (通常用 F(n) 表示)形成的序列称为 斐波那契数列 。该数列由 0 和 1 开始,后面的每一项数字都是前面两项数字的和。也就是:
F(0) = 0,F(1) = 1
F(n) = F(n - 1) + F(n - 2),其中 n > 1
给定 n ,请计算 F(n) 。
输入:n = 2
输出:1
解释:F(2) = F(1) + F(0) = 1 + 0 = 1
动态规划自顶向下,使用记忆化数组减少重复的情况。
Class Solution{
int fib(int N) {
// 备忘录全初始化为 0
int[] memo = new int[N + 1];
// 进行带备忘录的递归
return helper(memo, N);
}
int helper(int[] memo, int n) {
// base case
if (n == 0 || n == 1) return n;
// 已经计算过,不用再计算了
if (memo[n] != 0) return memo[n];
memo[n] = helper(memo, n - 1) + helper(memo, n - 2);
return memo[n];
}
}
根据斐波那契数列的状态转移方程,当前状态只和之前的两个状态有关,其实并不需要那么长的一个 DP table 来存储所有的状态,只要想办法存储之前的两个状态就行了。所以,可以进一步优化,把空间复杂度降为 O(1): 这个技巧就是所谓的「状态压缩」 。
int fib(int n) {
if (n == 2 || n == 1)
return 1;
int prev = 1, curr = 1;
for (int i = 3; i <= n; i++) {
int sum = prev + curr;
prev = curr;
curr = sum;
}
return curr;
}
作者:labuladong
链接:https://leetcode-cn.com/problems/fibonacci-number/solution/dong-tai-gui-hua-tao-lu-xiang-jie-by-labuladong/
来源:力扣(LeetCode)
著作权归作者所有。商业转载请联系作者获得授权,非商业转载请注明出处。
70. 爬楼梯
和斐波那契数差不多,只是f(0)的值不同,一个是0,一个是1。
class Solution {
public int climbStairs(int n) {
int pre=1;
int cur=1;
for(int i=2;i<=n;i++){
int sum=pre+cur;
pre=cur;
cur=sum;
}
return cur;
}
}
746. 使用最小花费爬楼梯
给你一个整数数组 cost ,其中 cost[i] 是从楼梯第 i 个台阶向上爬需要支付的费用。一旦你支付此费用,即可选择向上爬一个或者两个台阶。
你可以选择从下标为 0 或下标为 1 的台阶开始爬楼梯。
请你计算并返回达到楼梯顶部的最低花费。
输入:cost = [10,15,20]
输出:15
解释:你将从下标为 1 的台阶开始。-支付 15 ,向上爬两个台阶,到达楼梯顶部。
总花费为 15 。
class Solution {
public int minCostClimbingStairs(int[] cost) {
int n = cost.length;
int[] dp = new int[n + 1];
dp[0] = dp[1] = 0;
for (int i = 2; i <= n; i++) {
dp[i] = Math.min(dp[i - 1] + cost[i - 1], dp[i - 2] + cost[i - 2]);
}
return dp[n];
}
}
作者:LeetCode-Solution
链接:https://leetcode-cn.com/problems/min-cost-climbing-stairs/solution/shi-yong-zui-xiao-hua-fei-pa-lou-ti-by-l-ncf8/
来源:力扣(LeetCode)
著作权归作者所有。商业转载请联系作者获得授权,非商业转载请注明出处。
上述代码的时间复杂度和空间复杂度都是 O(n)。注意到当i≥2 时,dp[i] 只和 dp[i−1] 与 dp[i−2] 有关,因此可以使用滚动数组的思想,将空间复杂度优化到 O(1)。
class Solution {
public int minCostClimbingStairs(int[] cost) {
int n = cost.length;
int prev = 0, curr = 0;
for (int i = 2; i <= n; i++) {
int next = Math.min(curr + cost[i - 1], prev + cost[i - 2]);
prev = curr;
curr = next;
}
return curr;
}
}
作者:LeetCode-Solution
链接:https://leetcode-cn.com/problems/min-cost-climbing-stairs/solution/shi-yong-zui-xiao-hua-fei-pa-lou-ti-by-l-ncf8/
来源:力扣(LeetCode)
著作权归作者所有。商业转载请联系作者获得授权,非商业转载请注明出处。
322. 零钱兑换
给你一个整数数组 coins ,表示不同面额的硬币;以及一个整数 amount ,表示总金额。
计算并返回可以凑成总金额所需的 最少的硬币个数 。如果没有任何一种硬币组合能组成总金额,返回 -1 。
你可以认为每种硬币的数量是无限的。
示例 1:
输入:coins = [1, 2, 5], amount = 11
输出:3
解释:11 = 5 + 5 + 1
class Solution {
int[] memo;
public int coinChange(int[] coins, int amount) {
memo = new int[amount + 1];
// dp 数组全都初始化为特殊值
Arrays.fill(memo, -666);
return dp(coins, amount);
}
int dp(int[] coins, int amount) {
if (amount == 0) return 0;
if (amount < 0) return -1;
// 查备忘录,防止重复计算
if (memo[amount] != -666)
return memo[amount];
int res = Integer.MAX_VALUE;
for (int coin : coins) {
// 计算子问题的结果
int subProblem = dp(coins, amount - coin);
// 子问题无解则跳过
if (subProblem == -1) continue;
// 在子问题中选择最优解,然后加一
res = Math.min(res, subProblem + 1);
}
// 把计算结果存入备忘录
memo[amount] = (res == Integer.MAX_VALUE) ? -1 : res;
return memo[amount];
}
}

300. 最长递增子序列
给你一个整数数组 nums ,找到其中最长严格递增子序列的长度。
子序列 是由数组派生而来的序列,删除(或不删除)数组中的元素而不改变其余元素的顺序。例如,[3,6,2,7] 是数组 [0,3,1,6,2,2,7] 的子序列。
示例 1:
输入:nums = [10,9,2,5,3,7,101,18]
输出:4
解释:最长递增子序列是 [2,3,7,101],因此长度为 4 。
动态规划+二分查找
- 时间复杂度 O(NlogN): 遍历 nums列表需 O(N),在每个 nums[i] 二分法需 O(logN)。
- 空间复杂度 O(N): tails列表占用线性大小额外空间。
// Dynamic programming + Dichotomy.
class Solution {
public int lengthOfLIS(int[] nums) {
int[] tails = new int[nums.length];
int res = 0;
for(int num : nums) {
int i = 0, j = res;
while(i < j) {
int m = (i + j) / 2;
if(tails[m] < num) i = m + 1;
else j = m;//找到小于等于num的,则j要向左变小,
}
tails[i] = num;
if(res == j) res++;//如果在tail数组中找到比num小的,说明j!=res,则res长度不变
//反之,没有找到的话,说明j没有变,j=res,则长度res++
}
return res;
}
}
作者:jyd
链接:https://leetcode-cn.com/problems/longest-increasing-subsequence/solution/zui-chang-shang-sheng-zi-xu-lie-dong-tai-gui-hua-2/
来源:力扣(LeetCode)
著作权归作者所有。商业转载请联系作者获得授权,非商业转载请注明出处。

53. 最大子数组和
给你一个整数数组 nums ,请你找出一个具有最大和的连续子数组(子数组最少包含一个元素),返回其最大和。
子数组 是数组中的一个连续部分。
示例 1:
输入:nums = [-2,1,-3,4,-1,2,1,-5,4]
输出:6
解释:连续子数组 [4,-1,2,1] 的和最大,为 6 。
- 动态规划的是首先对数组进行遍历,当前最大连续子序列和为 sum,结果为 ans
- 如果 sum > 0,则说明 sum 对结果有增益效果,则 sum 保留并加上当前遍历数字
- 如果 sum <= 0,则说明 sum 对结果无增益效果,需要舍弃,则 sum 直接更新为当前遍历数字
- 每次比较 sum 和 ans的大小,将最大值置为ans,遍历结束返回结果
- 时间复杂度:O(n)

class Solution {
public int maxSubArray(int[] nums) {
int ans = nums[0];
int sum = 0;
for(int num: nums) {
if(sum > 0) {
//如果 sum > 0,则说明 sum 对结果有增益效果,则 sum 保留并加上当前遍历数字
sum += num;
} else {
//如果 sum <= 0,则说明 sum 对结果无增益效果,需要舍弃,则 sum 直接更新为当前遍历数字
sum = num;
}
//每次比较 sum 和 ans的大小,将最大值置为ans,遍历结束返回结果
ans = Math.max(ans, sum);
}
return ans;
}
}
作者:guanpengchn
链接:https://leetcode-cn.com/problems/maximum-subarray/solution/hua-jie-suan-fa-53-zui-da-zi-xu-he-by-guanpengchn/
来源:力扣(LeetCode)
著作权归作者所有。商业转载请联系作者获得授权,非商业转载请注明出处。

198. 打家劫舍
你是一个专业的小偷,计划偷窃沿街的房屋。每间房内都藏有一定的现金,影响你偷窃的唯一制约因素就是相邻的房屋装有相互连通的防盗系统,如果两间相邻的房屋在同一晚上被小偷闯入,系统会自动报警。
给定一个代表每个房屋存放金额的非负整数数组,计算你 不触动警报装置的情况下 ,一夜之内能够偷窃到的最高金额。
示例 1:
输入:[1,2,3,1]
输出:4
解释:偷窃 1 号房屋 (金额 = 1) ,然后偷窃 3 号房屋 (金额 = 3)。
偷窃到的最高金额 = 1 + 3 = 4 。
- 标签:动态规划
- 动态规划方程:dp[n] = MAX( dp[n-1], dp[n-2] + num )
- 由于不可以在相邻的房屋闯入,所以在当前位置 n 房屋可盗窃的最大值,要么就是 n-1 房屋可盗窃的最大值,要么就是 n-2 房屋可盗窃的最大值加上当前房屋的值,二者之间取最大值
- 举例来说:1 号房间可盗窃最大值为 33 即为 dp[1]=3,2 号房间可盗窃最大值为 4 即为 dp[2]=4,3 号房间自身的值为 2 即为 num=2,那么 dp[3] = MAX( dp[2], dp[1] + num ) = MAX(4, 3+2) = 5,3 号房间可盗窃最大值为 55
- 时间复杂度:O(n),n 为数组长度
class Solution {
public int rob(int[] nums) {
int len = nums.length;
if(len == 0)
return 0;
int[] dp = new int[len + 1];
dp[0] = 0; //第0间房
dp[1] = nums[0]; //第1间房可盗窃的最大值
for(int i = 2; i <= len; i++) {
//所以在当前位置 i 房屋可盗窃的最大值,要么就是 i-1 房屋可盗窃的最大值,要么就是 i-2 房屋可盗窃的最大值加上当前房屋的值,二者之间取最大值.num[i-1]指的是第i间房的金额。
dp[i] = Math.max(dp[i-1], dp[i-2] + nums[i-1]);
}
return dp[len];
}
}
作者:guanpengchn
链接:https://leetcode-cn.com/problems/house-robber/solution/hua-jie-suan-fa-198-da-jia-jie-she-by-guanpengchn/
来源:力扣(LeetCode)
著作权归作者所有。商业转载请联系作者获得授权,非商业转载请注明出处。

//空间优化版本
class Solution {
public int rob(int[] nums) {
int len=nums.length;
int pre=0;
int cur=nums[0];
for(int i=1;i<len;i++){
int next=Math.max(pre+nums[i],cur);
pre=cur;
cur=next;
}
return cur;
}
}
作者:jyd
链接:https://leetcode-cn.com/problems/house-robber/solution/da-jia-jie-she-dong-tai-gui-hua-jie-gou-hua-si-lu-/
来源:力扣(LeetCode)
著作权归作者所有。商业转载请联系作者获得授权,非商业转载请注明出处。

213. 打家劫舍 II
在上道题基础上,这个地方所有的房屋都 围成一圈 , 如果两间相邻的房屋在同一晚上被小偷闯入,系统会自动报警 。
示例 1:
输入:nums = [2,3,2]
输出:3
解释:你不能先偷窃 1 号房屋(金额 = 2),然后偷窃 3 号房屋(金额 = 2), 因为他们是相邻的。
- 总体思路:
此题是 198. 打家劫舍 的拓展版: 唯一的区别是此题中的房间是环状排列的(即首尾相接),而 198.198. 题中的房间是单排排列的;而这也是此题的难点。 - 环状排列意味着第一个房子和最后一个房子中只能选择一个偷窃,因此可以把此环状排列房间问题约化为两个单排排列房间子问题:
- 在不偷窃第一个房子的情况下(即 nums[1:]),最大金额是 p1
- 在不偷窃最后一个房子的情况下(即 nums[:n-1],最大金额是p2
- 综合偷窃最大金额: 为以上两种情况的较大值,即 max(p1,p2)。
class Solution {
public int rob(int[] nums) {
if(nums.length == 0) return 0;
if(nums.length == 1) return nums[0];
return Math.max(myRob(Arrays.copyOfRange(nums, 0, nums.length - 1)),
myRob(Arrays.copyOfRange(nums, 1, nums.length)));
}
private int myRob(int[] nums) {
int pre = 0, cur = 0, tmp;
for(int num : nums) {
tmp = cur;
cur = Math.max(pre + num, cur);
pre = tmp;
}
return cur;
}
}
作者:jyd
链接:https://leetcode-cn.com/problems/house-robber-ii/solution/213-da-jia-jie-she-iidong-tai-gui-hua-jie-gou-hua-/
来源:力扣(LeetCode)
著作权归作者所有。商业转载请联系作者获得授权,非商业转载请注明出处。

121. 买卖股票的最佳时机
在题目中,我们只要用一个变量记录一个历史最低价格 minprice,我们就可以假设自己的股票是在那天买的。那么我们在第 i 天卖出股票能得到的利润就是 prices[i] - minprice。
给定一个数组 prices ,它的第 i 个元素 prices[i] 表示一支给定股票第 i 天的价格。
你只能选择 某一天 买入这只股票,并选择在 未来的某一个不同的日子 卖出该股票。设计一个算法来计算你所能获取的最大利润。
返回你可以从这笔交易中获取的最大利润。如果你不能获取任何利润,返回 0 。
示例 1:
输入:[7,1,5,3,6,4]
输出:5
解释:在第 2 天(股票价格 = 1)的时候买入,在第 5 天(股票价格 = 6)的时候卖出,最大利润 = 6-1 = 5 。
注意利润不能是 7-1 = 6, 因为卖出价格需要大于买入价格;同时,你不能在买入前卖出股票。

在题目中,我们只要用一个变量记录一个历史最低价格 minprice,我们就可以假设自己的股票是在那天买的。那么我们在第 i 天卖出股票能得到的利润就是 prices[i] - minprice。
因此,我们只需要遍历价格数组一遍,记录历史最低点,然后在每一天考虑这么一个问题:如果我是在历史最低点买进的,那么我今天卖出能赚多少钱?当考虑完所有天数之时,我们就得到了最好的答案。
public class Solution {
public int maxProfit(int prices[]) {
int minprice = Integer.MAX_VALUE;
int maxprofit = 0;
for (int i = 0; i < prices.length; i++) {
if (prices[i] < minprice) {
minprice = prices[i];
} else if (prices[i] - minprice > maxprofit) {
maxprofit = prices[i] - minprice;
}
}
return maxprofit;
}
}
作者:LeetCode-Solution
链接:https://leetcode-cn.com/problems/best-time-to-buy-and-sell-stock/solution/121-mai-mai-gu-piao-de-zui-jia-shi-ji-by-leetcode-/
来源:力扣(LeetCode)
著作权归作者所有。商业转载请联系作者获得授权,非商业转载请注明出处。

5. 最长回文子串
public String longestPalindrome(String s) {
if (s == null || s.length() < 1) return "";
int start = 0, end = 0;
for (int i = 0; i < s.length(); i++) {
// 以 s[i] 为中心的最长回文子串
int len1 = expandAroundCenter(s, i, i);
// 以 s[i] 和 s[i+1] 为中心的最长回文子串
int len2 = expandAroundCenter(s, i, i + 1);
int len = Math.max(len1, len2);
if (len > end - start) {
start = i - (len - 1) / 2;
end = i + len / 2;
}
}
return s.substring(start, end + 1);
}
private int expandAroundCenter(String s, int L, int R) {
// 防止索引越界
while (L >= 0 && R < s.length() && s.charAt(L) == s.charAt(R)) {
// 向两边展开
L--;
R++;
}
return R - L - 1;
}
作者:windliang
链接:https://leetcode-cn.com/problems/longest-palindromic-substring/solution/xiang-xi-tong-su-de-si-lu-fen-xi-duo-jie-fa-bao-gu/
来源:力扣(LeetCode)
著作权归作者所有。商业转载请联系作者获得授权,非商业转载请注明出处。

64. 最小路径和
给定一个包含非负整数的 *m* x *n* 网格 grid ,请找出一条从左上角到右下角的路径,使得路径上的数字总和为最小。
说明:每次只能向下或者向右移动一步。

输入:grid = [[1,3,1],[1,5,1],[4,2,1]]
输出:7
解释:因为路径 1→3→1→1→1 的总和最小。
基本思路
一般来说,让你在二维矩阵中求最优化问题(最大值或者最小值),肯定需要递归 + 备忘录,也就是动态规划技巧。
dp函数的定义:从左上角位置(0, 0)走到位置(i, j)的最小路径和为dp(grid, i, j)。这样,
dp(grid, i, j)的值由dp(grid, i - 1, j)和dp(grid, i, j - 1)的值转移而来:所以最右下角的值dp(grid,m-1,n-1)的值应该就是依次递归上一层再比较出来的。
class Solution {
int[][] memo;
public int minPathSum(int[][] grid) {
int m = grid.length;
int n = grid[0].length;
// 构造备忘录,初始值全部设为 -1
memo = new int[m][n];
for (int[] row : memo)
Arrays.fill(row, -1);
return dp(grid, m - 1, n - 1);
}
int dp(int[][] grid, int i, int j) {
// base case
if (i == 0 && j == 0) {
return grid[0][0];
}
if (i < 0 || j < 0) {
return Integer.MAX_VALUE;
}
// 避免重复计算
if (memo[i][j] != -1) {
return memo[i][j];
}
// 将计算结果记入备忘录
memo[i][j] = Math.min(
dp(grid, i - 1, j),
dp(grid, i, j - 1)
) + grid[i][j];
return memo[i][j];
}
}

152. 乘积最大子数组
给你一个整数数组 nums ,请你找出数组中乘积最大的非空连续子数组(该子数组中至少包含一个数字),并返回该子数组所对应的乘积。
测试用例的答案是一个 32-位 整数。
子数组 是数组的连续子序列。
示例 1:
输入: nums = [2,3,-2,4]
输出: 6
解释: 子数组 [2,3] 有最大乘积 6。
示例 2:
输入: nums = [-2,0,-1]
输出: 0
解释: 结果不能为 2, 因为 [-2,-1] 不是子数组。
class Solution {
public int maxProduct(int[] nums) {
int max = Integer.MIN_VALUE, imax = 1, imin = 1;
//遍历数组时计算当前最大值,不断更新
for(int i=0; i<nums.length; i++){
//当负数出现时则imax与imin进行交换再进行下一步计算
if(nums[i] < 0){
int tmp = imax;
imax = imin;
imin = tmp;
}
imax = Math.max(imax*nums[i], nums[i]);//令imax为当前最大值
imin = Math.min(imin*nums[i], nums[i]);//由于存在负数,那么会导致最大的变最小的,最小的变最大的。因此还需要维护当前最小值imin
max = Math.max(max, imax);
}
return max;
}
}
作者:guanpengchn
链接:https://leetcode-cn.com/problems/maximum-product-subarray/solution/hua-jie-suan-fa-152-cheng-ji-zui-da-zi-xu-lie-by-g/
来源:力扣(LeetCode)
著作权归作者所有。商业转载请联系作者获得授权,非商业转载请注明出处。

1143. 最长公共子序列
给定两个字符串 text1 和 text2,返回这两个字符串的最长 公共子序列 的长度。如果不存在 公共子序列 ,返回 0 。
一个字符串的 子序列 是指这样一个新的字符串:它是由原字符串在不改变字符的相对顺序的情况下删除某些字符(也可以不删除任何字符)后组成的新字符串。
例如,"ace" 是 "abcde" 的子序列,但 "aec" 不是 "abcde" 的子序列。
两个字符串的 公共子序列 是这两个字符串所共同拥有的子序列。
示例 1:
输入:text1 = "abcde", text2 = "ace"
输出:3
解释:最长公共子序列是 "ace" ,它的长度为 3 。
- 确定dp数组(dp table)以及下标的含义
dp[i][j]:长度为[0, i - 1]的字符串text1与长度为[0, j - 1]的字符串text2的最长公共子序列为dp[i][j]
2.确定递推公式
主要就是两大情况: text1[i - 1] 与 text2[j - 1]相同,text1[i - 1] 与 text2[j - 1]不相同
如果text1[i - 1] 与 text2[j - 1]相同,那么找到了一个公共元素,所以dp[i][j] = dp[i - 1][j - 1] + 1;
如果text1[i - 1] 与 text2[j - 1]不相同,那就看看text1[0, i - 2]与text2[0, j - 1]的最长公共子序列 和 text1[0, i - 1]与text2[0, j - 2]的最长公共子序列,取最大的。
即:dp[i][j] = max(dp[i - 1][j], dp[i][j - 1]);
class Solution {
public int longestCommonSubsequence(String s1, String s2) {
int m = s1.length(), n = s2.length();
// 定义:s1[0..i-1] 和 s2[0..j-1] 的 lcs 长度为 dp[i][j]
int[][] dp = new int[m + 1][n + 1];
// 目标:s1[0..m-1] 和 s2[0..n-1] 的 lcs 长度,即 dp[m][n]
// base case: dp[0][..] = dp[..][0] = 0
for (int i = 1; i <= m; i++) {
for (int j = 1; j <= n; j++) {
// 现在 i 和 j 从 1 开始,所以要减一
if (s1.charAt(i - 1) == s2.charAt(j - 1)) {
// s1[i-1] 和 s2[j-1] 必然在 lcs 中
dp[i][j] = 1 + dp[i - 1][j - 1];
} else {
// s1[i-1] 和 s2[j-1] 至少有一个不在 lcs 中
dp[i][j] = Math.max(dp[i][j - 1], dp[i - 1][j]);
}
}
}
return dp[m][n];
}
}

72. 编辑距离
给你两个单词 word1 和 word2, 请返回将 word1 转换成 word2 所使用的最少操作数 。
你可以对一个单词进行如下三种操作:
插入一个字符
删除一个字符
替换一个字符
示例 1:
输入:word1 = "horse", word2 = "ros"
输出:3
解释:
horse -> rorse (将 'h' 替换为 'r')
rorse -> rose (删除 'r')
rose -> ros (删除 'e')
示例 2:
输入:word1 = "intention", word2 = "execution"
输出:5
解释:
intention -> inention (删除 't')
inention -> enention (将 'i' 替换为 'e')
enention -> exention (将 'n' 替换为 'x')
exention -> exection (将 'n' 替换为 'c')
exection -> execution (插入 'u')
来源:力扣(LeetCode)
链接:https://leetcode-cn.com/problems/edit-distance
著作权归领扣网络所有。商业转载请联系官方授权,非商业转载请注明出处。
解决两个字符串的动态规划问题,一般都是用两个指针 i, j 分别指向两个字符串的最后,然后一步步往前走,缩小问题的规模。
对于每对儿字符 s1[i] 和 s2[j],可以有四种操作:
if s1[i] == s2[j]:
啥都别做(skip)
i, j 同时向前移动
else:
三选一:
插入(insert)
删除(delete)
替换(replace)
那么「状态」就是指针 i, j 的位置,「选择」就是上述的四种操作。
如果使用自底向上的迭代解法,这样定义 dp 数组:dp[i-1][j-1] 存储 s1[0..i] 和 s2[0..j] 的最小编辑距离 。dp 数组索引至少是 0,所以索引会偏移一位。
然后把上述四种选择用 dp 函数表示出来,就可以得出最后答案了。
class Solution {
public int minDistance(String s1, String s2) {
int m = s1.length(), n = s2.length();
int[][] dp = new int[m + 1][n + 1];
// base case
for (int i = 1; i <= m; i++)
dp[i][0] = i;
for (int j = 1; j <= n; j++)
dp[0][j] = j;
// 自底向上求解
for (int i = 1; i <= m; i++)
for (int j = 1; j <= n; j++)
if (s1.charAt(i - 1) == s2.charAt(j - 1))
dp[i][j] = dp[i - 1][j - 1];
else
dp[i][j] = min(
dp[i - 1][j] + 1,
dp[i][j - 1] + 1,
dp[i - 1][j - 1] + 1
);
// 储存着整个 s1 和 s2 的最小编辑距离
return dp[m][n];
}
int min(int a, int b, int c) {
return Math.min(a, Math.min(b, c));
}
}

DFS(深度优先)
200. 岛屿数量
给你一个由 '1'(陆地)和 '0'(水)组成的的二维网格,请你计算网格中岛屿的数量。
岛屿总是被水包围,并且每座岛屿只能由水平方向和/或竖直方向上相邻的陆地连接形成。
此外,你可以假设该网格的四条边均被水包围。
示例 1:
输入:grid = [
["1","1","1","1","0"],
["1","1","0","1","0"],
["1","1","0","0","0"],
["0","0","0","0","0"]
]
输出:1
示例 2:
输入:grid = [
["1","1","0","0","0"],
["1","1","0","0","0"],
["0","0","1","0","0"],
["0","0","0","1","1"]
]
输出:3
class Solution {
public int numIslands(char[][] grid) {
int count = 0;
for(int i = 0; i < grid.length; i++) {
for(int j = 0; j < grid[0].length; j++) {
if(grid[i][j] == '1'){
dfs(grid, i, j);
count++;
}
}
}
return count;
}
private void dfs(char[][] grid, int i, int j){
//坐标不合法,或者坐标所在的地方已遍历过或者为水域区,直接返回
if(i < 0 || j < 0 || i >= grid.length || j >= grid[0].length || grid[i][j] == '0') return;
grid[i][j] = '0';//将已经遍历过得岛屿标记为“已遍历”
dfs(grid, i + 1, j);
dfs(grid, i, j + 1);
dfs(grid, i - 1, j);
dfs(grid, i, j - 1);
}
}
作者:jyd
链接:https://leetcode-cn.com/problems/number-of-islands/solution/number-of-islands-shen-du-you-xian-bian-li-dfs-or-/
来源:力扣(LeetCode)
著作权归作者所有。商业转载请联系作者获得授权,非商业转载请注明出处。

463. 岛屿的周长
只有一个岛屿

输入:grid = [[0,1,0,0],[1,1,1,0],[0,1,0,0],[1,1,0,0]]
输出:16
解释:它的周长是上面图片中的 16 个黄色的边
695. 岛屿的最大面积
示例 1:
输入:grid =
[[0,0,1,0,0,0,0,1,0,0,0,0,0],
[0,0,0,0,0,0,0,1,1,1,0,0,0],
[0,1,1,0,1,0,0,0,0,0,0,0,0],
[0,1,0,0,1,1,0,0,1,0,1,0,0],
[0,1,0,0,1,1,0,0,1,1,1,0,0],
[0,0,0,0,0,0,0,0,0,0,1,0,0],
[0,0,0,0,0,0,0,1,1,1,0,0,0],
[0,0,0,0,0,0,0,1,1,0,0,0,0]]
输出:6
解释:答案不应该是 11 ,因为岛屿只能包含水平或垂直这四个方向上的 1 。
示例 2:
输入:grid = [[0,0,0,0,0,0,0,0]]
输出:0
class Solution {
public int maxAreaOfIsland(int[][] grid) {
int res = 0;
for (int i = 0; i < grid.length; i++) {
for (int j = 0; j < grid[i].length; j++) {
if (grid[i][j] == 1) {
res = Math.max(res, dfs(i, j, grid));
}
}
}
return res;
}
// 每次调用的时候默认num为1,进入后判断如果不是岛屿,则直接返回0,就可以避免预防错误的情况。
// 每次找到岛屿,则直接把找到的岛屿改成0,这是传说中的沉岛思想,就是遇到岛屿就把他和周围的全部沉默。
// ps:如果能用沉岛思想,那么自然可以用朋友圈思想。有兴趣的朋友可以去尝试。
private int dfs(int i, int j, int[][] grid) {
if (i < 0 || j < 0 || i >= grid.length || j >= grid[i].length || grid[i][j] == 0) {
return 0;
}
grid[i][j] = 0;
int num = 1;
num += dfs(i + 1, j, grid);
num += dfs(i - 1, j, grid);
num += dfs(i, j + 1, grid);
num += dfs(i, j - 1, grid);
return num;
}
}
作者:mark-42
链接:https://leetcode-cn.com/problems/max-area-of-island/solution/biao-zhun-javadong-tai-gui-hua-jie-fa-100-by-mark-/
来源:力扣(LeetCode)
著作权归作者所有。商业转载请联系作者获得授权,非商业转载请注明出处。

124. 二叉树中的最大路径和

class Solution {
int maxSum = Integer.MIN_VALUE;
public int maxPathSum(TreeNode root) {
maxGain(root);
return maxSum;
}
public int maxGain(TreeNode node) {
if (node == null) {
return 0;
}
// 递归计算左右子节点的最大贡献值
// 只有在最大贡献值大于 0 时,才会选取对应子节点
int leftGain = Math.max(maxGain(node.left), 0);
int rightGain = Math.max(maxGain(node.right), 0);
// 节点的最大路径和取决于该节点的值与该节点的左右子节点的最大贡献值
int priceNewpath = node.val + leftGain + rightGain;
// 更新答案
maxSum = Math.max(maxSum, priceNewpath);
// 返回节点的最大贡献值
return node.val + Math.max(leftGain, rightGain);
}
}
作者:LeetCode-Solution
链接:https://leetcode-cn.com/problems/binary-tree-maximum-path-sum/solution/er-cha-shu-zhong-de-zui-da-lu-jing-he-by-leetcode-/
来源:力扣(LeetCode)
著作权归作者所有。商业转载请联系作者获得授权,非商业转载请注明出处。

105. 从前序与中序遍历序列构造二叉树
KMP算法
力扣28
贪心算法
435. 无重叠区间
给定一个区间的集合 intervals ,其中 intervals[i] = [starti, endi] 。返回 需要移除区间的最小数量,使剩余区间互不重叠 。
示例 1:
输入: intervals = [[1,2],[2,3],[3,4],[1,3]]
输出: 1
解释: 移除 [1,3] 后,剩下的区间没有重叠。
示例 2:
输入: intervals = [ [1,2], [1,2], [1,2] ]
输出: 2
解释: 你需要移除两个 [1,2] 来使剩下的区间没有重叠。
示例 3:
输入: intervals = [ [1,2], [2,3] ]
输出: 0
解释: 你不需要移除任何区间,因为它们已经是无重叠的了。
class Solution {
public int eraseOverlapIntervals(int[][] intervals) {
if (intervals.length == 0) {
return 0;
}
//按照右端点排序
Arrays.sort(intervals, new Comparator<int[]>() {
public int compare(int[] interval1, int[] interval2) {
return interval1[1] - interval2[1];
}
});
int n = intervals.length;
int right = intervals[0][1];
int ans = 1;
//依次遍历,当前数组的左端点如果比前一个的右端点大,则说明没有重叠,并且因为是右边数组右端点最小的,所以选择留下当前数组
for (int i = 1; i < n; ++i) {
if (intervals[i][0] >= right) {
++ans;
right = intervals[i][1];
}
//否则有重叠,直接抛弃,看下一个。
}
//
return n - ans;
}
}
作者:LeetCode-Solution
链接:https://leetcode.cn/problems/non-overlapping-intervals/solution/wu-zhong-die-qu-jian-by-leetcode-solutio-cpsb/
来源:力扣(LeetCode)
著作权归作者所有。商业转载请联系作者获得授权,非商业转载请注明出处。

452. 用最少数量的箭引爆气球
跟上一道题差不多,
将返回值改一下,改成返回ans
1353. 最多可以参加的会议数目
难度中等211
给你一个数组 events,其中 events[i] = [startDayi, endDayi] ,表示会议 i 开始于 startDayi ,结束于 endDayi 。
你可以在满足 startDayi <= d <= endDayi 中的任意一天 d 参加会议 i 。注意,一天只能参加一个会议。
请你返回你可以参加的 最大 会议数目。
示例 1:

输入:events = [[1,2],[2,3],[3,4]]
输出:3
解释:你可以参加所有的三个会议。
安排会议的一种方案如上图。
第 1 天参加第一个会议。
第 2 天参加第二个会议。
第 3 天参加第三个会议。
示例 2:
输入:events= [[1,2],[2,3],[3,4],[1,2]]
输出:4
第 1 天参加第一个会议。
第 2 天参加第四个会议。
第 3 天参加第二个会议。
第 4 天参加第三个会议。
class Solution {
//在所有可参加的会议中,选择结束时间最早的会议是最优的,因为其他会议还有更多的机会可以去参加。
//可以使用一个小根堆记录所有当前可参加会议的结束时间。在每一个时间点,我们首先将当前时间点开始的会议加入小根堆,再把当前已经结束的会议移除出小根堆(因为已经无法参加了),然后从剩下的会议中选择一个结束时间最早的去参加。为了快速获得当前时间点开始的会议,我们以O(N)时间预处理得到每个时间点开始的会议的序号。
public int maxEvents(int[][] events) {
Arrays.sort(events, (a,b)->a[0]-b[0]);
PriorityQueue<int[]> pq = new PriorityQueue<>((a,b)->a[1]-b[1]);
int len = events.length;
int day = 1;
int i = 0;
int ans = 0;
while(i < len || !pq.isEmpty()){
//获取当天开始的会议,并加入到最小堆中
while(i < len && events[i][0] == day){
int[] event = events[i];
pq.add(event);
i++;
}
//当天没有会议可参加
if(pq.isEmpty()){
day++;
continue;
}
//移除掉已经过期的会议,
while(!pq.isEmpty() && pq.peek()[1] < day){
pq.poll();
}
//从可以参加当天会议中选出结束时间最短的会议,弹出
if(!pq.isEmpty()){
pq.poll();
ans++;
}
day++;
}
return ans;
}
}
作者:mou-zi-ming-z
链接:https://leetcode.cn/problems/maximum-number-of-events-that-can-be-attended/solution/java-tan-xin-dui-by-mou-zi-ming-z-ti3b/
来源:力扣(LeetCode)
著作权归作者所有。商业转载请联系作者获得授权,非商业转载请注明出处。

并查集
399. 除法求值
给你一个变量对数组 equations 和一个实数值数组 values 作为已知条件,其中 equations[i] = [Ai, Bi] 和 values[i] 共同表示等式 Ai / Bi = values[i] 。每个 Ai 或 Bi 是一个表示单个变量的字符串。
另有一些以数组 queries 表示的问题,其中 queries[j] = [Cj, Dj] 表示第 j 个问题,请你根据已知条件找出 Cj / Dj = ? 的结果作为答案。
返回 所有问题的答案 。如果存在某个无法确定的答案,则用 -1.0 替代这个答案。如果问题中出现了给定的已知条件中没有出现的字符串,也需要用 -1.0 替代这个答案。
注意:输入总是有效的。你可以假设除法运算中不会出现除数为 0 的情况,且不存在任何矛盾的结果。
示例 1:
输入:equations = [["a","b"],["b","c"]], values = [2.0,3.0], queries = [["a","c"],["b","a"],["a","e"],["a","a"],["x","x"]]
输出:[6.00000,0.50000,-1.00000,1.00000,-1.00000]
解释:
条件:a / b = 2.0, b / c = 3.0
问题:a / c = ?, b / a = ?, a / e = ?, a / a = ?, x / x = ?
结果:[6.0, 0.5, -1.0, 1.0, -1.0 ]
1135. 最低成本联通所有城市
想象一下你是个城市基建规划者,地图上有 n 座城市,它们按以 1 到 n 的次序编号。
给你整数 n 和一个数组 conections,其中 connections[i] = [xi, yi, costi] 表示将城市 xi 和城市 yi 连接所要的costi(连接是双向的)。
返回连接所有城市的最低成本,每对城市之间至少有一条路径。如果无法连接所有 n 个城市,返回 -1
该 最小成本 应该是所用全部连接成本的总和。

输入:n = 3, conections = [[1,2,5],[1,3,6],[2,3,1]]
输出:6
解释:选出任意 2 条边都可以连接所有城市,我们从中选取成本最小的 2 条。
class Solution {
public int minimumCost(int n, int[][] connections) {
// 城市编号为 1...n,所以初始化大小为 n + 1
UF uf = new UF(n + 1);
// 对所有边按照权重从小到大排序
Arrays.sort(connections, (a, b) -> (a[2] - b[2]));
// 记录最小生成树的权重之和
int mst = 0;
for (int[] edge : connections) {
int u = edge[0];
int v = edge[1];
int weight = edge[2];
// 若这条边会产生环,则不能加入 mst
if (uf.connected(u, v)) {
continue;
}
// 若这条边不会产生环,则属于最小生成树
mst += weight;
uf.union(u, v);
}
// 保证所有节点都被连通
// 按理说 uf.count() == 1 说明所有节点被连通
// 但因为节点 0 没有被使用,所以 0 会额外占用一个连通分量
return uf.count() == 2 ? mst : -1;
}
class UF {
// 连通分量个数
private int count;
// 存储一棵树
private int[] parent;
// 记录树的「重量」
private int[] size;
// n 为图中节点的个数
public UF(int n) {
this.count = n;
parent = new int[n];
size = new int[n];
for (int i = 0; i < n; i++) {
parent[i] = i;
size[i] = 1;
}
}
// 将节点 p 和节点 q 连通
public void union(int p, int q) {
int rootP = find(p);
int rootQ = find(q);
if (rootP == rootQ)
return;
// 小树接到大树下面,较平衡
if (size[rootP] > size[rootQ]) {
parent[rootQ] = rootP;
size[rootP] += size[rootQ];
} else {
parent[rootP] = rootQ;
size[rootQ] += size[rootP];
}
// 两个连通分量合并成一个连通分量
count--;
}
// 判断节点 p 和节点 q 是否连通
public boolean connected(int p, int q) {
int rootP = find(p);
int rootQ = find(q);
return rootP == rootQ;
}
// 返回节点 x 的连通分量根节点
private int find(int x) {
while (parent[x] != x) {
// 进行路径压缩
parent[x] = parent[parent[x]];
x = parent[x];
}
return x;
}
// 返回图中的连通分量个数
public int count() {
return count;
}
}
}

图
位运算

191. 位1的个数
编写一个函数,输入是一个无符号整数(以二进制串的形式),返回其二进制表达式中数字位数为 '1' 的个数(也被称为汉明重量)。
输入:00000000000000000000000000001011
输出:3
解释:输入的二进制串 00000000000000000000000000001011 中,共有三位为 '1'。
思路:
n & (n - 1),这个代码可以把 n 的二进制中,最后一个出现的 1 改写成 0。如:n=6, 6 & (6-1) = 4, 6 = 110 5=101 n=4 = 100 cnt+=1; cnt=1;
运算结果 4 即为把 6的二进制位中的最低位的 1 变为 0 之后的结果。
n=4 4&(4-1)= 0 100 &011=000 cnt+=1; cnt=2;
这样我们可以利用这个位运算的性质加速我们的检查过程,在实际代码中,我们不断让当前的 n与 n - 1 做与运算,直到 n 变为 0 即可。因为每次运算会使得 n 的最低位的 1 被翻转,因此运算次数就等于 n 的二进制位中 11 的个数。
public class Solution {
// you need to treat n as an unsigned value
public int hammingWeight(int n) {
int res = 0;
while (n != 0) {
res += 1;
n &= n - 1;
}
return res;
}
}
作者:fuxuemingzhu
链接:https://leetcode-cn.com/problems/number-of-1-bits/solution/fu-xue-ming-zhu-xiang-jie-wei-yun-suan-f-ci7i/
来源:力扣(LeetCode)
著作权归作者所有。商业转载请联系作者获得授权,非商业转载请注明出处。
461. 汉明距离
排序
排序方法比较
快速排序(nlogn-不稳定)
快速排序的基本思想是:通过一趟排序将要排序的数据分割成独立的两部分,其中一部分的所有数据都比另外一部分的所有数据都要小,然后再按此方法对这两部分数据分别进行快速排序,整个排序过程可以递归进行,以此达到整个数据变成有序序列
- 从数列中挑出一个元素,称为"基准"(pivot)。
- 重新排序数列,所有比基准值小的元素摆放在基准前面,所有比基准值大的元素摆在基准后面(相同的数可以到任何一边)。在这个分区结束之后,该基准就处于数列的中间位置。这个称为分区(partition)操作。
- 递归地(recursively)把小于基准值元素的子数列和大于基准值元素的子数列排序。
import java.util.Random;
//快速排序
public class Solution {
pivate static final Random RANDOM = new Random();
public int[] sortArray(int[] nums) {
int len = nums.length;
quickSort(nums, 0, len - 1);
return nums;
}
private void quickSort(int[] nums, int left, int right) {
int pIndex = partition(nums, left, right);//先分区
quickSort(nums, left, pIndex - 1);//再同样的方法处理左边的
quickSort(nums, pIndex + 1, right);//再同样的方法处理右边的
}
//重新排列数组[left,right]区间的数,让选一个基准值,让基准值左边都比它小,右边都比它大
private int partition(int[] nums, int left, int right) {
int randomIndex = RANDOM.nextInt(right - left + 1) + left;
swap(nums, left, randomIndex);
int pivot = nums[left];
int lt = left;
for (int i = left + 1; i <= right; i++) {
if (nums[i] < pivot) {
lt++;
swap(nums, i, lt);
}
}
swap(nums, left, lt);
return lt;
}
private void swap(int[] nums, int index1, int index2) {
int temp = nums[index1];
nums[index1] = nums[index2];
nums[index2] = temp;
}
}

堆排序(nlogn-不稳定)
算法思想:
将待排序序列构造成一个大顶堆,此时,整个序列的最大值就是堆顶的根节点。将其与末尾元素进行交换,此时末尾就为最大值。然后将剩余n-1个元素重新构造成一个堆,这样会得到n个元素的次小值。如此反复执行,便能得到一个有序序列了
算法步骤:
a.将无需序列构建成一个堆,根据升序降序需求选择大顶堆或小顶堆;
b.将堆顶元素与末尾元素交换,将最大元素"沉"到数组末端;
c.重新调整结构,使其满足堆定义,然后继续交换堆顶元素与当前末尾元素,反复执行调整+交换步骤,直到整个序列有序。

class Solution {
//堆排序
public int[] sortArray(int[] nums) {
int len = nums.length;
heapSort(nums);
return nums;
}
public void heapSort(int[] nums){
//1.构建大顶堆
for (int i = (nums.length-1)/2; i >=0 ; i--) {
//从第一个非叶子结点从下至上,从右至左调整结构
adjustHeap(nums,i,nums.length);
}
//2.排序(将堆顶最大的元素放在数组最后一个位置=交换堆顶元素与末尾元素)
//交换了之后,又要按照相同的方式进行调整成最大堆。再重复此步骤。
for (int i = nums.length-1; i>0;i--) {
swap(nums,0,i);
adjustHeap(nums,0,i);
}
}
//调整大顶堆(仅是调整过程,建立在大顶堆已构建的基础上)
public void adjustHeap(int[] nums,int i,int length){
int temp=nums[i];//先取出当前元素i
for (int k = i*2+1; k < length; k=2*k+1) {//从i结点的左子结点开始,也就是2i+1处开始
if(k+1<length && nums[k]<nums[k+1]){//如果左子结点小于右子结点,k指向右子结点
k++;
}
if(temp<nums[k]){//如果子节点大于父节点,将子节点值赋给父节点(不用进行交换)
nums[i]=nums[k];
i=k;
}else {
break;
}
}
nums[i]=temp;//将temp值放到最终的位置
}
public void swap(int[] nums,int i,int j){
int temp=nums[i];
nums[i]=nums[j];
nums[j]=temp;
}
}

归并排序(nlogn-稳定)
归并排序(MERGE-SORT)是利用归并的思想实现的排序方法,该算法采用经典的分治(divide-and-conquer)策略(分治法将问题分(divide)成一些小的问题然后递归求解,而治(conquer)的阶段则将分的阶段得到的各答案"修补"在一起,即分而治之)。

public class Solution {
// 归并排序
public int[] sortArray(int[] nums) {
int len = nums.length;
int[] temp = new int[len];
mergeSort(nums, 0, len - 1, temp);
return nums;
}
private void mergeSort(int[] nums, int left, int right, int[] temp) {
if(left>=right){
return;
}
int mid = left + (right - left) / 2;
// Java 里有更优的写法,在 left 和 right 都是大整数时,即使溢出,结论依然正确
// int mid = (left + right) >>> 1;
mergeSort(nums, left, mid, temp);
mergeSort(nums, mid + 1, right, temp);
// 如果数组的这个子区间本身有序,无需合并
if (nums[mid] <= nums[mid + 1]) {
return;
}
mergeOfTwoSortedArray(nums, left, mid, right, temp);
}
private void mergeOfTwoSortedArray(int[] nums, int left, int mid, int right, int[] temp) {
System.arraycopy(nums, left, temp, left, right + 1 - left);
int i = left;
int j = mid + 1;
for (int k = left; k <= right; k++) {
if (i == mid + 1) {
nums[k] = temp[j];
j++;
} else if (j == right + 1) {
nums[k] = temp[i];
i++;
} else if (temp[i] <= temp[j]) {
// 注意写成 < 就丢失了稳定性(相同元素原来靠前的排序以后依然靠前)
nums[k] = temp[i];
i++;
} else {
// temp[i] > temp[j]
nums[k] = temp[j];
j++;
}
}
}
}
作者:liweiwei1419
链接:https://leetcode-cn.com/problems/sort-an-array/solution/fu-xi-ji-chu-pai-xu-suan-fa-java-by-liweiwei1419/
来源:力扣(LeetCode)
著作权归作者所有。商业转载请联系作者获得授权,非商业转载请注明出处。

215. 数组中的第K个最大元素
进阶(自己构建堆实现)
//基于快速排序-[215. 数组中的第K个最大元素]
class Solution {
private static Random random = new Random(System.currentTimeMillis());
public int findKthLargest(int[] nums, int k) {
int left=0;
int right=nums.length-1;
int target=nums.length-k;
while (true){
int index=partition(nums,left,right);
if(target==index)return nums[index];
else if(target<index){
right=index-1;
}else {
left=index+1;
}
}
}
public int partition(int[] nums,int left,int right){
if(right>left){
int randomIndx=left+1+random.nextInt(right-left);
//random.nextInt()输出0到(right-left-1)之间的任意一个数
swap(left,randomIndx,nums);
}
int pivot=nums[left];
int j=left;
for (int i = left+1; i <=right ; i++) {
if(nums[i]<pivot){
j++;
swap(i,j,nums);
}
}
swap(left,j,nums);
return j;
}
public void swap(int i,int j,int[]nums){
int temp=nums[i];
nums[i]=nums[j];
nums[j]=temp;
}
}

//优先队列-[215. 数组中的第K个最大元素]
import java.util.Comparator;
import java.util.PriorityQueue;
public class Solution {
public int findKthLargest(int[] nums, int k) {
int len = nums.length;
// 使用一个含有 k 个元素的最小堆,PriorityQueue 底层是动态数组,为了防止数组扩容产生消耗,可以先指定数组的长度
PriorityQueue<Integer> minHeap = new PriorityQueue<>(k, Comparator.comparingInt(a -> a));
// Java 里没有 heapify ,因此我们逐个将前 k 个元素添加到 minHeap 里
for (int i = 0; i < k; i++) {
minHeap.offer(nums[i]);
}
for (int i = k; i < len; i++) {
// 看一眼,不拿出,因为有可能没有必要替换
Integer topElement = minHeap.peek();
// 只要当前遍历的元素比堆顶元素大,堆顶弹出,遍历的元素进去
if (nums[i] > topElement) {
// Java 没有 replace(),所以得先 poll() 出来,然后再放回去
minHeap.poll();
minHeap.offer(nums[i]);
}
}
return minHeap.peek();
}
}

347. 前 K 个高频元素
难度中等1214
给你一个整数数组 nums 和一个整数 k ,请你返回其中出现频率前 k 高的元素。你可以按 任意顺序 返回答案。
示例 1:
输入: nums = [1,1,1,2,2,3], k = 2
输出: [1,2]
示例 2:
输入: nums = [1], k = 1
输出: [1]

class Solution {
public int[] topKFrequent(int[] nums, int k) {
Map<Integer,Integer> map =new HashMap<>();
for (int num : nums) {
if(map.containsKey(num)){
map.put(num,map.get(num)+1);
}else {
map.put(num,1);
}
}
PriorityQueue<Integer> pq=new PriorityQueue<>(new Comparator<Integer>() {
@Override
public int compare(Integer a, Integer b) {
return map.get(a)-map.get(b);
}
});
for (Integer key :map.keySet()) {
if(pq.size()<k){
pq.add(key);
}else if(map.get(key)>map.get(pq.peek())){
pq.remove();
pq.add(key);
}
}
int[] ret = new int[k];
for (int i = 0; i < k; ++i) {
ret[i] = pq.remove();
}
return ret;
}
}

比较器的使用
一般在排序中使用的较多
//二维数组的使用,Lambda 表达式
Arrays.sort(events, (a,b)->a[0]-b[0]);
PriorityQueue<int[]> pq = new PriorityQueue<>((a,b)->a[1]-b[1]);
//按照右端点排序,新建比较器,重写方法
Arrays.sort(intervals, new Comparator<int[]>() {
public int compare(int[] interval1, int[] interval2) {
return interval1[1] - interval2[1];
}
});
//输入的是key值,比较的是map的value值
PriorityQueue<Integer> queue=new PriorityQueue<>(new Comparator<Integer>() {
@Override
public int compare(Integer o1, Integer o2) {
return map.get(o1)-map.get(o2);
}
});

Map的遍历方式
//遍历k值
for(Integer key:map.keySet()){
}
多线程
哲学家问题
class DiningPhilosophers {
//1个Fork视为1个ReentrantLock,5个叉子即5个ReentrantLock,将其都放入数组中
private final ReentrantLock[] lockList = {new ReentrantLock(),
new ReentrantLock(),
new ReentrantLock(),
new ReentrantLock(),
new ReentrantLock()};
//限制 最多只有4个哲学家去持有叉子
private Semaphore eatLimit = new Semaphore(4);
public DiningPhilosophers() {
}
// call the run() method of any runnable to execute its code
public void wantsToEat(int philosopher,
Runnable pickLeftFork,
Runnable pickRightFork,
Runnable eat,
Runnable putLeftFork,
Runnable putRightFork) throws InterruptedException {
int leftFork = (philosopher + 1) % 5; //左边的叉子 的编号
int rightFork = philosopher; //右边的叉子 的编号
eatLimit.acquire(); //限制的人数 -1
lockList[leftFork].lock(); //拿起左边的叉子
lockList[rightFork].lock(); //拿起右边的叉子
pickLeftFork.run(); //拿起左边的叉子 的具体执行
pickRightFork.run(); //拿起右边的叉子 的具体执行
eat.run(); //吃意大利面 的具体执行
putLeftFork.run(); //放下左边的叉子 的具体执行
putRightFork.run(); //放下右边的叉子 的具体执行
lockList[leftFork].unlock(); //放下左边的叉子
lockList[rightFork].unlock(); //放下右边的叉子
eatLimit.release();//限制的人数 +1
}
}

为什么网络层不能保证可靠性传输?、
TCP 4种定时器,坚持定时器,主要用来解决窗口大小通知可能导致的死锁问题
2MSL定时器,
对称加密的算法有哪些?
非对称算法一定安全吗?
TCP、IP为什么不在一层?
DNS域名解析
SYN ACK的作用
jvm逃逸分析,对象一定放在堆里面吗?
java hash Map的并发修改异常

生产者消费者

class Message {
private int id;
private Object message;
public Message(int id, Object message) {
this.id = id;
this.message = message;
}
public int getId() {
return id;
}
public Object getMessage() {
return message;
}
}
消息队列
class MessageQueue {
private LinkedList<Message> queue;
private int capacity;
public MessageQueue(int capacity) {
this.capacity = capacity;
queue = new LinkedList<>();
}
public Message take() {
synchronized (queue) {
while (queue.isEmpty()) {
log.debug("没货了, wait");
try {
queue.wait();
} catch (InterruptedException e) {
e.printStackTrace();
}
}
Message message = queue.removeFirst();
queue.notifyAll();
return message;
}
}
public void put(Message message) {
synchronized (queue) {
while (queue.size() == capacity) {
log.debug("库存已达上限, wait");
try {
queue.wait();
} catch (InterruptedException e) {
e.printStackTrace();
}
}
queue.addLast(message);
queue.notifyAll();
}
}
}

售票中心:
public class Product_Custom {
public static void main(String[] args) {
MessageQueue messageQueue = new MessageQueue(2);
// 4 个生产者线程, 下载任务
for (int i = 0; i < 4; i++) {
int id = i;
new Thread(() -> {
try {
log.debug("download...");
List<String> response = Downloader.download();
log.debug("try put message({})", id);
messageQueue.put(new Message(id, response));
} catch (IOException e) {
e.printStackTrace();
}
}, "生产者" + i).start();
}
// 1 个消费者线程, 处理结果
new Thread(() -> {
while (true) {
Message message = messageQueue.take();
List<String> response = (List<String>) message.getMessage();
log.debug("take message({}): [{}] lines", message.getId(), response.size());
}
}, "消费者").start();
}
}
1115 多线程交替打印
给你一个类:
class FooBar {
public void foo() {
for (int i = 0; i < n; i++) {
print("foo");
}
}public void bar() {
for (int i = 0; i < n; i++) {
print("bar");
}
}
}两个不同的线程将会共用一个 FooBar 实例:
线程 A 将会调用 foo() 方法,而
线程 B 将会调用 bar() 方法
请设计修改程序,以确保 "foobar" 被输出 n 次。
输入:n = 1
输出:"foobar"
解释:这里有两个线程被异步启动。其中一个调用 foo() 方法, 另一个调用 bar() 方法,"foobar" 将被输出一次。
class FooBar {
private int n;
private Object obj = new Object();
private volatile boolean fooExec = true;
public FooBar(int n) {
this.n = n;
}
public void foo(Runnable printFoo) throws InterruptedException {
for (int i = 0; i < n; i++) {
synchronized (obj) {
if (!fooExec) {//fooExec为false时,该线程等待,为true的时候执行下面的操作
obj.wait();
}
printFoo.run();
fooExec = false;
obj.notifyAll();//唤醒其他线程
}
}
}
public void bar(Runnable printBar) throws InterruptedException {
for (int i = 0; i < n; i++) {
synchronized (obj) {
if (fooExec) {
obj.wait();
}
printBar.run();
fooExec = true;
obj.notifyAll();
}
}
}
}
作者:a-fei-8
链接:https://leetcode-cn.com/problems/print-foobar-alternately/solution/chang-you-duo-xian-cheng-zhi-1115-by-a-f-mf5u/
来源:力扣(LeetCode)
著作权归作者所有。商业转载请联系作者获得授权,非商业转载请注明出处。
1114. 按序打印
给你一个类:
public class Foo {
public void first() { print("first"); }
public void second() { print("second"); }
public void third() { print("third"); }
}
三个不同的线程 A、B、C 将会共用一个 Foo 实例。
线程 A 将会调用 first() 方法
线程 B 将会调用 second() 方法
线程 C 将会调用 third() 方法
请设计修改程序,以确保 second() 方法在 first() 方法之后被执行,third() 方法在 second() 方法之后被执行。
输入:nums = [1,2,3]
输出:"firstsecondthird"
解释:
有三个线程会被异步启动。输入 [1,2,3] 表示线程 A 将会调用 first() 方法,线程 B 将会调用 second() 方法,线程 C 将会调用 third() 方法。正确的输出是 "firstsecondthird"。
解题思路:
这是一个典型的执行屏障的问题,可以通过构造屏障来实现。
如下图,我们需要构造 22 道屏障,second 线程等待 first 屏障,third 线程等待 second 屏障。:
first 线程会释放 first 屏障,而 second 线程会释放 second 屏障。
Java 中,我们使用线程等待的方式实现执行屏障,使用释放线程等待的方式实现屏障消除。具体代码如下:
class Foo {
private boolean firstFinished;
private boolean secondFinished;
private Object lock = new Object();
public Foo() {
}
public void first(Runnable printFirst) throws InterruptedException {
synchronized (lock) {
// printFirst.run() outputs "first". Do not change or remove this line.
printFirst.run();
firstFinished = true;
lock.notifyAll();
}
}
public void second(Runnable printSecond) throws InterruptedException {
synchronized (lock) {
while (!firstFinished) {
lock.wait();
}
// printSecond.run() outputs "second". Do not change or remove this line.
printSecond.run();
secondFinished = true;
lock.notifyAll();
}
}
public void third(Runnable printThird) throws InterruptedException {
synchronized (lock) {
while (!secondFinished) {
lock.wait();
}
// printThird.run() outputs "third". Do not change or remove this line.
printThird.run();
}
}
}
作者:pulsaryu
链接:https://leetcode-cn.com/problems/print-in-order/solution/gou-zao-zhi-xing-ping-zhang-shi-xian-by-pulsaryu/
来源:力扣(LeetCode)
著作权归作者所有。商业转载请联系作者获得授权,非商业转载请注明出处。
sql面试题
1.求学生的成绩最高分,求最高分的的成绩的学生(并列),每个省份(科目)成绩最高的成绩的学生。

//求学生的成绩最高分
select MAX(score) from student;
//求最高分成绩的学生(含并列情况)
select name from student where score =(select MAX(score) from student);
//求每个省份成绩最高的成绩
select MAX(score) from student group by province
//每个省份成绩最高的成绩的学生。第二行通过group by查出每个省份各自的最高成绩,然后与student表联结,找到省份和最高成绩都相匹配的学生名字
select name from student inner join
(select province,MAX(score) as maxS from student group by province)as s2
on student.province=s2.province and student.score=s2.maxS;
2.总成绩前三名?如果第三名有多个相等的?
//总成绩前三名(无并列情况)
select SUM(score),name from student group by name DESC limit 0,3;
//有并列情况,先将第三名的总成绩查出俩,再以此作为条件来筛选
select SUM(score),name from student where SUM(score) >=(select SUM(score) from student group by name DESC limit 2,1) group by name DESC;
3.总成绩排名3-10的学生id
//没有并列的话
select SUM(score),id from student group by id DESC limit 2,8;
//有并列的话
普通做法,是将成绩第三大和第10大的分数分别找到,然后作为条件来查询
利用窗口函数row_number() ,Rank(), dense_rank()
select s_id,scoreSum,scoreRank from (select s_id,sum(s_score)as scoreSum,row_number() over (order by sum(s_score) desc) as scoreRank from score group by s_id)b where scoreRank between 2 and 4;
6.现在我有个学校,想查询每个班有多少人,并且条件是人数大于40?
select class,count(*) from school group by class having count(*)>40;
美团笔试:
时间限制:3000 MS
内存限制:589824KB
第一题
题目描述:
小美现在相信一些数字脂给他带来好运.
这些数字至少满足以下两个特征中的种:
1.数字是11的整数倍.
2.数字中至少包含两个1,
小美现在给你若干数字,希望你回答这个数字是不是幸运数.
例如:132是11的12倍,满足条件1,101有两个1,满足条件2.
输入描述
第一行一个数字n,表示小美有n组询问
接下来每行个正整数表示小美询问的数字.
数据保证1<=n<=500,每个询问的数字在[1,1e9]范围内
输出描述
对于每组询问,如果是幸运数,输出yes,不是,输出no。

第二题:乘积为正
时间限制:3000 MS
内存限制:589824KB
题目描述:
小美现在有一个序列,序列中仅包含1和-1两种数字.
小美现在想要知道,有多少个连续的子序列,序列中的数字乘积为正.
输入描述
第一行一个正整数n,表示小美手中的序列长度.
第二行n个空格隔开的数字,每个数字只能是1和-1中的-种.
对于80%的数据保证1<=n<=500
对于剩余20%的数据保证1<=n<=5000
输出描述
-行一个正整数表示有多少连续的子序列满足题目要求。
样例输入
4
11-1-1
样例输出
6
6个连续子序列满足要求]。
([1],[1],[1,1],[-1,-1],[1,-1,-1],[1,1,-1,-1])
- 之前刚好刷leetcode遇到个类似的。我们利用前缀和来求,但是我们需要转换一下,我们发现为了使序列的乘积为正数,那么-1的个数一定要是偶数个,所以我们将输入的-1转换为1,输入的1转换为0.然后就可以利用前缀和先预处理然后O(1)地求出每段的-1的个数啦。

第三题:
第四题:

动态规划,dp[i][j]表示第i秒的时候在第j个房间的最小消耗

阿里笔试
2021.4.2阿里巴巴后端工程师笔试题第一题
元素个数
小明现在有一个长度为n的不递减序列,你可以操作任意次,每一次操作可以让某一个位置上的数加一,但每个位置的数最多只能操作一次,通过这个操作,能让新产生的序列中有多少个不同的数。
输入
第一行代表T组测试数据
接下来,每一组第一行输入一个整数n代表这一组的元素个数
接下来代表序列的每一个元素
输出
对每组数据输出一个数代表有多少不同的整数
示例
输入
2
6
1 2 2 2 5 6
2
4 4
1
2
3
4
5
输出
5
2
这道题和2020年字节春招笔试题的第一道聪明的编辑思路相同,实际就是把输入的数组中相同的两个数中第二个数加一,两个数以上的话就把中间的数字都删掉,然后从加一的这个数在开始判断和后面的数是否相同。
把原始的数组通过上面的数组转化成了另一个数组,这个数组的每一个数都不相同,这个数组里元素的数量就是这道题的答案。
难点就是在于要考虑到重复数字进行加一后会出现和后面的数字又重复的可能性。
public static void main(String[] args) {
Scanner scanner = new Scanner(System.in);
int T=scanner.nextInt();
int[] t = new int[100000];
int[] res = new int[100000];
int count=0;
while (T-->0){
int n= scanner.nextInt();
int ans=0;
for (int i = 0; i < n; i++) {
t[i] = scanner.nextInt();
}
int pointer=0;
while(pointer<n){
int temp=t[pointer];
int cnt=0;//记录相同的元素数量
while (pointer<n&&temp==t[pointer]){//判断当前pointer对应的元素和temp相等时,pointer往后移动一位,cnt加一
pointer++;
cnt++;
}
// if(cnt==1){//cnt等于一代表没有相同的元素,对应答案加一
// ans++;
// }
if (cnt>=2) {//代表相同的元素数量两个以上,答案加一后把序列中最后一位相同的元素加一后重新放回序列中进行比较
t[--pointer]+=1;//指向相同元素中的最后一个
}
ans++;
}
res[count]=ans;
count++;
}
for (int i = 0; i < count; i++) {
System.out.println(res[i]);
}
scanner.close();
}
import java.util.*;
/**
* @author
* @create 2021-04-02 19:18
*/
public class Ali {
public static void main(String[] args) {
int [] arr={1,1,2,3};
HashSet<Integer> set = new HashSet<>();
for (int i = 0; i < arr.length; i++) {
if (set.contains(arr[i])){
set.add(arr[i]+1);
}else {
set.add(arr[i]);
}
}
System.out.println(set.size());
}
}
网易笔试3.27
第一题


贪心算法:
import java.util.Scanner;
public class WangYi1 {
public static void main(String[] args) {
Scanner sc = new Scanner(System.in);
int a=sc.nextInt();
int b=sc.nextInt();
int x=sc.nextInt();
int y=sc.nextInt();
int cnt=0;
if(y>=a && y>=b){
System.out.println(1); //1 1 3 1 的情况,只需要y一次就能把a和b的血量干完
}else{
while (a>0 && b>0){
if(x>2*y){//两种技能如果各自点击两次,也就是如下:次数一样,a和b都减少了相同的血量,
//x技能两次,点一次a,点一次b,如果血量比y技能减少得多,就选择点两次x技能。
//y技能点两次,ab都被点了两次,
a-=x;
b-=x;
cnt+=2;
}else{
a-=y;
b-=y;
cnt+=1;
}
}
int c=Math.max(a,b);
int temp=Math.max(x,y);
if (c>0){
cnt+=c/temp;
cnt+=(c%temp)>0?1:0;
}
System.out.println(cnt);
}
}
}
第二题



动态规划(类似打家劫舍):
import java.util.Scanner;
public class WangYi2 {
public static int [] nums;
public static int res=0;
public static void main(String[] args) {
Scanner sc=new Scanner(System.in);
String str = sc.next();
char[] chars = str.toCharArray();
int n=str.length();
nums=new int[n];
int[] dp=new int[n];
for(int i=0;i<n;i++){
if(i==n-1){
nums[i]=0;
}else{
if(chars[i]==chars[i+1] || (chars[i]-chars[i+1])==1 || (chars[i+1]-chars[i])==1){
nums[i]=chars[i]+chars[i+1]-192;
}else {
nums[i]=0;
}
}
if(i==0){
dp[i]=nums[0];
}else if(i==1){
dp[i]=Math.max(nums[1],dp[0]);
}else{
dp[i]=Math.max(dp[i-1],dp[i-2]+nums[i]);
}
}
System.out.println(dp[n-1]);
}
}
第三题:


先输出偶数,再输出奇数,完全二叉树的特性,
第四题:


import java.util.Scanner;
public class Main4 {
public static void main(String[] args) {
Scanner sc = new Scanner(System.in);
int n = sc.nextInt();
int m = sc.nextInt();
int[][] arr = new int[n][m];
int[][] dp = new int[n][m];
for (int i = 0; i < n; i++) {
for (int j = 0; j < m; j++) {
arr[i][j] = sc.nextInt();
dp[i][j] = Integer.MAX_VALUE;
}
}
dp[0][0] = 0;
for (int i = 0; i < n; i++) {
for (int j = 0; j < m; j++) {
if (i > 0) {
dp[i][j] = Math.min(dp[i - 1][j] + (arr[i - 1][j] == arr[i][j] ? 1 : 2), dp[i][j]);
}
if (j > 0) {
dp[i][j] = Math.min(dp[i][j - 1] + (arr[i][j - 1] == arr[i][j] ? 1 : 2), dp[i][j]);
}
}
}
for (int i = 0; i < n; i++) {
for (int j = 0; j < m; j++) {
if (j < m-1) {
dp[i][j] = Math.min(dp[i][j + 1] + (arr[i][j + 1] == arr[i][j] ? 1 : 2), dp[i][j]);
}
}
}
System.out.println(dp[n-1][m-1]);
}
}



浙公网安备 33010602011771号