配电网分布式电源和储能选址定容
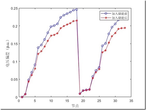
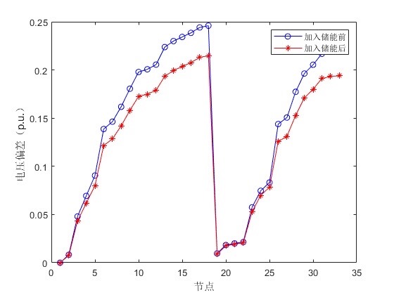
以配电网总成本最低为目标函数,其中包括年运行成本,设备维护折损成本、环境成本;以系统潮流运行为约束条件,采用粒子群算法求解,实现光伏、风电、储能设备的规划。

YID:4980674139963843

312

posted on 2023-04-06 19:06  27699885  阅读(44)  评论(0)    收藏  举报