MATLAB代码:储能参与调峰调频联合优化模型
关键词:储能 调频 调峰 充放电优化 联合运行
仿真平台:MATLAB+CVX 平台
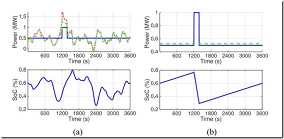
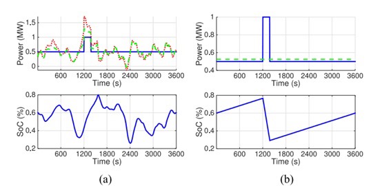
主要内容:代码主要做的是考虑储能同时参与调峰以及调频的联合调度模型,现有代码往往仅关注储能在调峰方面的能力,而实际上同时参与调峰调频将超线性的提高储能的收益,在建模方面,构建了考虑电池退化成本、充放电功率约束以及用户负荷不确定性的储能优化模型,整体复现结果和文档一致,该代码具有一定的创新性,适合新手学习以及在此基础上进行拓展,代码质量非常高,出图效果非常好 可以直接拿来用
YID:13100648583117536



浙公网安备 33010602011771号