基于OpenCV做“三维重建”(3)--相机参数矩阵

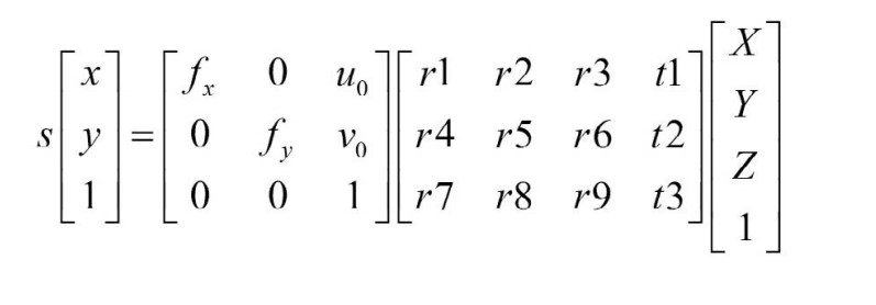
        通过前面的相机标定,我们能够获得一些参数模型。但是这些相机的参数矩阵到底是什么意思?怎样才能够判断是否正确?误差都会来自哪里?这里就必须要通过具体实验来加深认识。采集带相机参数的图片具有一定难度,幸好我之前有着不错的积累—这里一共有两款数据集,一款来自《OpenCV计算机视觉编程攻略》第3版,家里面好像还有一款微单可以进行采集,这样我们可以进行交叉比对,看一看获得的参数是否符合实际情况:

数据集1  来自《OpenCV计算机视觉编程攻略》第3版
        
数据集2 来自家中“国民床单”
既然是做实验,我想初步计划一下。首先是要明确我能够获得那些东西?然后是比较这些东西是否真的像书上说的那样符合实际?然后我会添加一些干扰,看一看在有错误数据的情况,这些东西如何变化?最后是一个小结。
1、明确我能够获得那些东西?
通过前面的代码,我们大概是准备获得这样的东西:
< ?xml version = "1.0" ? >
<opencv_storage >
<Intrinsic type_id = "opencv-matrix" >
   <rows > 3 < /rows >
   <cols > 3 < /cols >
   <dt >d < /dt >
   <data >
     1. 3589305122261344e + 003  05. 7505355544729957e + 002 
    01. 3565816672769690e + 003  6. 0423226535731465e + 002 
    001.
    < /data >
< /Intrinsic >

<Distortion type_id = "opencv-matrix" >
   <rows > 1 < /rows >
   <cols > 14 < /cols >
   <dt >d < /dt >
   <data >
     9. 5113243912423840e + 001  1. 4262144540955842e + 003
     5. 2119492051277685e - 003  2. 8847713358900241e - 003
     1. 2859720255043484e + 002  9. 5182218776001392e + 001
     1. 4741397414456521e + 003  6. 8332022963370434e + 002  000000. < /data > < /Distortion >
< /opencv_storage >

从结果上看,我将获得这两个矩阵。前面那个是相机内参矩阵,后面那个是外参数。那么在一组图片中,内参肯定是不变的;后面外参肯定是变化的。但是这里也有很多疑问。


那么具体来看结果, 对于第一组图片来说,我们获得的结果为:
< ?xml version = "1.0" ? >
<opencv_storage >
<Intrinsic type_id = "opencv-matrix" >
  <rows > 3 < /rows >
  <cols > 3 < /cols >
  <dt >d < /dt >
  <data >
    4. 0927176647992695e + 002 0. 2. 3724719115090161e + 002 
    04. 0870629848642727e + 002 1. 7128731207874495e + 002 
    0. 0. 1.
   < /data > < /Intrinsic >
<Distortion type_id = "opencv-matrix" >
  <rows > 1 < /rows >
  <cols > 14 < /cols >
  <dt >d < /dt >
  <data >
    1. 8631118716959048e + 001 - 5. 0639175384902096e + 001
    - 5. 2453807582033300e - 003 - 9. 2620440694993842e - 003
    5. 2367454865598742e +000 1. 9002289932447418e + 001
    - 4. 8948501055979285e + 001 - 6. 5115263545215851e - 001 0. 0. 0. 0. 0. 0. < /data > < /Distortion >
< /opencv_storage >

< ?xml version = "1.0" ? >
<opencv_storage >
<Intrinsic type_id = "opencv-matrix" >
  <rows > 3 < /rows >
  <cols > 3 < /cols >
  <dt >d < /dt >
  <data >
    3. 9136489375791234e + 003 0. 2. 6879080836687035e + 003 
    03. 9811430968074164e + 003 1. 9454067884808153e + 003 
    0. 0. 1.
  < /data > < /Intrinsic >
<Distortion type_id = "opencv-matrix" >
  <rows > 1 < /rows >
  <cols > 14 < /cols >
  <dt >d < /dt >
  <data >
    2. 5259392493942739e - 002 - 3. 2418875955674309e - 001
    3. 6376246418718853e - 004 3. 2526045276898190e - 003
    - 8. 1692713459156296e - 002 2. 5694845194956913e - 002
    4. 7826938999253371e - 001 - 1. 3315729771950511e +000 0. 0. 0. 0. 0. 0. < /data > < /Distortion >
< /opencv_storage >
对于第二组图片来说:

2、这些东西是否真的像书上说的那样符合实际?

对于第一套图片来说,看它的内参矩阵:
<data >
     4. 0927176647992695e + 002  02. 3724719115090161e + 002 
    04. 0870629848642727e + 002  1. 7128731207874495e + 002 
    001.
< /data >

解析一下,fx = fy = 409 ; U0=237  V0 = 171,这个是代码计算值。从实际情况上来看,
标准中间为 268,178,这个和237,171是比较符合的。

对于其它信息


这个焦距和我们计算出来的东西差距较大,如何比对?进一步研究,获得这个相机的参数:

可以获得,它的传感器尺寸为23.5mm X 15.7mm,那么像素宽度分别为0.0438(=23.5/536)和0.044,反过来算焦距为17.9,这个比较接近。

书中给出的资料肯定是自己选择过的,那么我们自己重新采集一套 图片来说,那么它的固有参数为:


获得的结果:

   <data >
     3. 9136489375791234e + 003  02. 6879080836687035e + 003 
    03. 9811430968074164e + 003  1. 9454067884808153e + 003 
    001.
  < /data >

翻译一下,fx = 3913.6 fy=3981.1 U0=2687.9 V0=1945.4
先看U V, 5456/2 = 2728 3632/2=1816,这样的话,差距在1.5%,这个差距看上去比较大,但是相对值比书中提供的数据要小。
而对于焦距来说, 像素宽度分别为0.00425(= 23.2 /5456)和0.0386
算出来焦距为16.64和16.88,这个和16的差距也是比较合适的。


3、添加一些干扰,容错性如何?

最好的方法,是在有固定相机的情况下,重新采集一套图片,这个对于读者来说,如果有兴趣,可以来做。

4、小结

通过比较,可以发现一下几个特点:
1、书本上采集的图片,其角度范围更为广泛。所以说书上的采集方法对于我们后面做实际采集有指导意义;
2、棋盘的大小和最后是否能够产生良好结果关系不大,所以一个合适大小的棋盘就可以;
此外:
3、特别是对于视野比较广的情况,应该优先想出高效解决方法。我认为视场越大,误差越大;
4、对于大照片的处理,本身就是一个比较复杂的问题:因为像素比较高,所以处理起来比较慢;而又不能通过压缩之类的方法进行预处理,所以会有比较多的问题。目前还有没有很好解决方法;

此外,你还必须考虑标定的过程中失败的情况;还必须考虑采用什么模式能够让标定的效果最好。

感谢阅读至此,希望有所帮助。




posted on 2022-12-03 15:30  jsxyhelu  阅读(154)  评论(0)    收藏  举报

导航