R in action读书笔记(15)第十一章 中级绘图 之二 折线图 相关图 马赛克图

第十一章 中级绘图

本节用到的函数有:

plot

legend

corrgram

mosaic

 

11.2折线图

如果将散点图上的点从左往右连接起来,那么就会得到一个折线图。

创建散点图和折线图:

> opar<-par(no.readonly=TRUE)
> par(mfrow=c(1,2))
> t1<-subset(Orange,Tree==1)
> plot(t1$age,t1$circumference,xlab="Age(days)",ylab="circumference (mm)",main="orange tree 1growth")
> plot(t1$age,t1$circumference,xlab="Age(days)",ylab="circumference (mm)",main="orange tree 1growth",type="b")
> par(opar)

参数type =的可选值

 

p

只有点

l

只有线

o

实心点和线(即线覆盖在点上)

b、c

线连接点(c时不绘制点)

s、S

阶梯线

h

直方图式的垂直线

n

不生成任何点和线(通常用来为后面的命令创建坐标轴)

注意,plot()和lines()函数工作原理并不相同。plot()函数是被调用时即创建一幅新图,

而lines()函数则是在已存在的图形上添加信息,并不能自己生成图形。因此,lines()函数通常是在plot()函数生成一幅图形后再被调用。如果对图形有要求,可以先通过plot()函数中的type = n来创建坐标轴、标题和其他图形特征,然后再使用lines()函数添加各种需要绘制的曲线。

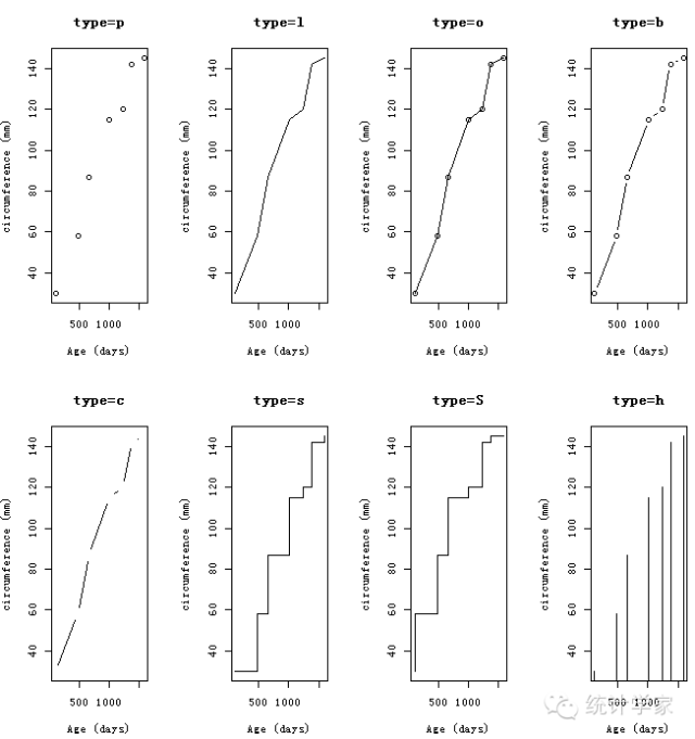
展示五种橘树随时间推移的生长状况的折线图:

> opar<-par(no.readonly=TRUE)
> par(mfrow=c(2,4))
> t1<-subset(Orange,Tree==1)
> plot(t1$age,t1$circumference,xlab="Age(days)",ylab="circumference(mm)",main="type=p",type="p")
> plot(t1$age,t1$circumference,xlab="Age(days)",ylab="circumference(mm)",main="type=l",type="l")
> plot(t1$age,t1$circumference,xlab="Age(days)",ylab="circumference(mm)",main="type=o",type="o")
> plot(t1$age,t1$circumference,xlab="Age(days)",ylab="circumference(mm)",main="type=b",type="b")
> plot(t1$age,t1$circumference,xlab="Age(days)",ylab="circumference(mm)",main="type=c",type="c")
> plot(t1$age,t1$circumference,xlab="Age(days)",ylab="circumference(mm)",main="type=s",type="s")
> plot(t1$age,t1$circumference,xlab="Age(days)",ylab="circumference(mm)",main="type=S",type="S")
> plot(t1$age,t1$circumference,xlab="Age(days)",ylab="circumference(mm)",main="type=h",type="h")

  

展示五种橘树随时间推移的生长状况的折线图

> Orange$Tree<-as.numeric(Orange$Tree)
> ntrees<-max(Orange$Tree)
> xrange<-range(Orange$age)
> yrange<-range(Orange$circumference)
> plot(xrange,yrange,type="n",xlab="age(days)",ylab="circumference(mm)" )
> colors<-rainbow(ntrees)
> linetype<-c(1:ntrees)
> plotchar<-seq(18,18+ntrees,1)
> for(i in 1:ntrees){tree<-subset(Orange,Tree==i), lines(tree$age,tree$circumference, type="b", lwd=2, lty=linetype[i],col=colors[i], pch=plotchar[i] ) }
> title("tree growth","example of lineplot")
> legend(xrange[1],yrange[2], 1:ntrees, cex=.8, pch=plotchar, lty=linetype, title="tree")

  

11.3 相关图

利用corrgram包中的corrgram()函数,可以以图形方式展示该相关系数矩阵

> library(corrgram)
> corrgram(mtcars,order=TRUE,lower.panel=panel.shade,upper.panel=panel.pie,text.panel=panel.txt, main="correlogram of mtcarsintercorrelations")

默认地,蓝色和从左下指向右上的斜杠表示单元格中的两个变量呈正相关。反过来,红色和从左上指向右下的斜杠表示变量呈负相关。色彩越深,饱和度越高,说明变量相关性越大。相关性接近于0的单元格基本无色。本图为了将有相似相关模式的变量聚集在一起,对矩阵的行和列都重新进行了排序(使用主成分法)。从图中含阴影的单元格中可以看到,gear、am、drat和mpg相互间呈正相关,wt、disp、hp和carb相互间也呈正相关。但第一组变量与第二组变量呈负相关。还可以看到carb和am、vs和gear、vs和am以及drat和qsec四组变量间的相关性很弱。上三角单元格用饼图展示了相同的信息。颜色的功能同上,但相关性大小由被填充的饼图块的大小来展示。正相关性将从12点钟处开始顺时针填充饼图,而负相关性则逆时针方向填充饼图。

corrgram()函数的格式如下:

corrgram(x, type=NULL, order = FALSE, labels,panel=panel.shade,
lower.panel=panel,upper.panel=panel,diag.panel=NULL,text.panel=textPanel,label.pos=c(0.5, 0.5), label.srt=0, cex.labels=NULL,font.labels=1,row1attop=TRUE, dir="",gap=0,abs=FALSE,col.regions=colorRampPalette(c("red","salmon","white","royalblue","navy")),cor.method="pearson", ...)

可以通过选项lower.panel 和upper.panel来分别设置主对角线下方和上方的元素类型。而text.panel和diag.panel选项控制着主对角线元素类型。

在下三角区域使用平滑拟合曲线和置信椭圆,上三角区域使用散点图:

> library(corrgram)
> corrgram(mtcars,order=TRUE,lower.panel=panel.ellipse,upper.panel=panelNaNs,text.panel=panel.txt,lwd=1.5,diag.panel=panel.minmax,main="correlogram of mtcars using\nscatter plots and ellipse")

mtcars数据框中变量的相关系数图。下三角区域包含平滑拟合曲线和置信椭圆,上三角区域包含散点图。主对角面板包含变量最小和最大值。矩阵的行和列利用主成分分析法进行了重排序

> library(corrgram)
> corrgram(mtcars,lower.panel=panel.shade,upper.panel=NULL,text.panel=panel.txt, lwd=1.5, main="Car mileage data(unsorted)")

下三角区域使用了阴影,并保持原变量顺序不变,上三角区域留白。下三角区域的阴影代表相关系数的大小和正负。变量按初始顺序排列.

11.4 马赛克图

若只观察单个类别型变量,可以使用柱状图或者饼图;若存在两个类别型变量,可以使用三维柱状图;若有两个以上的类别型变量,一种办法是绘制马赛克图(mosaic plot)。在马赛克图中,嵌套矩形面积正比于单元格频率,其中该频率即多维列联表中的频率。颜色和/或阴影可表示拟合模型的残差值。vcd包中的mosaic()函数可以绘制马赛克图

> ftable(Titanic)
Survived No Yes
Class Sex Age
1st Male Child 0 5
Adult 118 57
FemaleChild 0 1
Adult 4 140
2nd Male Child 0 11
Adult 154 14
FemaleChild 0 13
Adult 13 80
3rd Male Child 35 13
Adult 387 75
FemaleChild 17 14
Adult 89 76
Crew Male Child 0 0
Adult 670 192
FemaleChild 0 0
Adult 3 20

mosaic()函数可按如下方式调用

mosaic(table)

其中table是数组形式的列联表。另外,也可用:

> library(vcd)
> mosaic(Titanic,shade=TRUE,legend=TRUE)

> library(vcd)
> mosaic(~Class+Sex+Age+Survived,data=Titanic,shade=TRUE,legend=TRUE)

按船舱等级、乘客性别和年龄层绘制的泰坦尼克号幸存者的马赛克图

posted @ 2015-04-29 18:34  机器学习算法与Python  阅读(1877)  评论(0)    收藏  举报