网络不良图像识别
1.识别角度
根据不良图像自身的特点,一般从三个角度进行不良图像的判定识别:
(1)从皮肤裸露情况来判断(研究者的首选!)
(2)从敏感部位来判断
(3)从猥亵的人体姿态来判断
2. 肤色检测
肤色检测是在图像中选取对应于人体皮肤像素的过程,通常包括颜色空间变换和肤色建模两个步骤。
2.1 颜色空间变换
为了减少肤色受照明强度的影响,通常将颜色空间从RGB转换到亮度与色度分离的某个颜色空间,比如YCbCr(亮度,蓝色色度,红色色度)或HSV(色彩,饱和度,亮度),然后放弃亮度分量。
2.2 肤色建模
常见的肤色建模有3种:
(1)肤色区域模型
(2)高斯分布模型
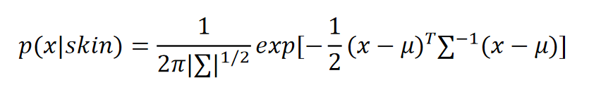
高斯分布模型是一种参数化模型,可分为单高斯模型和高斯混合模型。
单高斯模型使用正态分布来拟合皮肤颜色的概率密度分布,通常是丢弃强度分量,在两维色度平面上进行高斯密度函数估计,其联合概率密度函数如下式所示:

其中x是像素颜色向量,μ是数学期望,Σ是协方差矩阵。
(3)统计直方图模型
3. 支持向量机
支持向量机(Support Vector Machine,SVM)通过在特征空间中构造最优分类超平面来实现分类。最优分类超平面是指两类的分类空隙最大,即每类距离超平面最近的样本到超平面的距离之和最大。距离这个最优超平面最近的样本被称为支持向量(Support Vector)。
其中,W • X是内积,b是标量。

超平面分类间隔为2/||W||的证明

浙公网安备 33010602011771号