会员
众包
新闻
博问
闪存
赞助商
HarmonyOS
Chat2DB
所有博客
当前博客
我的博客
我的园子
账号设置
会员中心
简洁模式
...
退出登录
注册
登录
JohnYang
定心者,勇猛精进,终获证果 (知乎:https://www.zhihu.com/people/johnyang819)
博客园
首页
新随笔
联系
订阅
管理
手推向量三重积公式
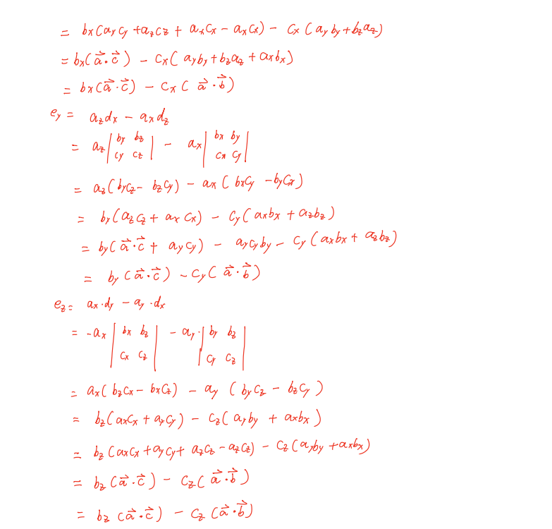
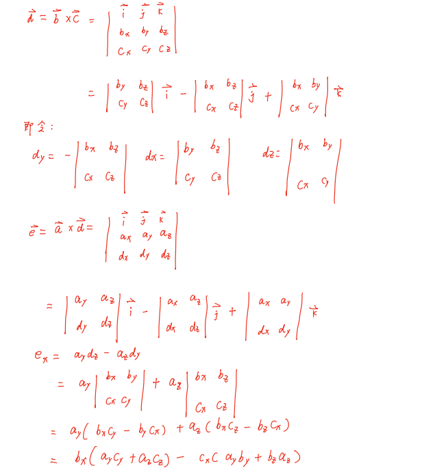
证明:对于向量a,b,c有
ax(bxc)=(a*c)b-(a*b)c
##### 愿你一寸一寸地攻城略地,一点一点地焕然一新 #####
posted @
2025-07-06 16:02
JohnYang819
阅读(
27
) 评论(
0
)
收藏
举报
刷新页面
返回顶部