二叉树基础知识
二叉树(Binary Tree)是n(n >= 0)个节点的有限集合,该集合或者为空集(称为空二叉树),或者由一个根节点和两颗互不相交的,分别称为根节点的左子树和右子树的二叉树组成。
每个节点最多有两个分支
图示:

二叉树具有五种基本形态:
1.空二叉树
2.只有一个根节点
3.根节点只有左子树
4.根节点只有右子树
5.根节点既有左子树又有右子树
特殊的二叉树:
1.斜树(只有左子树的称为左斜树,只有右子树的称为右斜树,两者统称为斜树)
2.满二叉树(所有的分支节点都存在左子树和右子树,并且所得树叶都在同一层上)

3.完全二叉树(对一颗具有n个节点的二叉树按层序编号,如果编号为i(1 <= i <= n)的节点与同样深度的满二叉树中编号为i的节点在二叉树中位值完全相同)
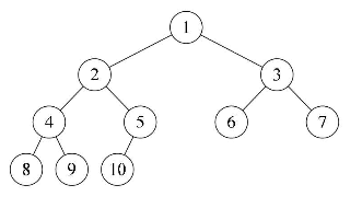
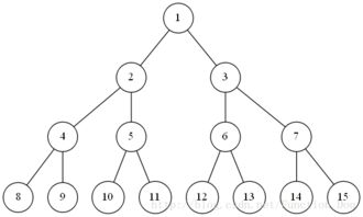
如果理解不了看下面的图,体会它们的共同特征

完全二叉树的特征:
1.叶子结点只能出现在最下两层
2.最下层的叶子一定集中在左部连续位置
3.倒数二层,若有叶子结点,一定都在右部连续位置
4.如果节点度为1(这里的度与离散数学中的度不一样,这里的度是指节点所拥有的子树数),则该节点只有左孩子,即不存在只有右子树的情况
5.同样节点数的二叉树,完全二叉树的深度最小
二叉树的性质:
性质1:在二叉树的第i层上至多有2^(i - 1)个节点(i >= 1)
性质2:深度为k的二叉树至多有2^k - 1个节点(k >= 1)
性质3:对任何一颗二叉树T,如果其终端节点数为n0,度为2的节点数为n2,则n0 = n2 + 1
性质4:具有n个节点的完全二叉树的深度为[log2n] + 1([]表示不大于x的最大整数)
性质5:如果对一颗有n个节点的完全二叉树(其深度为[long2n] + 1)的节点按层序编号(从第1层到第[log2n] + 1层,每层从左到右),对任一节点i(1 <= i <= n)有
①如果i = 1,则节点i是二叉树的根,无双亲;如果i > 1,则双亲是节点[i / 2]
②如果2i > n,则节点i无左孩子(节点i为叶子结点);否则其左孩子是节点2i
③如果2i + 1 > n,则节点i无右孩子;否则其右孩子是节点2i + 1
二叉树的存储结构同样分为两种:
一种为二叉树顺序存储结构,另一种为二叉树的链式存储结构
一般顺序存储结构只用于完全二叉树
下面我们来介绍链式存储结构的二叉树,,,
二叉链表:有一个数据域和两个指针域
说下二叉树的建立吧,先输入根,再输入左子树,再输入右子树(左边优先)
遍历二叉树(简单说下)
二叉树的的遍历主要分为4种:前序遍历,中序遍历,后序遍历,层序遍历
前序排序:若树为空返回,不为空先访问根节点,再访问左子树,再访问右子树(根左右)
中序排序:若树为空返回,不为空先访问左子树,再访问根节点,再访问右子树(左根右)
后序排序:若树为空返回,不为空先访问左子树,再访问右子树,再访问根节点(左右根)
层序排序:若树为空,则空操作返回,否则从树的第一层开始从上到下,从左到右,依次按顺序循环遍历
转载于https://www.cnblogs.com/KogetsuChida/p/10409993.html
仅供本人学习记录

浙公网安备 33010602011771号