【Camunda】SpringBoot优雅集成Camunda 7工作流引擎,保姆级教程!

From: https://blog.csdn.net/yu619251940/article/details/129670382

前言

项目中需要用到工作流引擎来设计部分业务流程,框架选型最终选择了 Camunda7,关于 Camunda以及 Activity 等其他工作流 引擎的介绍及对比不再介绍,这里只介绍与现有Springboot项目的集成以及具体使用及配置

概念

  • 流程(PROCESS) : 通过工具建模最终生成的BPMN文件,里面有整个流程的定义
  • 流程实例(Instance) :流程启动后的实例
  • 流程变量(Variables) :流程任务之间传递的参数
  • 任务(TASK) :流程中定义的每一个节点
  • 流程部署 :将之前流程定义的.bpmn文件部署到工作流平台

 

核心组件

  • Process Engine -流程引擎
  • Web Applicatons - 基于web的管理页面

 

API介绍

官方文档

  • https://docs.camunda.org/manual/7.18/user-guide/process-engine/process-engine-api/

下面是官网的一些文档,有时间可以看看,下面说一些核心的东西。

图片

ProcessEngine

为流程引擎,可以通过他获取相关service,里面集成了很多相关service,默认实现如下:

图片

RepositoryService

此服务提供用于管理和操作部署和流程定义的操作,使用camunda的第一要务

RuntimeService

运行相关,启动流程实例、删除、搜索等

TaskService

所有围绕任务相关的操作,如完成、分发、认领等

HistoryService

提供引擎搜集的历史数据服务

IdentityService

用户相关,实际中用不太到

 

SpringBoot集成

依赖集成

maven

  • https://mvnrepository.com/search?q=org.camunda.bpm.springboot

可以根据需要引用版本,我这边用的是 7.18

需要3个maven依赖,分别是对应 流程引擎、Web管理平台、提供rest api操作接口包

<dependency>
    <groupId>org.camunda.bpm.springboot</groupId>
    <artifactId>camunda-bpm-spring-boot-starter</artifactId>
    <version>7.18.0</version>
</dependency>
<dependency>
    <groupId>org.camunda.bpm.springboot</groupId>
    <artifactId>camunda-bpm-spring-boot-starter-rest</artifactId>
    <version>7.18.0</version>
</dependency>
<dependency>
    <groupId>org.camunda.bpm.springboot</groupId>
    <artifactId>camunda-bpm-spring-boot-starter-webapp</artifactId>
    <version>7.18.0</version>
</dependency>

数据库

我这边使用的是mysql,建了个新库 camunda(可自定义),启动后会自动生成所需表结构

推荐程序员摸鱼地址:

https://www.yoodb.com/slack-off/home.html

POM文件

<?xml version="1.0" encoding="UTF-8"?>
<project xmlns="http://maven.apache.org/POM/4.0.0" xmlns:xsi="http://www.w3.org/2001/XMLSchema-instance"
         xsi:schemaLocation="http://maven.apache.org/POM/4.0.0 https://maven.apache.org/xsd/maven-4.0.0.xsd">
    <modelVersion>4.0.0</modelVersion>
    <parent>
        <groupId>org.springframework.boot</groupId>
        <artifactId>spring-boot-starter-parent</artifactId>
        <version>2.7.3</version>
        <relativePath/> <!-- lookup parent from repository -->
    </parent>
    <groupId>com.example</groupId>
    <artifactId>camunda-demo</artifactId>
    <version>0.0.1-SNAPSHOT</version>
    <name>camunda-demo</name>
    <description>camunda-demo</description>
 
    <properties>
        <java.version>17</java.version>
    </properties>
 
    <dependencies>
        <dependency>
            <groupId>org.springframework.boot</groupId>
            <artifactId>spring-boot-starter</artifactId>
        </dependency>
        <dependency>
            <groupId>org.camunda.bpm.springboot</groupId>
            <artifactId>camunda-bpm-spring-boot-starter</artifactId>
            <version>7.18.0</version>
        </dependency>
        <dependency>
            <groupId>org.camunda.bpm.springboot</groupId>
            <artifactId>camunda-bpm-spring-boot-starter-rest</artifactId>
            <version>7.18.0</version>
        </dependency>
        <dependency>
            <groupId>org.camunda.bpm.springboot</groupId>
            <artifactId>camunda-bpm-spring-boot-starter-webapp</artifactId>
            <version>7.18.0</version>
        </dependency>
        <dependency>
            <groupId>mysql</groupId>
            <artifactId>mysql-connector-java</artifactId>
            <version>8.0.32</version>
        </dependency>
        <dependency>
            <groupId>org.springframework.boot</groupId>
            <artifactId>spring-boot-starter-test</artifactId>
            <scope>test</scope>
        </dependency>
    </dependencies>
 
 
    <build>
        <plugins>
            <plugin>
                <groupId>org.springframework.boot</groupId>
                <artifactId>spring-boot-maven-plugin</artifactId>
            </plugin>
        </plugins>
    </build>
 
</project>

application.yml

server:
  port: 8081
 
 
# camunda登录信息配置
camunda.bpm:
  admin-user:
    id: admin  #用户名
    password: 123456  #密码
    firstName: yu
  filter:
    create: All tasks
 
# mysql连接信息
spring:
  datasource:
    driver-class-name: com.mysql.cj.jdbc.Driver
    url: jdbc:mysql://localhost:8101/camunda
    username: root
    password: 123456
    type: com.mysql.cj.jdbc.MysqlDataSource

启动效果

准备好前置工作,启动后效果如下:

图片

数据库表结构

启动后自动生成的表结构如下

图片

大概有这么几个表模块,重要的详细介绍下:

  • ACT_ID_

这部分表示用户模块,配置文件里面的用户,信息就在此模块

图片

  • ACT_HI_

表示流程历史记录

  • act_hi_actinst:执行的活动历史
  • act_hi_taskinst:执行任务历史
  • act_hi_procinst:执行流程实例历史
  • act_hi_varinst:流程变量历史表
  • ACT_RE_

表示流程资源存储

  • act_re_procdef:流程定义存储
  • act_re_deployment: 自动部署,springboot每次启动都会重新部署,生成记录
  • ACT_RU_

表示流程运行时表数据,流程结束后会删除

  • act_ru_execution:运行时流程实例
  • act_ru_task:运行时的任务
  • act_ru_variable:运行时的流程变量
  • ACT_GE_

流程通用数据

  • act_ge_bytearray:每次部署的文件2进制数据,所以如果文件修改后,重启也没用,因为重新生成了记录,需要清掉数据库,或者这个表记录

登录界面

登录地址为 http://localhost:8081/,输入用户名密码即为配置文件里面的 admin,123456

图片

主控制台

登陆成功后,如下所示,具体的使用在下面介绍

图片

 

具体业务集成

绘制流程图

下载

首先需要一个工具 Camunda Modeler 来画,下载地址:

  • https://camunda.com/download/modeler/

图片

解压缩后打开如下:

图片

绘制

新建一个

图片

我这边稍微画了一个,具体怎么画,就不在细说了,最后效果如下,模拟了个OA的流程

图片

任务分类

只介绍最常用的两种

  • 用户任务 (User Task)

图片

具体来说就是需要手动执行的任务,即需要我们这变写完业务代码后,调用代码

taskService.complete(taskId, variables);

才会完成的任务

  • 系统任务(Service Task)

图片

系统会自动帮我们完成的任务

网关

分为这么几类,会根据我们传入的流程变量及设定的条件走

图片

  • 排他网关(exclusive gateway)

这个网关只会走一个,我们走到这个网关时,会从上到下找第一个符合条件的任务往下走

  • 并行网关(Parallel Gateway)

这个网关不需要设置条件,会走所有的任务

  • 包含网关(Inclusive Gateway)

这个网关会走一个或者多个符合条件的任务

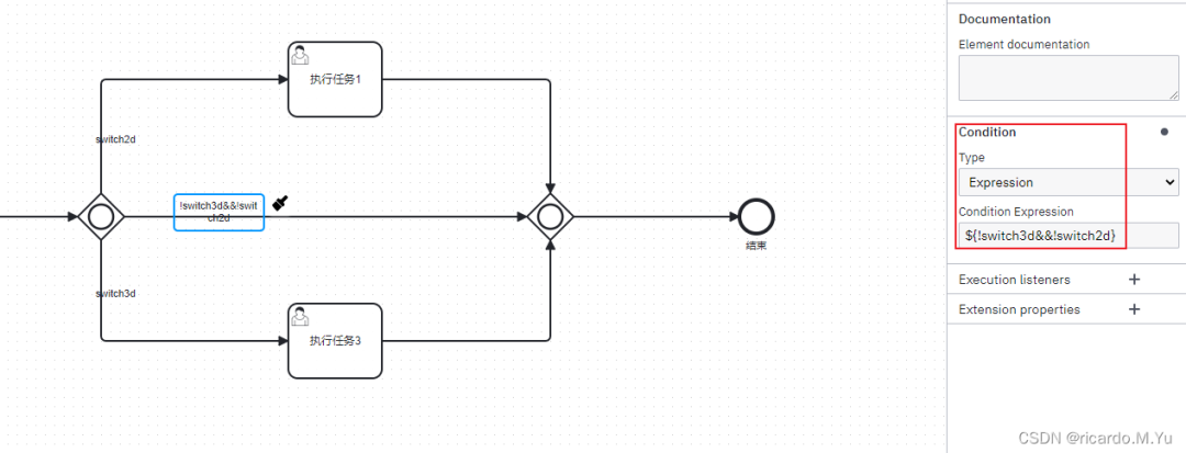
示例

图片

如上图包含网关,需要在网关的连线初设置表达式 condition,参数来自于流程变量

两个参数:

switch2d 、 switch3d
  • 如果 都为true,则走任务1,3
  • 如果 switch2d 为true switch3d为false,则只走任务1
  • 如果 switch3d 为true switch2d为false,则只走任务3
  • 如果都为false,则直接走网关,然后结束

引入项目

将画好的流程图保存文件为 test_1.bpmn,在刚才的springboot项目中resources新建一个bpmn文件夹,放进去,

图片

重启项目,发现web界面中已经被集成进来了

图片

具体开发

写几个测试controller和service

controller

图片

service

public void startProcess() {
    ProcessInstance instance = runtimeService.startProcessInstanceByKey("key");
    System.out.println(instance.toString());
}

public List<ProcessDefinition> findProcesses() {
    return repositoryService.createProcessDefinitionQuery().list();
}

public List<Task> findTasks() {
    return taskService.createTaskQuery().list();
}

启动流程成功,说明问题不大,接下来详细业务改进。

下一篇介绍详细的业务集成及各种API(变量传递、自动任务)的使用

 

API使用

流程相关API

创建流程:

会同时创建第一个任务

ProcessInstance instance = runtimeService.startProcessInstanceByKey(processKey, params);

暂停流程

流程暂停后,再执行相关任务会报错,需要先重新激活任务

runtimeService.suspendProcessInstanceById(instance.getId());

重新激活流程

runtimeService.activateProcessInstanceById(instance.getId());

删除流程

会同时删除任务

runtimeService.deleteProcessInstance(instance.getId(), "手动删除");

图片

以上都可以在流程历史表 act_hi_procinst 里查询

任务相关API

基于service的查询类,都可先构建一个 query,然后在附上查询条件,实例几个

List<ProcessDefinition> list = repositoryService.createProcessDefinitionQuery().list();
List<Task> list = taskService.createTaskQuery().taskAssignee("zhangsan").list();
List<ProcessInstance> instances = runtimeService.createProcessInstanceQuery().listPage(1, 10);

查询历史任务

List<HistoricProcessInstance> list = historyService.createHistoricProcessInstanceQuery().list();

查询当前任务/分页

List<Task> list = taskService.createTaskQuery().orderByTaskCreateTime().desc().list();

任务回退

大体思路是拿到当前的任务,及当前任务的上一个历史任务,然后重启

代码示例

 Task activeTask = taskService.createTaskQuery()
                .taskId(taskId)
                .active()
                .singleResult();
        List<HistoricTaskInstance> historicTaskInstance = historyService.createHistoricTaskInstanceQuery()
                .processInstanceId(instanceId)
                .orderByHistoricActivityInstanceStartTime()
                .desc()
                .list();
 
        List<HistoricTaskInstance> historicTaskInstances = historicTaskInstance.stream().filter(v -> !v.getTaskDefinitionKey().equals(activeTask.getTaskDefinitionKey())).toList();
 
        Assert.notEmpty(historicTaskInstances, "当前已是初始任务!");
        HistoricTaskInstance curr = historicTaskInstances.get(0);
 
        runtimeService.createProcessInstanceModification(instanceId)
                .cancelAllForActivity(activeTask.getTaskDefinitionKey())
                .setAnnotation("重新执行")
                .startBeforeActivity(curr.getTaskDefinitionKey())
                .execute();

流程变量

包括流程中产生的变量信息,包括控制流程流转的变量,网关、业务表单中填写的流程需要用到的变量等。很多地方都要用到

流程变量变量传递

变量最终会存在 act_ru_variable 这个表里面

在绘制流程图的时候,如果是用户任务(userService) 可以设置变量,比如执行人,

图片

写法有这么几种方式

  • 写死,就比如 zhangsan
  • 表达式,比如上面写的 ${user},这种需要传入参数,其实就是启动参数的时候传入,传入参数,可选值为一个Map<String, Object>,之后的流程可查看次参数,上面写的是 user, 所以map里面的key需要带着user,不然会报错。

关于扩展变量,可在流程图绘制这么设定,传递方式还是一样,流程图里面在下面写:

图片

代码:

ProcessInstance instance = runtimeService.startProcessInstanceByKey(key, new HashMap<>());

变量设置

runtimeService.setVariable(instance.getId(), Constants.PATIENT_ID, relatedId);

变量查询

 Object variable = runtimeService.getVariable(instance.getId(), Constants.GENERAL_ID);

历史变量查询

HistoricVariableInstance variableInstance = historyService.createHistoricVariableInstanceQuery().processInstanceId(bo.getId().toString()).
            variableName(Constants.PATIENT_ID).singleResult();
//变量值
variableInstance.getValue();
//变量名称
variableInstance.getName();

针对后端来说任务类型主要有两种。

用户任务-userTask

即需要用户参与的任务,因为工作流执行过程中需要涉及到审批、过审之类的需要用户参与的任务,这个时候需要用户参与,然后调用接口完成任务。

服务任务-serviceTask

即自动执行的任务,比如用户提交后,系统自动存储、修改状态等自动完成的任务。

Type

任务类型是关键,可根据配型配置实现调用 java的方法,spring 的bean方法,等等有这么几种类型

图片

推荐使用 -- Delegate Expression !!!

在系统任务中,因为是自动执行,所以实际应用中需要嵌入各种业务逻辑,可以在流程图设计中,按照下面方式调用java代码执行,在spring中配置同名的bean

图片

配置表达式,可以实现JavaDelegate接口使用类名配置,快捷写法如下,比较推荐下面这种,此种可灵活配置bean和spring结合使用,注入service等业务方法

@Bean("t17")
JavaDelegate t17() {
    return execution -> {
        Map<String, Object> variables = execution.getVariables();
        Task task = taskService.createTaskQuery().processInstanceId(execution.getProcessInstanceId()).singleResult();
        //业务逻辑
        task.setOwner(String.valueOf(dentistId));
    };
}

Java Class :

配置java类名,需要实现JavaDelegate接口,注意是全路径名,不可以使用Spring的bean配置!!!

@Component
public class T17Delegate implements JavaDelegate {
 
    @Override
    public void execute(DelegateExecution execution) throws Exception {
            String taskId = execution.getId();
            String instanceId = execution.getProcessInstanceId();
            Map<String, Object> variables = execution.getVariables();
    }
}

下面两种可使用spring的配置

Expression:

EL表达式,调用java类的方法 ,规范:

expression=“#{monitorExecution.execution(execution)}”
@Component("monitorExecution")
public class MonitorExecution {
    public void execution(DelegateExecution execution){
        String processInstanceId = execution.getProcessInstanceId();
    }
}

任务监听器 - Task Listener

任务监听器用于在某个与任务相关的事件发生时执行自定义Java逻辑或表达式。它只能作为用户任务的子元素添加到流程定义中。

请注意,这也必须作为BPMN 2.0扩展元素的子级和Camunda命名空间中发生,因为任务侦听器是专门为Camunda引擎构建的。

适用场景:

@Bean
TaskListener t21() {
    return delegateTask -> {

        String taskId = delegateTask.getId();
        String instanceId = delegateTask.getProcessInstanceId();
        
        Map<String, Object> variables = delegateTask.getVariables();
        // TODO: 20log/3/22
        delegateTask.setVariable("", "");
    };
}

执行监听器 - Execution Listener

执行侦听器在流程执行过程中发生某些事件时执行外部Java代码或计算表达式。可以用在任何任务中,可以捕获的事件有:

  • 流程实例的开始和结束。
  • 进行过渡。
  • 活动的开始和结束。
  • 网关的开始和结束。
  • 中间事件的开始和结束。
  • 结束开始事件或开始结束事件

适用场景:每个任务结束时设置任务进度

 public class ExampleExecutionListenerOne implements ExecutionListener {
 
    public void notify(DelegateExecution execution) throws Exception {
      execution.setVariable("variableSetInExecutionListener", "firstValue");
      execution.setVariable("eventReceived", execution.getEventName());
    }
  }

扩展属性- Extension properties

扩展属性适用于很多自定义的业务属性,比如设置业务流程进度

图片

流程权限及创建人设置

IdentityService为鉴权相关服务,但是我们实际开发中,一般会用到我们自己的鉴权系统,所以可以使用camunda提供的api来设置,具体可以看IdentityServiceImpl这个类,其中也是使用了ThreadLocal来保存鉴权信息 ,代码在下面

private ThreadLocal<Authentication> currentAuthentication = new ThreadLocal<Authentication>();

用户信息设置:

// Userutil是我们自己封装的用户工具类
identityService.setAuthenticatedUserId(UserUtil.getUserId().toString());
 
//获取
Authentication authentication = identityService.getCurrentAuthentication();

他内置很多比如开启流程时候,会默认找当前登录的人,这个类DefaultHistoryEventProducer

// set super process instance id
  ExecutionEntity superExecution = executionEntity.getSuperExecution();
  if (superExecution != null) {
    evt.setSuperProcessInstanceId(superExecution.getProcessInstanceId());
  }

  //state
  evt.setState(HistoricProcessInstance.STATE_ACTIVE);

  // set start user Id
  evt.setStartUserId(Context.getCommandContext().getAuthenticatedUserId());

任务执行人及发起人设置

//根据任务id设置执行人
taskService.setAssignee(task.getId(), UserUtil.getUserId().toString());
posted on 2024-04-12 13:03  清清飞扬  阅读(6886)  评论(0)    收藏  举报