路径总和
给你二叉树的根节点 root 和一个表示目标和的整数 targetSum 。判断该树中是否存在 根节点到叶子节点 的路径,这条路径上所有节点值相加等于目标和 targetSum 。如果存在,返回 true ;否则,返回 false 。
叶子节点 是指没有子节点的节点。
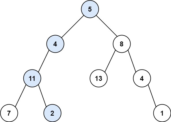
示例 1:

输入:root = [5,4,8,11,null,13,4,7,2,null,null,null,1], targetSum = 22
输出:true
解释:等于目标和的根节点到叶节点路径如上图所示。
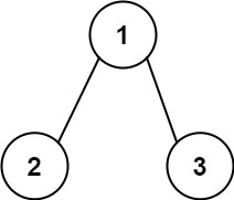
示例 2:

输入:root = [1,2,3], targetSum = 5
输出:false
解释:树中存在两条根节点到叶子节点的路径:
(1 --> 2): 和为 3
(1 --> 3): 和为 4
不存在 sum = 5 的根节点到叶子节点的路径。
示例 3:
输入:root = [], targetSum = 0
输出:false
解释:由于树是空的,所以不存在根节点到叶子节点的路径。
# 解题:
# Definition for a binary tree node.
# class TreeNode(object):
# def __init__(self, val=0, left=None, right=None):
# self.val = val
# self.left = left
# self.right = right
class Solution(object):
def hasPathSum(self, root, targetSum):
"""
:type root: TreeNode
:type targetSum: int
:rtype: bool
"""
if not root:
return False
if not root.left and not root.right:
return root.val == targetSum
return self.hasPathSum(root.left, targetSum-root.val) or self.hasPathSum(root.right, targetSum-root.val)
if __name__ == '__main__':
root = TreeNode(5)
root.left = TreeNode(4)
root.left.left = TreeNode(11)
root.left.left.left = TreeNode(7)
root.left.left.right = TreeNode(2)
root.right = TreeNode(8)
root.right.left = TreeNode(13)
root.right.right = TreeNode(4)
root.right.right.right = TreeNode(1)
print(Solution().hasPathSum(root, 22))

浙公网安备 33010602011771号