二叉树的最小深度
给定一个二叉树,找出其最小深度。
最小深度是从根节点到最近叶子节点的最短路径上的节点数量。
说明:叶子节点是指没有子节点的节点。
示例 1:

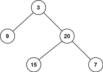
输入:root = [3,9,20,null,null,15,7]
输出:2
示例 2:
输入:root = [2,null,3,null,4,null,5,null,6]
输出:5
# 解题
# Definition for a binary tree node.
class TreeNode(object):
def __init__(self, val=0, left=None, right=None):
self.val = val
self.left = left
self.right = right
class Solution(object):
def minDepth(self, root):
# 如果二叉树是空的,则直接返回0
if root is None:
return 0
# 获取左节点的深度
left_depth = self.minDepth(root.left)
# 获取右节点的深度
right_depth = self.minDepth(root.right)
# 如果左子树或右子树有一个为空,则取另一个子树的深度
if left_depth == 0 or right_depth == 0:
return left_depth+right_depth+1
return min(left_depth, right_depth)+1
if __name__ == '__main__':
root = TreeNode(3)
root.right = TreeNode(20)
root.right.left = TreeNode(15)
root.right.right = TreeNode(7)
print(Solution().getDepth(root))

浙公网安备 33010602011771号