平衡二叉树

给定一个二叉树,判断它是否是高度平衡的二叉树。

本题中,一棵高度平衡二叉树定义为:

一个二叉树每个节点 的左右两个子树的高度差的绝对值不超过 1 。

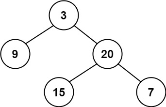
示例 1:

输入:root = [3,9,20,null,null,15,7]
输出:true

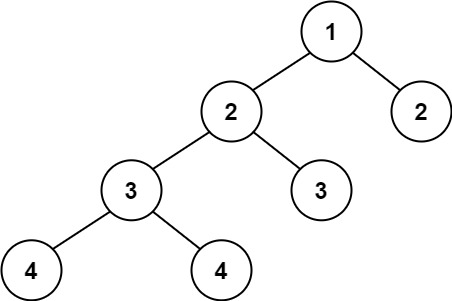
示例 2:

输入:root = [1,2,2,3,3,null,null,4,4]
输出:false


示例 3:

输入:root = []
输出:true

# 解题

posted @ 2023-02-15 17:05  JiZhaoG  阅读(28)  评论(0)    收藏  举报