二叉树的中序遍历
给定一个 二叉树的根节点 root, 返回它的中序遍历。
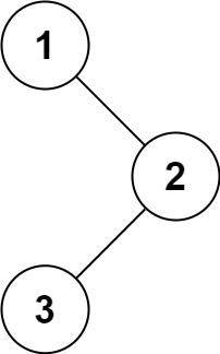
示例 1:

输入:root = [1,null,2,3]
输出:[1,3,2]
示例 2:
输入:root = []
输出:[]
示例 3:
输入:root = [1]
输出:[1]
解题:
使用递归。
# 我用 pycharm编辑, 会报错 AttributeError: 'list' object has no attribute 'left', 目前还不知道啥原因,知道的小伙伴欢迎给我留言
class Solution(object):
def inorderTraversal(self, root):
def inorder(root, res):
if root is None:
return
inorder(root.left, res)
res.append(root.val)
inorder(root.right, res)
res = []
inorder(root, res)
return res

浙公网安备 33010602011771号