二叉树
父节点、子节点、根节点、兄弟节点、叶子节点
- A 节点就是 B 节点的父节点,B 节点是 A 节点的子节点。
- B、C、D 这三个节点的父节点是同一个节点,所以它们之间互称为兄弟节点。
- 没有父节点的节点叫做根节点。
- 没有子节点的节点叫做叶子节点。

高度、深度、层
高度和深度都是从 0 开始。

满二叉树
叶子节点全都在最底层,除了叶子节点之外,每个节点都有左右两个子节点。

完全二叉树
叶子节点都在最底下两层,最后一层叶子结点都靠左排列,除了最后一层,其他层的节点个数要达到最大。

解析
基于数组的顺序存储法,根节点为 1,左子节点为 2i,右子节点为 2i+1,父节点为 Math.floor(i/2),2i>n 则 i 没有左子节点,2i+1>n 则 i 没有右子节点。

遍历
复杂度 O(n)

前序遍历
对于树中的任意节点来说,先打印这个节点,然后再打印它的左子树,最后打印它的右子树。
const preOrder = (node) => {
if (!node) return;
console.log(node.value); // 访问节点
preOrder(node.children ? node.children[0] : null); // 递归左树
preOrder(node.children ? node.children[1] : null); // 递归右数
};
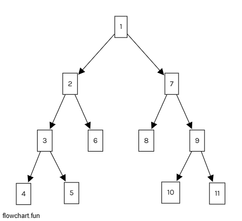
// 1,2,3,4,5,6,7,8,9,10,11
中序遍历
对于树中的任意节点来说,先打印它的左子树,然后再打印这个节点,最后打印它的右子树。
const inOrder = (node) => {
if (!node) return;
inOrder(node.children ? node.children[0] : null); // 递归左树
console.log(node.value); // 访问节点
inOrder(node.children ? node.children[1] : null); // 递归右数
};
// 4,,3,5,2,6,1,8,7,10,9,11
后序遍历
对于树中的任意节点来说,先打印它的左子树,然后再打印它的右子树,最后打印这个节点。
const postOrder = (node) => {
if (!node) return;
postOrder(node.children ? node.children[0] : null); // 递归左树
postOrder(node.children ? node.children[1] : null); // 递归右数
console.log(node.value); // 访问节点
};
// 4,5,3,6,2,8,10,11,9,7,1
层级遍历
按照树的层级顺序打印节点
const levelOrder = (node) => {
if (!node.value) return;
const nodes = []; // 存储节点
let length = []; // 临时数组,循环使用
length.unshift(node); // push根节点
while (length.length !== 0) {
const item = length.shift(); // 从临时数组中拿出
nodes.push(item.value); // push节点列表
const { children } = item; // 遍历子节点
if (children) {
children.forEach((n) => {
length.push(n); // push临时数组
});
}
}
console.log(nodes);
return nodes; // 节点列表
};
// [1, 2, 7, 3, 6, 8, 9, 4, 5, 10, 11]
本文来自博客园,作者:jinzhepro,转载请注明原文链接:https://www.cnblogs.com/jinzhepro/p/19234086

浙公网安备 33010602011771号