重磅消息 | 2025年最新AI+全栈测试开发技能实战指南(第6期)

深度好文,篇幅较长,请耐心看完!
大家好,期盼已久的《全栈测试开发实战训练营》第6期,震撼回归!
1、行业分析
今年是全栈测试开发训练营第6期,本期训练营,首次推出了AI+的模式,所谓的AI+ ,即最新一期训练营中,我们将融合大量AI相关的技术实践,包括AI自动化测试、带领学员从0到1打造一站式AI智能测试平台。
谈到AI,想必大家最近两年都深有感触,特别是今年年初随着DeepSeek爆火,国内外各大AI大语言模型、AI智能助手、AI绘画、AI视频、AI智能体、AI办公等,在我们的工作,我们的周边随处可见。
AI正在快速的重构各个产业,改变着原有的生产方式,更颠覆了很多传统职业。
AI时代给我们带来了非常多的便捷,但与此同时,也让许多人产生了焦虑与不安,行业经常会出现一些议论的声音,比如AI会不会取代我们,再具体一点讲,在企业中,AI会不会取代程序员、设计师、测试工程师等,我们会不会因为AI,失业变得更加严重了,关于AI抢饭碗的讨论,网上可谓是铺天盖地。
特别是最近一年,大家经常会听到这个行业被AI冲击了,明天那个岗位要被AI取代了,但静下来来想想,AI真的有那么可怕吗?它带来,难道就只有危机,没有机遇吗?

针对AI是否会取代我们,我的观点是:会,也不会!为什么这样说。
在当前的大环境下,裁员现象愈发频繁,在AI时代,裁员已经从以前偶发个别事件演变为当今职场的新常态。
无论是从行业发展,还是从企业用人和降本增效的角度,那些被替代的岗位,往往是重复性高、效率低下、思维保守、拒绝学习新事物的群体。所以如果你还是抱着,有一份安稳工作,朝九晚五,每天打打螺丝,两耳不闻窗外事的心态,在AI时代,没有属于自己的核心竞争力,那终究会被时代所抛弃。
DeepSeek的崛起告诉我们,AI技术正在渗透到每一个行业,与此同时,也催生了更多新的职业机会,比如AI工程师、AI测试、大模型应用开发工程师、大模型测试,AI产品经理等等。这些都是高薪且富有前景的岗位,当然这些岗位不仅需要具备掌握相关专业技能,更需要我们具备快速学习和适应变化的能力。
所以,如其担心,自己会不会被裁员,倒不如:拥抱变化、紧跟趋势,持续学习,提升在AI时代难以替代的核心竞争力,掌握相关技能,才是应对未来职场变革的唯一出路。
因此,我的建议:
- 如果你已经遭遇裁员,不要气馁,利用这段时间,学习新技能,提升自己的竞争力。
- 如果你暂时还未受到裁员的影响,也请不要掉以轻心,居安思危、提前规划,没有人能够永远高枕无忧。
2、AI时代,测试开发还有前景吗?
可能有人会说:“老师,都AI时代了,软件测试行业还有前景吗或者说现在才学习测试开发还来得及吗?” 这也是在后台被粉丝问得最多的问题。
我的观点是:AI时代,软件测试行业不仅前景广阔,而且,恰恰是测试开发这类综合性人才大显身手的时候!
虽然,AI人工智能和LLM大语言模型的崛起,极大地提升了我们的工作效率,这毋庸置疑。但大家要知道,工具本身只是赋能,而非替代。
它们无法替代深耕于我们脑海中的专业知识、对业务场景的深刻理解,以及在复杂、模糊场景下进行探索式测试的直觉和经验。这些,恰恰是优秀测试开发工程师的核心竞争力,是属于我们人独有的创新力和创造力。
其实,不管是移动互联网时代还是AI人工智能时代,任何产品系统,无论多么智能,多么强大,其根基都离不开两个字:稳定和质量。用户不会容忍一个功能强大但频繁崩溃、充满bug的AI应用。恰恰相反,AI应用的复杂性和智能化程度越高,其潜在的风险点、边界条件、交互逻辑也越复杂,对质量保障的要求也就越高。

AI时代正在深刻地重构各个产业,这不仅仅是新技术的堆砌,更是业务流程、用户体验、甚至商业模式的重塑。一个AI系统可能涉及到数据采集、模型训练、推理部署、用户交互等多个环节,任何一个环节的疏漏都可能导致系统失效或产生严重后果。这不再仅仅是传统软件测试的范畴,它需要我们测试开发人员具备更广阔的视野和更综合的能力。
行业需要的不再只是会点点鼠标、写写脚本的测试员,而是能够理解AI技术原理、掌握数据质量验证方法、能够设计测试用例覆盖模型推理逻辑、能够监控AI系统运行时表现的全栈测试开发工程师。我们需要能够与数据科学家、算法工程师、产品经理顺畅沟通,从测试和质量的角度为产品提供价值的人。我们需要能够利用AI工具提升自身效率,同时又能发现AI工具本身局限性的人。
在当今的就业环境中,那些能够拿到高薪岗位的人员,往往具备均衡的综合技能。这意味着,如果你想在职场中获得更高的薪资和更好的发展机会,就必须不断提升自己的综合技能。
所以,对于那些还在困惑、甚至有些焦虑的朋友们,我想说:不要给自己设限! AI不是威胁,它是放大器,是催化剂。它放大了优秀人才的效率,也催化了行业对高质量、高可靠性需求的增长。只要你愿意拥抱变化,持续学习,不断拓宽自己的技术边界,提升综合能力,那么在AI时代,测试开发不仅前景广阔,而且将是你大展拳脚、实现自我价值的绝佳舞台!
3、AI+全栈测开训练营解决什么问题?
讲到这里,或许你已经不再怀疑AI时代测试开发的前景,也明确了行业对综合性人才的迫切需求,那么问题来了 ——如何才能成为满足AI时代要求的全栈测试开发工程师呢?
面对 AI 技术与测试开发深度融合的趋势,以及日益复杂的测试场景,仅靠单一技能、碎片化的学习和过往经验,远远不足以应对挑战。正因如此,我们为此去年停更了一年全栈测开训练营,耗时打磨一年,第6期,全新设计了一套紧跟AI最新趋势、实用务实的「AI+全栈测试开发实战训练营」课程,相较于前几期训练营,80%以上的课程都进行了全新内容重构、技能升级。
如何系统地学习AI与测试开发的结合?如何在实际工作中快速应用这些新知识?这些问题正是我们本期推出AI+全栈测试开发实战训练营的初衷。

「AI+全栈测试开发实战训练营」正是为了帮助每一位想转行测试开发或正在从事测试开发想紧跟技术趋势,希望在这个充满机遇的时代中脱颖而出的小伙伴。
无论是刚刚踏入测试领域的新手,还是希望在AI时代提升自身竞争力的资深工程师,这个训练营都将为你提供全方位的支持和指导。在这里,你将学习到AI时代所需的前沿测试开发技能,掌握如何利用AI工具提升测试效率,同时深入理解AI系统的复杂性和潜在风险点,从而更好地保障产品质量。
通过系统化的课程设计、多个实战项目演练以及行业专家的指导,训练营将帮助你构建坚实的AI+全栈测试开发知识体系,让你能够从容应对AI时代带来的各种挑战。
🌟 3.1 课程亮点 🌟
- AI赋能,前沿技术引领: 深度融合AI+LLM+RPA技术,涵盖AI在测试中的应用、LLM大语言模型、机器学习、NLP自然语言处理、Agent智能体、RPA等前沿技术,帮助学员掌握AI驱动的测试开发技能。
- 全栈思维,系统性学习:从需求分析到测试交付,构建完整的AI+全栈测试开发知识体系,涵盖自动化测试、性能测试、安全测试、CICD、容器技术、测试平台、AI\LLM等多个领域。
- 实战为王,项目驱动学习: 引入多个真实项目实战,模拟企业级开发场景,让学员在实践中积累经验,提升解决复杂问题的能力。
- 专家指导,个性化成长: 由行业资深专家亲授,提供一对一辅导,为学员量身定制职业发展路径,助力快速成长。
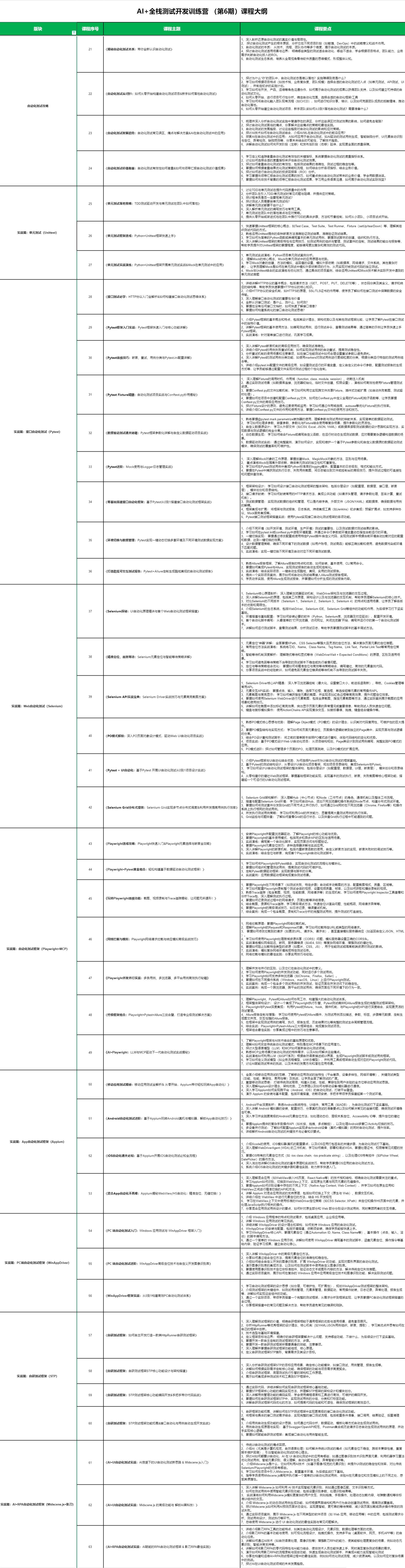
3.2 课程大纲
本期训练营课程经过全新量身定制,共包括:27大技能版块、121节直播大课(平均每节大课2小时),涵盖超过1000个硬核知识技能,详细内容如下,完整课程详细大纲可联系老师(WX:762357658)获取。
27大技能版块:
- 1、开营典礼
- 2、测试基本功
- 3、Linux技术必备
- 4、Git代码管理
- 5、MySQL数据库
- 6、Python编程速成
- 7、自动化测试攻略
- 8、实战篇:单元测试(Unittest)
- 9、实战篇:接口自动化测试(Pytest)
- 10、实战篇:Web自动化测试(Selenium)
- 11、实战篇:自动化测试框架(Playwright+MCP)
- 12、实战篇:App自动化测试框架(Appium)
- 13、实战篇:PC端自动化测试框架(WinAppDriver)
- 14、实战篇:自研测试框架(STP)
- 15、实战篇:AI+RPA自动化测试框架(Midscene.js+影刀)
- 16、性能测试工程
- 17、实战篇:性能压测工具(JMeter)
- 18、实战篇:性能分析调优
- 19、安全渗透测试
- 20、CI/CD 技术体系 (DevOps)
- 21、静态代码分析(SonarQube)
- 22、Docker与Kubernetes容器技术
- 23、Web前端开发
- 24、Django Web后端开发
- 25、AI人工智能与LLM大模型
- 26、一站式AI智能测试平台开发
- 27、职业发展 & 简历、求职、面试
加粗对应技能版块,都将融入结合大量的AI相关技术实践,毫不夸张的说,光其中的一站式AI智能测试平台开发这项技能学习,其价值就远超1W+。
27大技能版块(思维导图版):

这套课程内容最大的目的,就是帮助入职就业,所讲的所有知识点都是为了帮助大家更好的去迎合AI时代市场需求,包括我们会讲到AI时代所需要具备的测试开发必备技能、掌握了哪些知识可以从容地应对面试、市场岗位的需求等等。
课程大纲详细内容(表格版):





Excel版完整课程详细大纲,需要报名的同学,可联系老师(WX:762357658)进行获取。
4、常见问题答疑
Q:上课老师是谁?
A: 狂师,十多年测试开发、团队管理、研发管理及研发效能提升经验,曾在多个行业领域任职,担任过研发质量总监、测试总监、架构师等职位。公众号「测试开发技术」号主、2020年电子工业出版社畅销书《自动化测试实战宝典》作者、腾讯云、阿里云社区技术专家。授课风格,通俗易懂且富有风趣!
Q:以什么形式上课?
A: 本期采用线上直播授课,支持任何端、且不受地域时间限制, 学员可随时接入上课。老师通过远程视频共享桌面,实战课程都是边敲代码边讲解,紧跟工作实际需求、技术实战为主,趣味互动教学,拒绝照本宣科的念课件。
Q:上课时间怎么安排?
本期正式开课时间为2025年8月23号,上课时间暂定为:周一周五晚上(20:0021:30) 周六~周日白天 (10:00~12:00 14:0017:30),平均每节课1.52个小时左右。后期结合课程进度和学员掌握情况,课程时间可能会适当调整,以保证学员学习效果。
Q:课程怎么收费?
A: 秉承口碑第一的原则,本期将持续保持市场同类知识学习最高性价比服务于广大测试同学,且本期将不涨价,恢复与第3期原价,本期训练营仅需5799元,平均每节大课也就四十来元左右,提前透露一下,下期训练营价格会上涨。
Q:现在报名,有什么优惠福利?
A:本期仍采取:”一朝学生,终身辅导“机制,此外,为了感谢广大粉丝的支持,本期报名学员,特别设置了10大学员福利:
-
1、AI+全栈测开训练营课程每年都会根据当前技术趋势, 对内容升级一次,本期前100名学员可享受免费跟学后续训练营课程特权福利。(每期名额有限,仅限前100名)
-
2、永久免费加入学员专享知识星球社群: 「测试开发学苑」,非训练营学员单独加入的话,每年是199元。
-
3、免费加入测开成长陪跑营专享学习内部社区:「测试开发VIP俱乐部」,单独加入的话,价格为1499,该社区覆盖测开求职一站式知识体系,测开求职遇到的各种技术和非技术问题,都可以来这这里找答案。里面整理各种学习资源,满足不同需求学员学习,且学习资源将持续更新。
-
4、提供《测试开发面试宝典》知识库,结合自己10年+面试官经验,面试题均收集于近1-2年大厂测开面试真题,涵盖计算机网络,数据库,操作系统,Linux,编程语言基础(Java,Python),数据结构与算法,软件测试理论(包含用例设计),软件测试实践(接口测试,自动化测试,性能测试),测试方案设计场景题,中间件、AI大模型、大数据、机器学习、HR面试非技术问题等,适用于参加软件测试、测试开发岗位面试的校招应届生以及社招同学。
-
5、免费加入学员专享内部社区:「面试直通车」,单独加入的话,价格为499,该社区,将老师过往十多年的面试经验,思考,都汇总到这。面试全流程覆盖:从简历优化→笔试技巧→面试模拟→薪资谈判,一站式解决求职难题,求职面试遇到的所有问题,来这找答案或求职建议。面试前,看完社区贴子,能解决求职面试95%以上的问题。
-
6、提供1V1简历诊断优化指导,根据学员简历、面试表现进行个性化指导,帮助修改简历、模拟面试并给出针对性建议。
-
7、提供1V1实战模拟面试(1小时内),提供详细的反馈和面试改进建议。(光这点值2000)
-
8、提供行业定制《简历模板库》,适合校招、社招,不同行业风格的简历。(有现成模板示例供参考)
-
9、提供《求职导航-岗位精选查询与名企热招》,汇聚全国各省主流招聘网站 (包含国内互联网大厂、央企招聘官网汇总)快速筛选出匹配的岗位。
-
10、增设满勤打卡奖,针对本期训练营直播上课满勤打卡的学员,本期课程结束后,奖金最高可返现1000元。(不搞虚的,坚持学习打卡,就能拿现金返现,算是学员激励)
光这10大学员福利特权,加起来,价值绝不低于5000元。另外,为了鼓励以老带新,凡是训练营正式学员无论是今年新报名的学员,还是之前的老学员,每推荐一名新学员,可以额外奖励1000元,推荐越多,现金奖励越多,最高1万封顶。
Q:需要编程基础么?
A:零编程基础完全可以学,开设本课程非常注重开发创新思维的培养,通过技术思维去解决测试工作中实际问题。所以,一般报名的同学如果具备一定的编程基础会更好,不过,本期训练营课程有专门针对编程技能学习的课程,且配套的学员专享学习社区里,也会配套有大量相关学习资料,所以,不用担心,即使是编码零基础,只要你肯学习,肯定没问题。
Q:没有来得及赶上直播课怎么办,有回放么?
A: 本期训练营采用:实时线上直播授课+全程回放录制,如果你有事不能来上课,可以课后看课程视频回放,且回放不限制时间、支持无限次回放,支持PC端、APP端查看课程回放。除了课程回放,还会配套有随堂笔记、课程所需工具包、相关课件、项目实战代码等学习资料(都会免费提供给学员)。
Q:学不会怎么办?
A: 学习新知识如果要真正做到学以致用,除了直播上课认真听讲外, 一般推荐课后结合课程回放、随堂笔记、老师敲定的重点,至少要巩固2~3遍+刻意练习。如果你这一期学不会,下一期开班可以继续免费跟着学,直到你学会为止。(本期前100名报名的学员将会保留永久跟学的福利特权)
Q:这个训练营适合我吗?
本期训练营以 “AI + 全栈测试开发” 为核心,课程设计兼顾理论与实战项目演练,学习内容从基础原理到前沿技术全覆盖,这就决定了它适配不同经验层次的人群。
对于测试行业新人,训练营会从零开始讲解全栈测试开发的底层逻辑,结合 AI 工具使用场景,帮助快速入门,掌握独立完成测试项目的能力;
对于资深从业者,训练营会深入剖析 AI 在自动化测试、性能测试、测试平台等复杂场景下的高阶应用,提供行业创新案例和实践经验分享,助力其紧跟技术潮流,实现技术能力与职业竞争力的双重提升。
所以,无论你是职场新人还是经验丰富的老手,都能在这个训练营中找到适合自己的学习内容,实现个人技术能力的进阶。
这里偷偷透露一下,在往期学员里,最大的学员年龄有45岁,有二十多年的职场经验老炮,最小的是21岁,大学刚毕业,且这些学员都取得了不错的学习收获,因此,方向选择对了,再下点功夫,年龄这些都不是问题。
Q:学完能涨工资吗?
A:全栈测开训练营承诺用心教好技术、学习方法,但不承诺包就业、找工作,坚守秉承:“授人以授鱼,不如授人以渔”。
如果你抱着:“三天打鱼,两天晒网”的心态,那奉劝你就不要报名了。另外训练营由于是知识技能类培训,正式报名后不支持退学,如果还没有考虑清楚在AI时代,是否打算投资提升自己,建议先想清楚。
但只要你认真学,课程收获一定会让你物超所值,按照前几期学员在学习后换工作涨薪效果来说,大多数学员涨薪区间都能保持在30%~80% 左右,涨幅最高的学员,学完后换了份新工作,月薪直接涨了13000+元。且在目前的老学员中,薪资最高的已经可以拿到40K+ 了(你别不信,这是老学员用努力换来的事实)
5、如何报名?
A:可以扫描下方二维码或者直接添加老师微信:jinjian_762357658 ,进行报名。在正式开课前,都可以报名,如需要报名参加的同学,欢迎联系咨询老师。

学员报名后,老师会将本期学员10大学习福利,课前资料、训练营学员必读事项等一并发送给你。
6、最后
在这个快速变化的时代,唯有不断学习和提升,才能让自己立于不败之地。2025年,让我们一起迎接挑战,共创未来!有投入才有产出,要做到:不失业、不被裁员、每月10k+的薪资涨幅,需要你持续努力至少半年!
期待在《全栈测试开发实战训练营》第6期中,与你相见,共同成长!🚀

浙公网安备 33010602011771号