| \(y=y=\arctan{\frac{1}{x}}+{\sqrt{3-x}}\)的定义域为? |
\(y=(-\infty,0)\cup(0,3]\) |
| 设 \(y=\lim_{x\to0}\frac{x}{f(2x)}=2\),则\(y=\operatorname*{lim}_{x\to0}{\frac{f\left(3x\right)}{\sin x}}\)=? |
|
|
所以\(y=x^3+2x^2+x/sin x\) |
|
\(y=\frac1{1-x}\) |
|
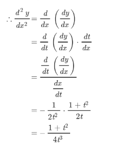
原式=\(y=\frac{d(y^{\prime})}{dy}=\frac{dy^{\prime}/dx}{dy/dx}=\frac{\frac{-y^{\prime\prime}}{(y^{\prime})^{2}}}{\frac{1}{y^{\prime}}}=\frac{y^{\prime\prime}}{(y^{\prime})^{3}}\) |
|
50 49 48 …… 1 -1 -2 ……-50\(y=\begin{pmatrix}50!\end{pmatrix}^2\) |
|
|
|
|
|
|
|
 |
|
|
|
 |
|
|
|
|
求导 |
|
|
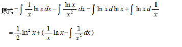
答案:cos (sin x)f’[f(x)] 和 {f[f(x)]}’不一样前者:cos (sin x)后者:cos (sin x ) cos x |
|
|
|
|
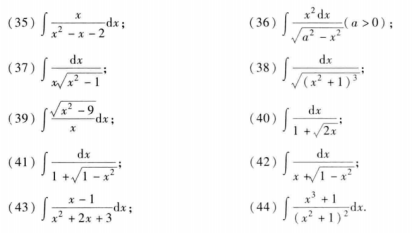
| \(y=\lim_{x\to\infty}(1+\frac{x}{3}+\frac{x^{2}}{5})^{x}\) |
|
| \(y=\lim_{x\to\infty}(e^x+x)^{\frac1x}\) |
|
 |











 |
| \(y=\frac{x^2\arctan x}{1+x^2}\) |
X2=(x2+1)-1原式=arctanx - arctanx/(1+x2) |
| \(y=f(x)=\int_0^{2x}f\left(\frac t2\right)dt+\ln2\) |
法一:设f(x)=A+ln2法二:左右同时求导,可分离变量 |
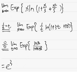
| \(y=\int\frac{x\ln x-\ln x}{x^2}dx\) |
|
| \(y=\int\frac{\sqrt{x}}{\sqrt{x}-1}dx\) |
\(y=\sqrt{x}=t\) |
|
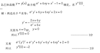
将2代入1,y’’=esinx0>0,所以凹的,又f’(x)=0,所以极小值。 |
 |
C |
|
|
|
\(\operatorname*{lim}_{x\to+\infty}\frac{e^{x}+1}{e^{x}+x}=1\) |