经济电流密度-1
我们也按经济电流密度选择电缆和导线,关于经济电流密度的计算,有介绍,但是都不足以完全能够实用。
这里介绍一下《车间电力线路-设计与敷设问题》这本前苏联书籍的计算方法;
这本书非常严谨和实用,介绍了理论,公式推导、图表和例子,每一个都介绍的非常清楚,值得学习。
在保证供电可靠和安全的前提下,研究导线的截面与电能损耗和费用的影响关系是很有必要的。
1. 电缆价格的计算:
考虑电缆的截面与费用的关系,不能仅仅考虑铜材多少的影响,还有考虑敷设方式、敷设费用等,通常采用如下的公式计算:
A= a+b*q
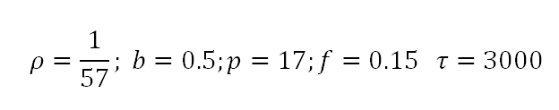
q:导体截面 ; a:不变的费用,包括人工费和桥架等固定费用; b:t铜的价格等变动费用(元/m.mm2);
2. 按折旧率p%计算的年费用:
Bc=p%*(a+b*q );
3. 同一线路的每单位长度上,全年电能损耗的价格:

f: 每度电的价格(元);ρ:电阻率; τ:全年工作时间;I:计算电流;
4. 全年最小费用计算:
全年的费用B由下式确定:

上式对q求导,得出:

时,B的费用最低
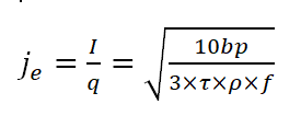
5. 经济电流密度:
从上式可计算经济电流密度为:

这个公式称为汤姆逊(克利文)公式,是著名的经济电流密度公式。
这里要注意的是电流I ,既可以是有效值,也可以是最大值,电流I和时间τ要对应;
如果电流是全年电流的有效值,那么τ=8760 ,则,经济电流密度为:

6. 示例

7. 关于经济电流密度的几个说明:
7.1 在电网配电通常按经济电流密度选择导体,在低压电网选择时遇到阻力,主要是认识不到位,低压的损耗由高压线路提供,损耗增加将引起高压线路投资的增高;
7.2 按照统计,从发动机到最终用户,线路的变压器的损耗找到25%,因此线路减少损耗还是非常必要的 ;
7.3 线路上的节省,会引起电站装置上铜的过量消耗;
7.4 截面小时,差距大;截面大时,差距很小;比如截面150的电缆为1.9A/mm2 ,差距很小
浙公网安备 33010602011771号