工厂配电设计-2
本文介绍关于变压器的选择
1. 变压器的额定容量应当相当于半小时或一小时的最高负荷;
2. 变压器允许在最大负荷期间过载(一般为3%)
3. 变压器一昼夜的负荷系数:

Pcp:有功负荷的平均值;
PMax:有功负荷的最大值;
负荷系数每低10%,变压器允许在最大负荷期间过载3%,最多不超过15%;
如果 在负载最大的班次中Kf=1.02 ,那么 α=0.75,在这种情况下,在负荷强度没有变动的两班工作制中,一昼夜的负荷系数为0.5.利用3%的规则,
可以允许变压器在所有时间内有最高为15%的过载;
此时变压器的额定容量Sn可以选用等于0.87SMax,或者因为Pcp:=0.75PMax, Sθ=1.02Scp ,因此 Sn=1.11Sθ;
Sθ 为每班内的负荷均方根值。
因此可以有以下结论:
变压器的额定容量,在不缩短其使用寿命的情况下,可以选择接近甚至等于最大负荷班次内的负荷的均方根值。
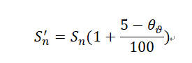
4. 变压器容量的折算
变压器的容量要根据实际的工作环境温度进行折算:

θ为全年平均温度, 当温度为20℃时

浙公网安备 33010602011771号