标签平滑Label Smoothing Demo(附pytorch的NLLLoss(),gather())
PS:mnist直接套上LabelSmoothing的外壳?没问题,跳转https://www.cnblogs.com/jie-74/p/15686550.html

LabelSmoothing.py
import torch import torch.nn as nn import torch.nn.functional as F from torch.autograd import Variable # Wangleiofficial # https://github.com/pytorch/pytorch/issues/7455#issuecomment-720100742 class LabelSmoothingLoss(torch.nn.Module): def __init__(self, smoothing: float = 0.1, reduction="mean", weight=None): super(LabelSmoothingLoss, self).__init__() self.smoothing = smoothing self.reduction = reduction self.weight = weight def reduce_loss(self, loss): return loss.mean() if self.reduction == 'mean' else loss.sum() \ if self.reduction == 'sum' else loss def linear_combination(self, x, y): return self.smoothing * x + (1 - self.smoothing) * y def forward(self, preds, target): assert 0 <= self.smoothing < 1 if self.weight is not None: self.weight = self.weight.to(preds.device) n = preds.size(-1) log_preds = F.log_softmax(preds, dim=-1) loss = self.reduce_loss(-log_preds.sum(dim=-1)) nll = F.nll_loss( log_preds, target, reduction=self.reduction, weight=self.weight ) return self.linear_combination(loss / n, nll) # NVIDIA # https://github.com/NVIDIA/DeepLearningExamples/blob/8d8b21a933fff3defb692e0527fca15532da5dc6/PyTorch/Classification/ConvNets/image_classification/smoothing.py#L18 class LabelSmoothing(nn.Module): """NLL loss with label smoothing. """ def __init__(self, smoothing=0.0): # 平滑因子 """Constructor for the LabelSmoothing module. :param smoothing: label smoothing factor """ super(LabelSmoothing, self).__init__() self.confidence = 1.0 - smoothing self.smoothing = smoothing def forward(self, x, target): logprobs = torch.nn.functional.log_softmax(x, dim=-1) # x: (batch size * class数量),即log(p(k)) nll_loss = -logprobs.gather(dim=-1, index=target.unsqueeze(1)) # target: (batch size) 数字标签 # 相当于取出logprobs中的真实标签的那个位置的logit的负值 nll_loss = nll_loss.squeeze(1) # (batch size * 1)再squeeze成batch size,即log(p(k))δk,y,δk,y表示除了k=y时该值为1,其余为0 smooth_loss = -logprobs.mean(dim=-1) # 在class维度取均值,就是对每个样本x的所有类的logprobs取了平均值。 # smooth_loss = -log(p(k))u(k) = -log(p(k))∗ 1/k loss = self.confidence * nll_loss + self.smoothing * smooth_loss # (batch size) # loss = (1−ϵ)log(p(k))δk,y + ϵlog(p(k))u(k) return loss.mean() # −∑ k=1~K [(1−ϵ)log(p(k))δk,y+ϵlog(p(k))u(k)] if __name__=="__main__": # Wangleiofficial crit = LabelSmoothingLoss(smoothing=0.3, reduction="mean") predict = torch.FloatTensor([[0, 0.2, 0.7, 0.1, 0], [0, 0.9, 0.2, 0.2, 1], [1, 0.2, 0.7, 0.9, 1]]) v = crit(Variable(predict), Variable(torch.LongTensor([2, 1, 0]))) print(v) # NVIDIA crit = LabelSmoothing(smoothing=0.3) predict = torch.FloatTensor([[0, 0.2, 0.7, 0.1, 0], [0, 0.9, 0.2, 0.2, 1], [1, 0.2, 0.7, 0.9, 1]]) v = crit(Variable(predict), Variable(torch.LongTensor([2, 1, 0]))) print(v) # tensor(1.3883) # tensor(1.3883)
上面代码可以直接跑出LS的结果
两个LS的实现方法来源于
# Wangleiofficial
# https://github.com/pytorch/pytorch/issues/7455#issuecomment-720100742
# NVIDIA
# https://github.com/NVIDIA/DeepLearningExamples/blob/8d8b21a933fff3defb692e0527fca15532da5dc6/PyTorch/Classification/ConvNets/image_classification/smoothing.py#L18

主要讲解NVIDIA里的实现过程
class LabelSmoothing(nn.Module): """NLL loss with label smoothing. """ def __init__(self, smoothing=0.0): # 平滑因子 """Constructor for the LabelSmoothing module. :param smoothing: label smoothing factor """ super(LabelSmoothing, self).__init__() self.confidence = 1.0 - smoothing self.smoothing = smoothing def forward(self, x, target): logprobs = torch.nn.functional.log_softmax(x, dim=-1) # x: (batch size * class数量),即log(p(k)) nll_loss = -logprobs.gather(dim=-1, index=target.unsqueeze(1)) # target: (batch size) 数字标签 # 相当于取出logprobs中的真实标签的那个位置的logit的负值 nll_loss = nll_loss.squeeze(1) # (batch size * 1)再squeeze成batch size,即log(p(k))δk,y,δk,y表示除了k=y时该值为1,其余为0 smooth_loss = -logprobs.mean(dim=-1) # 在class维度取均值,就是对每个样本x的所有类的logprobs取了平均值。 # smooth_loss = -log(p(k))u(k) = -log(p(k))∗ 1/k loss = self.confidence * nll_loss + self.smoothing * smooth_loss # (batch size) # loss = (1−ϵ)log(p(k))δk,y + ϵlog(p(k))u(k) return loss.mean() # −∑ k=1~K [(1−ϵ)log(p(k))δk,y+ϵlog(p(k))u(k)]
LS通俗易懂的推导
https://blog.csdn.net/weixin_41811314/article/details/115863126 保姆级代码

狄拉克delta
讲解NLLLoss()和CrossEntropyLoss()的区别
https://blog.csdn.net/qq_22210253/article/details/85229988/
使用NLLLoss()的时候(即Negative Log Likelihood Loss),需要在网络的最后输出层加上激活函数,这也正是likelihood的定义,即输出一个概率;而使用CrossEntropyLoss()的时候,网络的最后输出不要加激活,在 CrossEntropyLoss()中会帮我们完成此操作
NLLLoss (Negative Log Likelihood Loss)翻译为 “负对数似然损失函数”,但并不计算对数,只是利用对数运算后的值(故需要和LogSofmax组合),进一步结合真实标签计算“负对数似然值”。 “似然”的含义为:所求概率分布与真实概率分布的相似程度。在分类任务中,“似然”的含义就是预测值与真实标签(one-hot类型)的接近程度(实质没有改变)。
pytorch中的CrossEntropyLoss中是结合了logsoftmax和Nllloss
softmax,取自然对数后,与Label对应的那个值拿出来,再取相反数,再求均值(除以样本数)。
Pytorch中的torch.gather函数详解,从抽象到具体
https://blog.csdn.net/weixin_41811314/article/details/115869024
torch.gather(input, dim, index, *, sparse_grad=False, out=None)
dim=1时,out[i][j][k] = input[i][index[i][j][k]][k]
out[i][j][k]就是先获取index[i][j][k],设为a,dim为1,结果即为input[i][a][k]
input是个仓库


更宏观的理解
也就是说,对于out中的每一个{m}位置,我们都去input这个仓库里找到对应的那一个点!
找到那一个点之后,我们从这个点出发,发射一条只照亮"dim"这条线的光线,在这条光线上再根据index找到我们真正需要的那个点就行了!
----------------------------------------------------------------------------一种新的LabelSmoothing计算方法 ----------------------------------------------------------------------------
2021-12-14
https://mp.weixin.qq.com/s/S2fOvfY1PL7t7kNuUtKSnQ

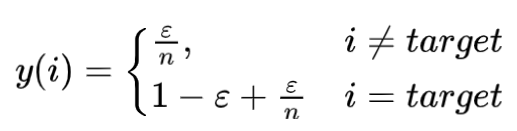
设置成on_value和off_value,打开那个变成1-epsilon+epsilon/n
def one_hot(x, num_classes, on_value=1., off_value=0., device='cuda'): x = x.long().view(-1, 1) return torch.full((x.size()[0], num_classes), off_value, device=device).scatter_(1, x, on_value) def mixup_target(target, num_classes, lam=1., smoothing=0.0, device='cuda'): off_value = smoothing / num_classes on_value = 1. - smoothing + off_value y1 = one_hot(target, num_classes, on_value=on_value, off_value=off_value, device=device) y2 = one_hot(target.flip(0), num_classes, on_value=on_value, off_value=off_value, device=device) return y1 * lam + y2 * (1. - lam)
上面说的按照单标签推公式的,理应可以推广到多标签
浙公网安备 33010602011771号