论文《Movement Pruning: Adaptive Sparsity by Fine-Tuning》
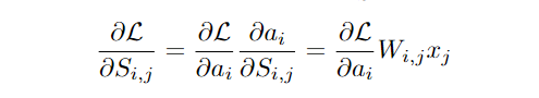
论文提出里一种movement pruning,该方法将在训练的过程中同时更新模型权重和权重的重要分数,同时提出里两种修剪版本:硬和软。硬剪枝直接取前v%的权重,软剪枝则设定一个分数阈值,权重分数超过该阈值则选择保留。反向传播时,权重分数的梯度计算如下。

L为损失函数,S为分数,W为权重,其中
,M是Mask编码。

图一时传统的幅度剪枝,着重与剪除权重值接近0的部分。图二是该论文的剪枝,能够剪去各个区域的权重(不关权重大小)。
开源代码:https://github.com/huggingface/block_movement_pruning

浙公网安备 33010602011771号