可视化图解算法35:在二叉树中找到两个节点的最近公共祖先(二叉树的最近公共祖先)
1. 题目
描述
给定一棵二叉树(保证非空)以及这棵树上的两个节点对应的val值 o1 和 o2,请找到 o1 和 o2 的最近公共祖先节点。
数据范围:树上节点数满足 1≤n≤105 , 节点值val满足区间 [0,n)
要求:时间复杂度 O(n)
注:本题保证二叉树中每个节点的val值均不相同。
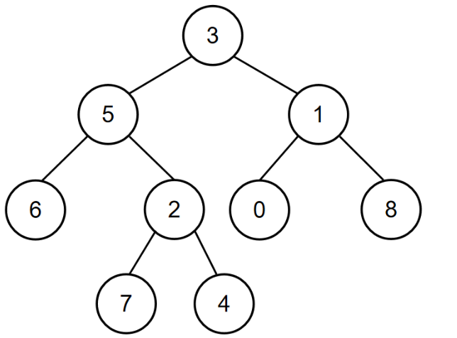
如当输入{3,5,1,6,2,0,8,#,#,7,4},5,1时,二叉树{3,5,1,6,2,0,8,#,#,7,4}如下图所示:

所以节点值为5和节点值为1的节点的最近公共祖先节点的节点值为3,所以对应的输出为3。
节点本身可以视为自己的祖先
示例1
输入:
{3,5,1,6,2,0,8,#,#,7,4},5,1
返回值:
3
示例2
输入:
{3,5,1,6,2,0,8,#,#,7,4},2,7
返回值:
2
2. 解题思路
本题求解的是普通二叉树的公共祖先,即二叉树的节点值没有规律性(与二叉搜索树不同),因此只能分不同情况进行处理:
情况1:节点的值等于给定的值(满足给定的值p或q之一即可),该节点就是最近公共祖先
情况2:节点的值不等于给定的值,这时只能从左右子树中查找:
-
从节点的左子树中找;
-
从节点的右子树中找;
-
返回对应的节点:
①如果左右子树的结果都为null,返回null(说明左右子树中都没有公共祖先);
②左子树或右子树的结果有一个为null,返回不为null的结果(说明公共祖先存在于不为空的子树中);
③左右子树的结果都不为空,返回当前节点(说明当前节点为公共祖先)。
采用递归的方式查找公共祖先节点。
递推公式如下:

如果文字描述的不太清楚,你可以参考视频的详细讲解。
- Python版本:https://www.bilibili.com/cheese/play/ep1372246
- Java版本:https://www.bilibili.com/cheese/play/ep1367354
- Golang版本:https://www.bilibili.com/cheese/play/ep1364779
3. 编码实现
核心代码如下:
/**
* 代码中的类名、方法名、参数名已经指定,请勿修改,直接返回方法规定的值即可
*
*
* @param root TreeNode类
* @param o1 int整型
* @param o2 int整型
* @return int整型
*/
func lowestCommonAncestor(root *TreeNode, o1 int, o2 int) int {
// write code here
return recursion(root, o1, o2).Val
}
func recursion(root *TreeNode, v1 int, v2 int) *TreeNode {
// 2. 递归终止条件:节点为空,直接返回
if root == nil {
return nil
}
// 1. 问题分解(递推公式)
// 1.1 节点的值等于给定的值,该节点就是最近公共祖先
if root.Val == v1 || root.Val == v2 {
return root
}
// 1.2 节点的值不等于给定的值
// 1.2.1 到左子树中找
left := recursion(root.Left, v1, v2)
// 1.2.2 到右子树中找
right := recursion(root.Right, v1, v2)
// 1.2.3 返回节点
if left == nil && right == nil {
//左右子树都没有找到,返回nil
return nil
} else if left == nil && right != nil {
//左子树都没有找到,右子树找到,返回右子树
return right
} else if left != nil && right == nil {
//右子树都没有找到,左子树找到,返回左子树
return left
} else {
//左右子树都找到,返回当前节点
return root
}
}
具体完整代码你可以参考下面视频的详细讲解。
- Python版本:https://www.bilibili.com/cheese/play/ep1372246
- Java版本:https://www.bilibili.com/cheese/play/ep1367354
- Golang版本:https://www.bilibili.com/cheese/play/ep1364779
4.小结
普通二叉树公共祖先的查找需要从左右子树中分别查找,再依据查找的结果进行判断:如果左右子树有一个子树查找到,则返回对应的子树;如果都查找到则返回当前的节点(当前节点就是公共祖先);如果都没有查找到,则返回Null。

《数据结构与算法》深度精讲课程正式上线啦!七大核心算法模块全解析:
✅ 链表
✅ 二叉树
✅ 二分查找、排序
✅ 堆、栈、队列
✅ 回溯算法
✅ 哈希算法
✅ 动态规划
无论你是备战笔试面试、提升代码效率,还是突破技术瓶颈,这套课程都将为你构建扎实的算法思维底座。🔥立即加入学习打卡,与千名开发者共同进阶!
- Python编码实现:https://www.bilibili.com/cheese/play/ss897667807
- Java编码实现:https://www.bilibili.com/cheese/play/ss161443488
- Golang编码实现:https://www.bilibili.com/cheese/play/ss63997
对于二叉树的相关算法,我们总结了一套【可视化+图解】方法,依据此方法来解决相关问题,算法变得易于理解,写出来的代码可读性高也不容易出错。具体也可以参考视频详细讲解。
今日佳句:北方有佳人,绝世而独立。一顾倾人城,再顾倾人国。

对于二叉树的相关算法,我们总结了一套【可视化+图解】方法,依据此方法来解决相关问题,算法变得易于理解,写出来的代码可读性高也不容易出错。
浙公网安备 33010602011771号