可视化图解算法33:判断是不是平衡二叉树
1. 题目
描述
输入一棵节点数为 n 的二叉树,判断该二叉树是否是平衡二叉树。
在这里,我们只需要考虑其平衡性,不需要考虑其是不是排序二叉树
平衡二叉树(Balanced Binary Tree),具有以下性质:它是一棵空树或它的左右两个子树的高度差的绝对值不超过1,并且左右两个子树都是一棵平衡二叉树。
样例解释:

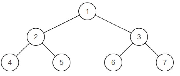
样例二叉树如图,为一颗平衡二叉树
注:我们约定空树是平衡二叉树。
数据范围:n≤100,树上节点的val值满足 0 ≤n≤1000
要求:空间复杂度O(1),时间复杂度 O(n)
输入描述:
输入一棵二叉树的根节点
返回值描述:
输出一个布尔类型的值
示例1
输入:
{1,2,3,4,5,6,7}
返回值:
true
示例2
输入:
{}
返回值:
true
2. 解题思路
先来看平衡二叉树的性质:
平衡二叉树(Balanced Binary Tree),具有以下性质:它是一棵空树或它的左右两个子树的高度差的绝对值不超过1,并且左右两个子树都是一棵平衡二叉树。
因此可以借助二叉树的高度来判断是否为平衡二叉树。整体思路为:先计算左右子树的高度,再比较左右子树的高度差(如果高度差大于1,则不是平衡二叉树)。
①对每一个节点的左右子树进行比较;②如果左子树不是平衡二叉树,就没有必要对右子树进行是否平衡的判断;③采用递归的方式对左右子树进行判断。
由于要采用递归来实现平衡二叉树的判断,因此需要验证是否满足递归的两个条件:


可以看出,求解二叉树平衡性的判断满足递归的两个条件,因此可以采用递归的方法来求解。由于平衡性的判断依赖于二叉树的高度,二叉树的高度求解参考前序文章《可视化图解算法25:二叉树的最大深度(高度)》,二叉树高度求解对应的递推公式如下:

接下来就可以依据二叉树的高度进行平衡性的判断,先求解二叉树的左右子树的高度,再判断左右子树高度差是否超过1,如果超过1则不是平衡二叉树。
如果文字描述的不太清楚,你可以参考视频的详细讲解。
- Python编码:https://www.bilibili.com/cheese/play/ep1372113
- Java编码:https://www.bilibili.com/cheese/play/ep1367352
- Golang编码:https://www.bilibili.com/cheese/play/ep1364777
3. 编码实现
核心代码如下:
/**
* 代码中的类名、方法名、参数名已经指定,请勿修改,直接返回方法规定的值即可
*
*
* @param pRoot TreeNode类
* @return bool布尔型
*/
func IsBalanced_Solution(pRoot *TreeNode) bool {
// write code here
treeDepth(pRoot)
return isBalanced
}
var isBalanced = true
func treeDepth(root *TreeNode) int {
// 2. 递归终止条件
if root == nil {
return 0
}
// 1. 问题分解
// 1.1 求解左子树的高度
l := treeDepth(root.Left)
// 1.2 求解右子树的高度
r := treeDepth(root.Right)
if math.Abs(float64(l-r)) > 1 {
isBalanced = false // 不是平衡树,更改全局变量
return -1 // 加一个标记-1,已经不可能是平衡树了(减少递归计算次数),直接返回
}
// 1.3 求解当前树的高度
dep := math.Max(float64(l), float64(r)) + 1
return int(dep)
}
具体完整代码你可以参考下面视频的详细讲解。
- Python编码:https://www.bilibili.com/cheese/play/ep1372113
- Java编码:https://www.bilibili.com/cheese/play/ep1367352
- Golang编码:https://www.bilibili.com/cheese/play/ep1364777
4.小结
二叉树平衡性的判断,可以通过二叉树的高度来完成,即先求解二叉树的左右子树的高度,再判断左右子树高度差是否超过1,如果超过1则不是平衡二叉树。

《数据结构与算法》深度精讲课程正式上线啦!七大核心算法模块全解析:
✅ 链表
✅ 二叉树
✅ 二分查找、排序
✅ 堆、栈、队列
✅ 回溯算法
✅ 哈希算法
✅ 动态规划
无论你是备战笔试面试、提升代码效率,还是突破技术瓶颈,这套课程都将为你构建扎实的算法思维底座。🔥立即加入学习打卡,与千名开发者共同进阶!
- Python编码实现:https://www.bilibili.com/cheese/play/ss897667807
- Java编码实现:https://www.bilibili.com/cheese/play/ss161443488
- Golang编码实现:https://www.bilibili.com/cheese/play/ss63997
对于二叉树的相关算法,我们总结了一套【可视化+图解】方法,依据此方法来解决相关问题,算法变得易于理解,写出来的代码可读性高也不容易出错。具体也可以参考视频详细讲解。
今日佳句:长风破浪会有时,直挂云帆济沧海。

对于二叉树的相关算法,我们总结了一套【可视化+图解】方法,依据此方法来解决相关问题,算法变得易于理解,写出来的代码可读性高也不容易出错。
浙公网安备 33010602011771号