【遗传】genetic model
检测方法

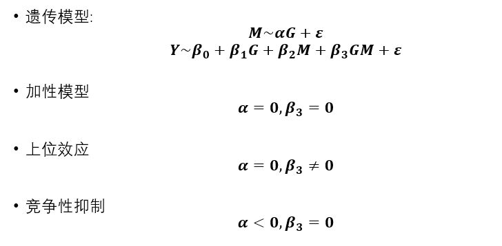
根据两个基因间的关系讨论,得到不同的遗传模型。
遗传模型

【理解】
| 模型 | 基因位置 | 基因间关系 | 概念 |
| 加性模型 | 独立效应 | 两个基因独立对表型起作用。α=0,β3=0 | |
| 上位模型 | 不同基因座 | 相互作用 | 不同基因座上的两个基因的相互作用对表型偏差。α=0,β3≠0 |
| 显性模型 | 同基因座 | 相互作用 | 同基因座上的两个基因的相互作用对表型偏差。α≠0,β3≠0 |
| 竞争抑制 | 抑制作用 | 一个基因突变消除另一个基因突变。α<0,β3=0 |
遗传方差:遗传方差又称表型方差(phenotypic variance),通常结合基因型方差(genotype variance)和环境方差(environmental variance)。
遗传方差主要包括三方面:加性遗传方差(Additive genetic variance)、显性遗传方差(Dominance genetic variance)和上位遗传方差(Epistatic genetic variance)
如下图所示:
假设有三个基因座(locus 1, locus 2, locus 3)导致糖尿病,三个基因座有各自对应的等位基因A,B,C,D,a,b,c,d。
加性遗传方差(Additive genetic variance):指的是等位基因A对于糖尿病这个表型的独立效应,而产生的表型偏差。
显性遗传方差(Dominance genetic variance):指的是基因座2上B和C相互作用而导致糖尿病表型的差异。
上位遗传方差(Epistatic genetic variance):指的是不同基因座上的基因(比如A和B, A和C, A和D, B和D, B和C, C和D等)相互作用导致糖尿病的表型差异。
基因间的相互作用又称上位性(duEpistasis)或基因间互作(zhiInter-genic interaction)。

参考:https://www.cnblogs.com/chenwenyan/p/5443079.html
如何理解交互作用?
假设在某种疾病中,有A和B两种因素与疾病正相关。可以推测,同时暴露在A和B因素下的人患病的风险,会高于仅暴露于A或B因素下的人。
但遇到一个问题是,有时候前者的风险比后者高太多了。这该如何解释?
思考1:A和B是独立作用的。同时暴露在A和B因素下的人患病的风险,会约等于仅暴露于A或B因素下的风险之和。即AB = A+ B
生物学上的解释为假设A作用于某条通路,B独立地作用于另一条通路,那么同时暴露于两个因素时,其风险在数学上可以解释为A+B或A×B。
思考2:A和B不是独立作用的。同时暴露在A和B因素下的人患病的风险,会远高于仅暴露于A或B因素下的风险之和。即AB >> A+ B
生物学上的解释为可能有一条通路,是A和B同时参与的。所以当同时暴露于两个因素时,除了他们各管各的,还打开了其他的通路。
这就是交互作用。最常见的研究就是某个基因异常与某个环境因素的交互作用,还有基因-基因交互作用的研究。当我们有了假设,就可以从统计上做个交互分析来检验。
上边的A+B和A×B,指代统计学上的两种交互模型,一个是相加尺度交互模型,一个相乘尺度交互模形。分析危险因素时最常用的logistic回归,本质上是相乘模型。

Eur J Epidemiol. 2005;20(7):575-9.
如图,纵坐标表示风险,U表是未暴露,第二和第三根柱子分别是单独暴露于基因突变和吸烟时的风险,第四根柱子就是同时暴露于两因素时,风险竟然比叠加要高这么多。
如果想要通过logistic回归找到有统计学意义的危险因素,再检测它们在相加尺度上的交互作用,就需要经过一些变换。
需要计算的统计量
要知道两因素在相加尺度上是否发生了交互作用,就需要知道三个值:
交互作用相对超额危险度(Relative Excess Risk of Interaction,RERI)
归因比(Attributable Proportion,AP)
协同指数(Synergy Index,S)
如果没有发生交互作用,那么RERI和AP等于0,S等于1。更准确地说,是RERI和AP的置信区间包含0,S的置信区间包含1。反之则可认为发生了交互作用。
参考:https://www.dxy.cn/bbs/newweb/pc/post/39087005

浙公网安备 33010602011771号