分布式锁用 Redis 还是 Zookeeper?
分布式锁用 Redis 还是 Zookeeper?
为什么用分布式锁?
在讨论这个问题之前,我们先来看一个业务场景:
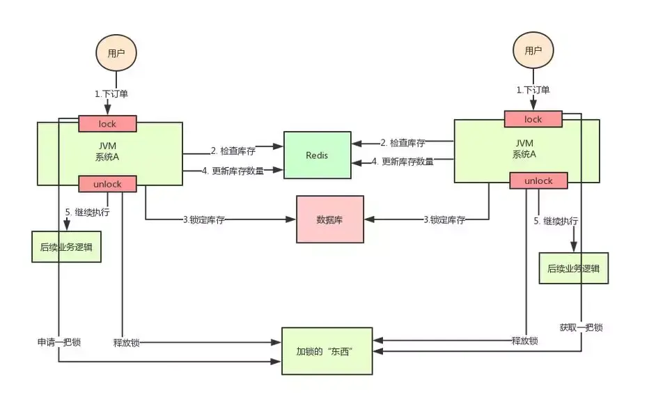
系统 A 是一个电商系统,目前是一台机器部署,系统中有一个用户下订单的接口,但是用户下订单之前一定要去检查一下库存,确保库存足够了才会给用户下单。
由于系统有一定的并发,所以会预先将商品的库存保存在 redis 中,用户下单的时候会更新 redis 的库存。
此时系统架构如下:

但是这样一来会产生一个问题:假如某个时刻,redis 里面的某个商品库存为 1,此时两个请求同时到来,其中一个请求执行到上图的第 3 步,更新数据库的库存为 0,但是第 4 步还没有执行。
而另外一个请求执行到了第 2 步,发现库存还是 1,就继续执行第 3 步。
这样的结果,是导致卖出了 2 个商品,然而其实库存只有 1 个。
很明显不对啊!这就是典型的库存超卖问题
此时,我们很容易想到解决方案:用锁把 2、3、4 步锁住,让他们执行完之后,另一个线程才能进来执行第 2 步。

按照上面的图,在执行第 2 步时,使用 Java 提供的 synchronized 或者 ReentrantLock 来锁住,然后在第 4 步执行完之后才释放锁。
这样一来,2、3、4 这 3 个步骤就被 “锁” 住了,多个线程之间只能串行化执行。
但是好景不长,整个系统的并发飙升,一台机器扛不住了。现在要增加一台机器,如下图:

增加机器之后,系统变成上图所示,我的天!
假设此时两个用户的请求同时到来,但是落在了不同的机器上,那么这两个请求是可以同时执行了,还是会出现库存超卖的问题。
为什么呢?因为上图中的两个 A 系统,运行在两个不同的 JVM 里面,他们加的锁只对属于自己 JVM 里面的线程有效,对于其他 JVM 的线程是无效的。
因此,这里的问题是:Java 提供的原生锁机制在多机部署场景下失效了
这是因为两台机器加的锁不是同一个锁 (两个锁在不同的 JVM 里面)。
那么,我们只要保证两台机器加的锁是同一个锁,问题不就解决了吗?
此时,就该分布式锁隆重登场了,分布式锁的思路是:
在整个系统提供一个全局、唯一的获取锁的 “东西”,然后每个系统在需要加锁时,都去问这个“东西” 拿到一把锁,这样不同的系统拿到的就可以认为是同一把锁。
至于这个 “东西”,可以是 Redis、Zookeeper,也可以是数据库。
文字描述不太直观,我们来看下图:

通过上面的分析,我们知道了库存超卖场景在分布式部署系统的情况下使用 Java 原生的锁机制无法保证线程安全,所以我们需要用到分布式锁的方案。
那么,如何实现分布式锁呢?接着往下看!
基于 Redis 实现分布式锁
上面分析为啥要使用分布式锁了,这里我们来具体看看分布式锁落地的时候应该怎么样处理。扩展:Redisson 是如何实现分布式锁的?
最常见的一种方案就是使用 Redis 做分布式锁
使用 Redis 做分布式锁的思路大概是这样的:在 redis 中设置一个值表示加了锁,然后释放锁的时候就把这个 key 删除。
具体代码是这样的:
// 获取锁
// NX是指如果key不存在就成功,key存在返回false,PX可以指定过期时间
SET anyLock unique_value NX PX 30000
// 释放锁:通过执行一段lua脚本
// 释放锁涉及到两条指令,这两条指令不是原子性的
// 需要用到redis的lua脚本支持特性,redis执行lua脚本是原子性的
if redis.call("get",KEYS[1]) == ARGV[1] then
return redis.call("del",KEYS[1])
else
return 0
end
这种方式有几大要点:
- 一定要用 SET key value NX PX milliseconds 命令
如果不用,先设置了值,再设置过期时间,这个不是原子性操作,有可能在设置过期时间之前宕机,会造成死锁 (key 永久存在) - value 要具有唯一性
这个是为了在解锁的时候,需要验证 value 是和加锁的一致才删除 key。
这是避免了一种情况:假设 A 获取了锁,过期时间 30s,此时 35s 之后,锁已经自动释放了,A 去释放锁,但是此时可能 B 获取了锁。A 客户端就不能删除 B 的锁了。

除了要考虑客户端要怎么实现分布式锁之外,还需要考虑 redis 的部署问题。
redis 有 3 种部署方式:
- 单机模式
- master-slave + sentinel 选举模式
- redis cluster 模式
使用 redis 做分布式锁的缺点在于:如果采用单机部署模式,会存在单点问题,只要 redis 故障了。加锁就不行了。
采用 master-slave 模式,加锁的时候只对一个节点加锁,即便通过 sentinel 做了高可用,但是如果 master 节点故障了,发生主从切换,此时就会有可能出现锁丢失的问题。
基于以上的考虑,其实 redis 的作者也考虑到这个问题,他提出了一个 RedLock 的算法,这个算法的意思大概是这样的:
假设 redis 的部署模式是 redis cluster,总共有 5 个 master 节点,通过以下步骤获取一把锁:
- 获取当前时间戳,单位是毫秒
- 轮流尝试在每个 master 节点上创建锁,过期时间设置较短,一般就几十毫秒
- 尝试在大多数节点上建立一个锁,比如 5 个节点就要求是 3 个节点(n / 2 +1)
- 客户端计算建立好锁的时间,如果建立锁的时间小于超时时间,就算建立成功了
- 要是锁建立失败了,那么就依次删除这个锁
- 只要别人建立了一把分布式锁,你就得不断轮询去尝试获取锁
但是这样的这种算法还是颇具争议的,可能还会存在不少的问题,无法保证加锁的过程一定正确。

另一种方式:Redisson
此外,实现 Redis 的分布式锁,除了自己基于 redis client 原生 api 来实现之外,还可以使用开源框架:Redission
Redisson 是一个企业级的开源 Redis Client,也提供了分布式锁的支持。我也非常推荐大家使用,为什么呢?
回想一下上面说的,如果自己写代码来通过 redis 设置一个值,是通过下面这个命令设置的。
- SET anyLock unique_value NX PX 30000
这里设置的超时时间是 30s,假如我超过 30s 都还没有完成业务逻辑的情况下,key 会过期,其他线程有可能会获取到锁。
这样一来的话,第一个线程还没执行完业务逻辑,第二个线程进来了也会出现线程安全问题。所以我们还需要额外的去维护这个过期时间,太麻烦了~
我们来看看 redisson 是怎么实现的?先感受一下使用 redission 的爽:
Config config = new Config();
config.useClusterServers()
.addNodeAddress("redis://192.168.31.101:7001")
.addNodeAddress("redis://192.168.31.101:7002")
.addNodeAddress("redis://192.168.31.101:7003")
.addNodeAddress("redis://192.168.31.102:7001")
.addNodeAddress("redis://192.168.31.102:7002")
.addNodeAddress("redis://192.168.31.102:7003");
RedissonClient redisson = Redisson.create(config);
RLock lock = redisson.getLock("anyLock");
lock.lock();
lock.unlock();
就是这么简单,我们只需要通过它的 api 中的 lock 和 unlock 即可完成分布式锁,他帮我们考虑了很多细节:
- redisson 所有指令都通过 lua 脚本执行,redis 支持 lua 脚本原子性执行
- redisson 设置一个 key 的默认过期时间为 30s, 如果某个客户端持有一个锁超过了 30s 怎么办?
redisson 中有一个watchdog的概念,翻译过来就是看门狗,它会在你获取锁之后,每隔 10 秒帮你把 key 的超时时间设为 30s
这样的话,就算一直持有锁也不会出现 key 过期了,其他线程获取到锁的问题了。 - redisson 的 “看门狗” 逻辑保证了没有死锁发生。
(如果机器宕机了,看门狗也就没了。此时就不会延长 key 的过期时间,到了 30s 之后就会自动过期了,其他线程可以获取到锁)

这里稍微贴出来其实现代码:
// 加锁逻辑
private <T> RFuture<Long> tryAcquireAsync(long leaseTime, TimeUnit unit, final long threadId) {
if (leaseTime != -1) {
return tryLockInnerAsync(leaseTime, unit, threadId, RedisCommands.EVAL_LONG);
}
// 调用一段lua脚本,设置一些key、过期时间
RFuture<Long> ttlRemainingFuture = tryLockInnerAsync(commandExecutor.getConnectionManager().getCfg().getLockWatchdogTimeout(), TimeUnit.MILLISECONDS, threadId, RedisCommands.EVAL_LONG);
ttlRemainingFuture.addListener(new FutureListener<Long>() {
@Override
public void operationComplete(Future<Long> future) throws Exception {
if (!future.isSuccess()) {
return;
}
Long ttlRemaining = future.getNow();
// lock acquired
if (ttlRemaining == null) {
// 看门狗逻辑
scheduleExpirationRenewal(threadId);
}
}
});
return ttlRemainingFuture;
}
<T> RFuture<T> tryLockInnerAsync(long leaseTime, TimeUnit unit, long threadId, RedisStrictCommand<T> command) {
internalLockLeaseTime = unit.toMillis(leaseTime);
return commandExecutor.evalWriteAsync(getName(), LongCodec.INSTANCE, command,
"if (redis.call('exists', KEYS[1]) == 0) then " +
"redis.call('hset', KEYS[1], ARGV[2], 1); " +
"redis.call('pexpire', KEYS[1], ARGV[1]); " +
"return nil; " +
"end; " +
"if (redis.call('hexists', KEYS[1], ARGV[2]) == 1) then " +
"redis.call('hincrby', KEYS[1], ARGV[2], 1); " +
"redis.call('pexpire', KEYS[1], ARGV[1]); " +
"return nil; " +
"end; " +
"return redis.call('pttl', KEYS[1]);",
Collections.<Object>singletonList(getName()), internalLockLeaseTime, getLockName(threadId));
}
// 看门狗最终会调用了这里
private void scheduleExpirationRenewal(final long threadId) {
if (expirationRenewalMap.containsKey(getEntryName())) {
return;
}
// 这个任务会延迟10s执行
Timeout task = commandExecutor.getConnectionManager().newTimeout(new TimerTask() {
@Override
public void run(Timeout timeout) throws Exception {
// 这个操作会将key的过期时间重新设置为30s
RFuture<Boolean> future = renewExpirationAsync(threadId);
future.addListener(new FutureListener<Boolean>() {
@Override
public void operationComplete(Future<Boolean> future) throws Exception {
expirationRenewalMap.remove(getEntryName());
if (!future.isSuccess()) {
log.error("Can't update lock " + getName() + " expiration", future.cause());
return;
}
if (future.getNow()) {
// reschedule itself
// 通过递归调用本方法,无限循环延长过期时间
scheduleExpirationRenewal(threadId);
}
}
});
}
}, internalLockLeaseTime / 3, TimeUnit.MILLISECONDS);
if (expirationRenewalMap.putIfAbsent(getEntryName(), new ExpirationEntry(threadId, task)) != null) {
task.cancel();
}
}
另外,redisson还提供了对redlock算法的支持,
它的用法也很简单:
RedissonClient redisson = Redisson.create(config);
RLock lock1 = redisson.getFairLock("lock1");
RLock lock2 = redisson.getFairLock("lock2");
RLock lock3 = redisson.getFairLock("lock3");
RedissonRedLock multiLock = new RedissonRedLock(lock1, lock2, lock3);
multiLock.lock();
multiLock.unlock();
小结:
本节分析了使用redis作为分布式锁的具体落地方案
以及其一些局限性
然后介绍了一个redis的客户端框架redisson,
这也是我推荐大家使用的,
比自己写代码实现会少care很多细节。
基于 zookeeper 实现分布式锁
常见的分布式锁实现方案里面,除了使用 redis 来实现之外,使用 zookeeper 也可以实现分布式锁。
在介绍 zookeeper(下文用 zk 代替) 实现分布式锁的机制之前,先粗略介绍一下 zk 是什么东西:
Zookeeper 是一种提供配置管理、分布式协同以及命名的中心化服务。
zk 的模型是这样的:zk 包含一系列的节点,叫做 znode,就好像文件系统一样每个 znode 表示一个目录,然后 znode 有一些特性:
-
有序节点:假如当前有一个父节点为
/lock,我们可以在这个父节点下面创建子节点;
zookeeper 提供了一个可选的有序特性,例如我们可以创建子节点 “/lock/node-” 并且指明有序,那么 zookeeper 在生成子节点时会根据当前的子节点数量自动添加整数序号
也就是说,如果是第一个创建的子节点,那么生成的子节点为/lock/node-0000000000,下一个节点则为/lock/node-0000000001,依次类推。 -
临时节点:客户端可以建立一个临时节点,在会话结束或者会话超时后,zookeeper 会自动删除该节点。
-
事件监听:在读取数据时,我们可以同时对节点设置事件监听,当节点数据或结构变化时,zookeeper 会通知客户端。当前 zookeeper 有如下四种事件:
-
- 节点创建
- 节点删除
- 节点数据修改
- 子节点变更
基于以上的一些 zk 的特性,我们很容易得出使用 zk 实现分布式锁的落地方案:
- 使用 zk 的临时节点和有序节点,每个线程获取锁就是在 zk 创建一个临时有序的节点,比如在 / lock / 目录下。
- 创建节点成功后,获取 / lock 目录下的所有临时节点,再判断当前线程创建的节点是否是所有的节点的序号最小的节点
- 如果当前线程创建的节点是所有节点序号最小的节点,则认为获取锁成功。
- 如果当前线程创建的节点不是所有节点序号最小的节点,则对节点序号的前一个节点添加一个事件监听。
比如当前线程获取到的节点序号为/lock/003, 然后所有的节点列表为[/lock/001,/lock/002,/lock/003], 则对/lock/002这个节点添加一个事件监听器。
如果锁释放了,会唤醒下一个序号的节点,然后重新执行第 3 步,判断是否自己的节点序号是最小。
比如/lock/001释放了,/lock/002监听到时间,此时节点集合为[/lock/002,/lock/003], 则/lock/002为最小序号节点,获取到锁。
整个过程如下:

具体的实现思路就是这样,至于代码怎么写,这里比较复杂就不贴出来了。
Curator 介绍
Curator 是一个 zookeeper 的开源客户端,也提供了分布式锁的实现。
他的使用方式也比较简单:
InterProcessMutex interProcessMutex = new InterProcessMutex(client,"/anyLock");
interProcessMutex.acquire();
interProcessMutex.release();
其实现分布式锁的核心源码如下:
private boolean internalLockLoop(long startMillis, Long millisToWait, String ourPath) throws Exception
{
boolean haveTheLock = false;
boolean doDelete = false;
try {
if ( revocable.get() != null ) {
client.getData().usingWatcher(revocableWatcher).forPath(ourPath);
}
while ( (client.getState() == CuratorFrameworkState.STARTED) && !haveTheLock ) {
// 获取当前所有节点排序后的集合
List<String> children = getSortedChildren();
// 获取当前节点的名称
String sequenceNodeName = ourPath.substring(basePath.length() + 1); // +1 to include the slash
// 判断当前节点是否是最小的节点
PredicateResults predicateResults = driver.getsTheLock(client, children, sequenceNodeName, maxLeases);
if ( predicateResults.getsTheLock() ) {
// 获取到锁
haveTheLock = true;
} else {
// 没获取到锁,对当前节点的上一个节点注册一个监听器
String previousSequencePath = basePath + "/" + predicateResults.getPathToWatch();
synchronized(this){
Stat stat = client.checkExists().usingWatcher(watcher).forPath(previousSequencePath);
if ( stat != null ){
if ( millisToWait != null ){
millisToWait -= (System.currentTimeMillis() - startMillis);
startMillis = System.currentTimeMillis();
if ( millisToWait <= 0 ){
doDelete = true; // timed out - delete our node
break;
}
wait(millisToWait);
}else{
wait();
}
}
}
// else it may have been deleted (i.e. lock released). Try to acquire again
}
}
}
catch ( Exception e ) {
doDelete = true;
throw e;
} finally{
if ( doDelete ){
deleteOurPath(ourPath);
}
}
return haveTheLock;
}
其实 curator 实现分布式锁的底层原理和上面分析的是差不多的。这里我们用一张图详细描述其原理:

小结:
本节介绍了 zookeeperr 实现分布式锁的方案以及 zk 的开源客户端的基本使用,简要的介绍了其实现原理。相关可以参考:肝一下 ZooKeeper 实现分布式锁的方案,附带实例!
两种方案的优缺点比较
学完了两种分布式锁的实现方案之后,本节需要讨论的是 redis 和 zk 的实现方案中各自的优缺点。
对于 redis 的分布式锁而言,它有以下缺点:
- 它获取锁的方式简单粗暴,获取不到锁直接不断尝试获取锁,比较消耗性能。
- 另外来说的话,redis 的设计定位决定了它的数据并不是强一致性的,在某些极端情况下,可能会出现问题。锁的模型不够健壮
- 即便使用 redlock 算法来实现,在某些复杂场景下,也无法保证其实现 100% 没有问题,关于 redlock 的讨论可以看 How to do distributed locking
- redis 分布式锁,其实需要自己不断去尝试获取锁,比较消耗性能。
但是另一方面使用 redis 实现分布式锁在很多企业中非常常见,而且大部分情况下都不会遇到所谓的 “极端复杂场景”
所以使用 redis 作为分布式锁也不失为一种好的方案,最重要的一点是 redis 的性能很高,可以支撑高并发的获取、释放锁操作。
对于 zk 分布式锁而言:
- zookeeper 天生设计定位就是分布式协调,强一致性。锁的模型健壮、简单易用、适合做分布式锁。
- 如果获取不到锁,只需要添加一个监听器就可以了,不用一直轮询,性能消耗较小。
但是 zk 也有其缺点:如果有较多的客户端频繁的申请加锁、释放锁,对于 zk 集群的压力会比较大。
小结:
综上所述,redis 和 zookeeper 都有其优缺点。我们在做技术选型的时候可以根据这些问题作为参考因素。
建议
通过前面的分析,实现分布式锁的两种常见方案:redis 和 zookeeper,他们各有千秋。应该如何选型呢?
就个人而言的话,我比较推崇 zk 实现的锁:
因为 redis 是有可能存在隐患的,可能会导致数据不对的情况。但是,怎么选用要看具体在公司的场景了。
如果公司里面有 zk 集群条件,优先选用 zk 实现,但是如果说公司里面只有 redis 集群,没有条件搭建 zk 集群。
那么其实用 redis 来实现也可以,另外还可能是系统设计者考虑到了系统已经有 redis,但是又不希望再次引入一些外部依赖的情况下,可以选用 redis。
这个是要系统设计者基于架构的考虑了
写下你的评论...
写的很棒!
好是好,但无关内容太多。能看懂结论的人无需看前面的内容。需要了解前面基础知识的人也看不懂后面的结论。
"在某些极端情况下,可能会出现问题。锁的模型不够健壮",这个能否举个例子?
Redis 集群是 AP 模型,而 zookeeper 是 CP 模型.这就意味着,Redis 在搞主从复制时突然宕机,锁可能会丢失.
哈哈哈,写的很棒,加油
如果是敏感且性能要求比较高的场景,建议使用 zk 锁。在程序异常崩溃后,redis 锁不会被立马释放的,需要等过期时间后才能释放。
没考虑中间件主备切换么?
总结到位,归结源头就是 redis 并不是强一致,不管哪种部署模式在极限情况都可能丢失,而且还要管糟心的过期时间,一个字就是繁杂……zk 作为分布式锁的两个天生特性:强一致 + watcher。理论上 zk 更适合做分布式锁,但工程上由于 redis 的极高效率且实践上并没有那么多‘极限情况’发生,估计就是折中权衡吧,以上个人理解

浙公网安备 33010602011771号