Python实现计算圆周率π的值到任意位的方法示例
这篇文章主要介绍了Python实现计算圆周率π的值到任意位的方法,简单分析了圆周率的计算原理,并结合实例形式分析了Python计算圆周率的相关操作技巧,需要的朋友可以参考下
本文实例讲述了Python实现计算圆周率π的值到任意位的方法。分享给大家供大家参考,具体如下:
一、需求分析
输入想要计算到小数点后的位数,计算圆周率π的值。
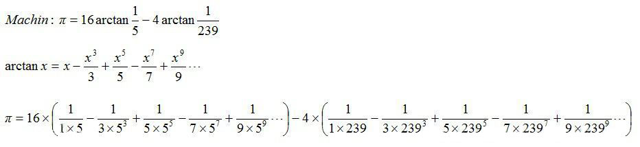
二、算法:马青公式
π/4=4arctan1/5-arctan1/239
这个公式由英国天文学教授约翰·马青于1706年发现。他利用这个公式计算到了100位的圆周率。马青公式每计算一项可以得到1.4位的十进制精度。因为它的计算过程中被乘数和被除数都不大于长整数,所以可以很容易地在计算机上编程实现。

三、python语言编写出求圆周率到任意位的程序如下:
# -*- coding: utf-8 -*-
#遇到问题没人解答?小编创建了一个Python学习交流QQ群:778463939
#寻找有志同道合的小伙伴,互帮互助,群里还有不错的视频学习教程和PDF电子书!
from __future__ import division
####################导入时间模块
import time
###############计算当前时间
time1=time.time()
################算法根据马青公式计算圆周率####################
number = int(raw_input('请输入想要计算到小数点后的位数n:'))
# 多计算10位,防止尾数取舍的影响
number1 = number+10
# 算到小数点后number1位
b = 10**number1
# 求含4/5的首项
x1 = b*4//5
# 求含1/239的首项
x2 = b// -239
# 求第一大项
he = x1+x2
#设置下面循环的终点,即共计算n项
number *= 2
#循环初值=3,末值2n,步长=2
for i in xrange(3,number,2):
# 求每个含1/5的项及符号
x1 //= -25
# 求每个含1/239的项及符号
x2 //= -57121
# 求两项之和
x = (x1+x2) // i
# 求总和
he += x
# 求出π
pai = he*4
#舍掉后十位
pai //= 10**10
############ 输出圆周率π的值
paistring=str(pai)
result=paistring[0]+str('.')+paistring[1:len(paistring)]
print result
time2=time.time()
print u'总共耗时:' + str(time2 - time1) + 's'
运行结果:
请输入想要计算到小数点后的位数n:20
3.14159265358979323846
总共耗时:9.77699995041s
请输入想要计算到小数点后的位数n:50
3.14159265358979323846264338327950288419716939937510
总共耗时:2.30099987984s
运行截图如下:


本文来自博客园,作者:I'm_江河湖海,转载请注明原文链接:https://www.cnblogs.com/jhhh/p/16761723.html

浙公网安备 33010602011771号