python中常用的九种预处理方法
本文总结的是我们大家在python中常见的数据预处理方法,以下通过sklearn的preprocessing模块来介绍;
1.标准化(Standardization or Mean Removal and Variance Scaling)
变换后各维特征有0均值,单位方差。也叫z-score规范化(零均值规范化)。计算方式是将特征值减去均值,除以标准差。
sklearn.preprocessing.scale(X)
一般会把train和test集放在一起做标准化,或者在train集上做标准化后,用同样的标准化器去标准化test集,此时可以用scaler
scaler = sklearn.preprocessing.StandardScaler().fit(train)
scaler.transform(train)
scaler.transform(test)
实际应用中,需要做特征标准化的常见情景:SVM
2. 最小-最大规范化
最小-最大规范化对原始数据进行线性变换,变换到[0,1]区间(也可以是其他固定最小最大值的区间)
min_max_scaler = sklearn.preprocessing.MinMaxScaler()
min_max_scaler.fit_transform(X_train)
3.规范化(Normalization)
规范化是将不同变化范围的值映射到相同的固定范围,常见的是[0,1],此时也称为归一化。
将每个样本变换成unit norm。
X = [[ 1, -1, 2],[ 2, 0, 0], [ 0, 1, -1]]
sklearn.preprocessing.normalize(X, norm='l2')
得到:
array([[ 0.40, -0.40, 0.81], [ 1, 0, 0], [ 0, 0.70, -0.70]])
可以发现对于每一个样本都有,0.42+0.42+0.81^2=1,这就是L2 norm,变换后每个样本的各维特征的平方和为1。类似地,L1 norm则是变换后每个样本的各维特征的绝对值和为1。还有max norm,则是将每个样本的各维特征除以该样本各维特征的最大值。
在度量样本之间相似性时,如果使用的是二次型kernel,需要做Normalization
4. 特征二值化(Binarization)
给定阈值,将特征转换为0/1
binarizer = sklearn.preprocessing.Binarizer(threshold=1.1)
binarizer.transform(X)
5. 标签二值化(Label binarization)
lb = sklearn.preprocessing.LabelBinarizer()
6. 类别特征编码
有时候特征是类别型的,而一些算法的输入必须是数值型,此时需要对其编码。
'''
遇到问题没人解答?小编创建了一个Python学习交流QQ群:778463939
寻找有志同道合的小伙伴,互帮互助,群里还有不错的视频学习教程和PDF电子书!
'''
enc = preprocessing.OneHotEncoder()
enc.fit([[0, 0, 3], [1, 1, 0], [0, 2, 1], [1, 0, 2]])
enc.transform([[0, 1, 3]]).toarray() #array([[ 1., 0., 0., 1., 0., 0., 0., 0., 1.]])
上面这个例子,第一维特征有两种值0和1,用两位去编码。第二维用三位,第三维用四位。
另一种编码方式
newdf=pd.get_dummies(df,columns=["gender","title"],dummy_na=True)
7.标签编码(Label encoding)
'''
遇到问题没人解答?小编创建了一个Python学习交流QQ群:778463939
寻找有志同道合的小伙伴,互帮互助,群里还有不错的视频学习教程和PDF电子书!
'''
le = sklearn.preprocessing.LabelEncoder()
le.fit([1, 2, 2, 6])
le.transform([1, 1, 2, 6]) #array([0, 0, 1, 2])
#非数值型转化为数值型
le.fit(["paris", "paris", "tokyo", "amsterdam"])
le.transform(["tokyo", "tokyo", "paris"]) #array([2, 2, 1])
8.特征中含异常值时
sklearn.preprocessing.robust_scale
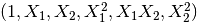
9.生成多项式特征
这个其实涉及到特征工程了,多项式特征/交叉特征。
poly = sklearn.preprocessing.PolynomialFeatures(2)
poly.fit_transform(X)
原始特征:
转化后:
本文来自博客园,作者:I'm_江河湖海,转载请注明原文链接:https://www.cnblogs.com/jhhh/p/16760960.html

浙公网安备 33010602011771号