数模-符号运算(不定积分和定积分的计算)

%% 不定积分
clear;clc
syms x
y = x^2
int(y,x)
% x^3/3 注意,Matlab计算时不会给我们加上常数C
syms x
y = 1/x
int(y,x)
% log(x) 注意,Matlab计算1/x形式的不定积分时不会给我们加上绝对值~
syms x
y = x^2 / (1+x^2)
int(y,x)
% x - atan(x)
syms x
y = 1/(exp(x)+1)
int(y,x)
% x - log(exp(x) + 1)
syms x a
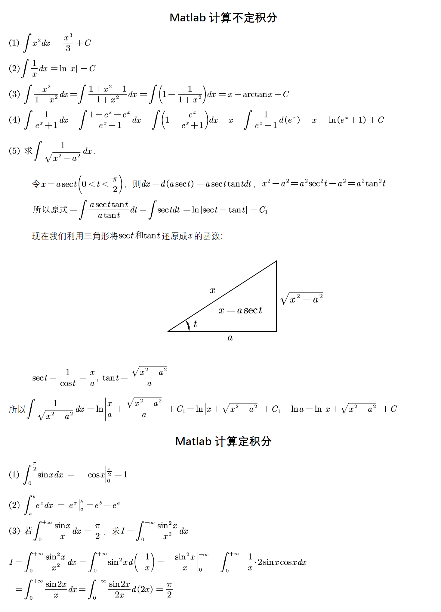
y = 1/sqrt(x^2-a^2)
int(y,x)
% log(x + (x^2 - a^2)^(1/2))
%% 定积分
syms x
y = sin(x)
int(y,x,0,pi/2)
% 1
syms x a b
y = exp(x)
int(y,x,a,b)
% exp(b) - exp(a)
syms x
y = (sin(x))^2 / x^2
b=int(y,x,0,+inf)
% pi/2
% 注意,不是所有的函数都可以利用int函数计算出最后的结果,例如:
syms x
y = 1 / exp(x) * log(x+2*x^2+sin(x))
int(y,x,0,4)
% int(exp(-x)*log(x + sin(x) + 2*x^2), x, 0, 4)
% 我们可以计算数值积分:数值积分可用于求定积分的近似值。在数值分析中,数值积分是计算定积分数值的方法和理论。
% 在数学分析中,给定函数的定积分的计算不总是可行的,许多定积分不能用已知的积分公式得到精确值。
y = @(x) 1 ./ exp(x) .* log(x+2.*x.^2+sin(x)) % 注意,写成函数句柄时,要用点乘或者点除
integral(y,0,4)
xx = 0:0.1:4;
yy = 1 ./ exp(xx) .* log(xx+2*xx.^2+sin(xx));
plot(xx,yy,'-')
针对最后这个函数进行绘图


转载请注明出处,欢迎讨论和交流!

浙公网安备 33010602011771号