Excel炒股法:猜大盘成交量

每天看盘,有一个常规动作,总要点开上证指数的日线,看看预计成交量,由此来估算当天的走势强弱。

试着用excel做一个。

首先,取上近期的日线数据,再把实时的成交量数据取到,用我上次的去日线数据的接口就可以了

image

但今天的成交量怎么估算呢?需要历史的分钟走势数据,公开接口取不到。我就用聚宽的模拟功能,把每分钟的成交量抓下来

image

存到test.json文件中

image

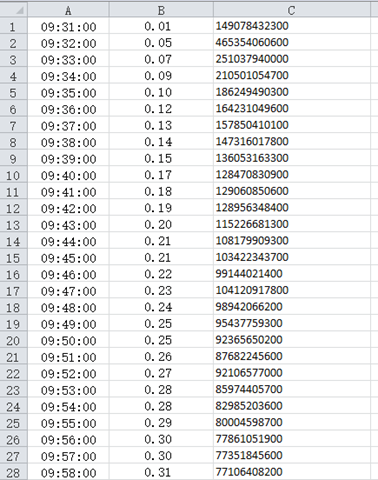
再把数据整理一下,导入到xls中,计算每分钟成交量的分位

image

有了这个,估算就比较简单了

image

优化一下显示效果,每次取最近30天的数据,还不错

image

posted @ 2025-12-11 13:48  jetz  阅读(40)  评论(0)    收藏  举报