AI-统计学习(10)-拉格朗日对偶性-求极值必备
我们经常要做的就是求解极值,最大或者最小。为了数学方便,引入的是拉格朗日乘子和对偶性。在求解极值的其实就是关注d*(最优值) C(约束) p*(最优概率)。如果不想看推导,可直接看总结的红字即可。
1.拉格朗日对偶性及其推导
2.定理
2.1定理1 d* C p*关系
2.2定理2 d*= p* 等号成立的条件(凸集、凸优化问题)
2.3定理3 著名的KKT条件(5个)x*,a*,b*满足5个条件
X*就是原问题的最优解。
a*,b*就是对偶问题的最优解
1.拉格朗日对偶性及其推导
1.1 原始问题
Minf(x)

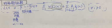
1.2加入了拉格朗日函数

1.3根据拉格朗日函数定义了原始问题的对偶性
简而言之 Minmax=maxmin

1.4推导过程
1.4.1原始问题 函数表达式和约束(不等式约束和等式约束)
1.4.2 拉格朗日函数
1.4.3 代入拉格朗日函数
取约束条件最大化
取fx最小化
约束条件最优于是值最优

1.4.3名词 目标函数、优化变量、可行域、最优值、最优解、约束条件
目标函数:f(x)
优化变量:x
可行域:等式、不等式的交集

最优值:x*
最优解:P*
约束条件:C
求解目标:

1.5结论:
根据拉格朗日函数定义了原始问题的对偶问题(关于a、b求目标函数的极大值)。
原始问题相当于Min max拉格朗日函数
对偶问题相当于max min拉格朗日函数

2.定理
2.1定理1 d* C p*关系
原始问题:
对偶问题:
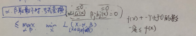
求最优值的关系:
过程:
a最优值描述 没对x做任何约束
![]()
b 取最小时,等式变换

c ab取最小时,去掉后等式变换

d 得最优概率 P*
总结:1.d*<=p*对偶问题的最优值提供了原问题的极小值的下界
2.原始问题求极小值,极小值最小不能小过d*
3. C d*
P* 对偶问题与原始问题的关系
d*<=p*,我们关心的是=成立 即 d*=p*
2.2定理2 d*= p* 等号成立的条件
2.2.1成立的条件两个
原问题是凸优化问题
原问题满足slater条件
2.2.2凸集 凸优化问题
a)凸集是神马

b)凸优化问题是神马

C)凸函数是神马

2.2.3 slater

总结:何时d*= p* 就是什么时候可以用过对偶问题求解原问题的解。
实现的充分条件是 凸集、凸优化、凸函数、slater
不是充要条件。左边可以推出右边,但是右边成立,左边不一定成立。
2.3定理3 著名的KKT条件(5个)
2.3.1 5个条件

2.3.2 求解过程

2.3.3总结:
找x*,a*,b*满足5个条件
那么X*就是原问题的最优解
a*,b*就是对偶问题最优解。

浙公网安备 33010602011771号