AI-机器学习(12)-神经网络-反向传播
反向传播神经网络如雷贯耳。哪哪都是这个词。为什么要反向?
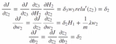
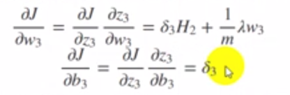
首先神经网络是为了最优化参数,wb. 梯度下降最优解。如何做?求导。当把所有式子列出来后,会发现式链式求导,有大量重复。从数学计算的简便性来说,反过来可以避免重复,简化计算,这就是为嘛反向。
1.公式
2.公式->代码 (主要是求导函数的运用)
3.技巧(矩阵求导,可以转置让其维度匹配)
- 公式
W1 b1

W2 b2

W3 b3


- 公式->代码
- 反向传播求梯度,主要就是求导得gradients[ + ]的应用
完成的代码如下

2.更新系数

- 训练

主程序,或者叫入口程序。
两个函数:

显示


3.技巧
矩阵如何求导?标量对矩阵求导,维度不变。
公式:



浙公网安备 33010602011771号