用例建模Use Case Modeling
一、用例图
用例模型是系统既定功能及系统环境的模型,它可以作为客户和开发人员之间的契约。用例是贯穿整个系统开发的一条主线。同一个用例模型即为需求工作流程的结果,可当作分析设计工作流程以及测试工作流程的输入使用。
用例模型往往由三大模型元素组成:
- 参与者(Actor)
参与者是指存在于被定义系统外部并与该系统发生交互的人或其他系统,他们代表的是系统的使用者或使用环境。
- 用例(Use Case)
用例用于表示系统所提供的服务,它定义了系统是如何被参与者所使用的,它描述的是参与者为了使用系统所提供的某一完整功能而与系统之间发生的一段对话。
- 通讯关联(Communication Association)
通讯关联用于表示参与者和用例之间的对应关系,它表示参与者使用了系统中的哪些服务(用例),或者说系统所提供的服务(用例)是被哪些参与者所使用的。
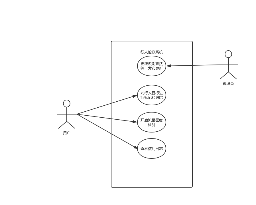
我的工程实践项目是基于计算机视觉的行人检测,这个题目主要的工作实际上在于目标识别算法的改进与应用,其业务流程相对较为精简,如下图所示,其大致的用例建模如下图所示:

二、High level use case
(1)更新识别算法,发布新系统:
这个用例开始于程序员,程序员使用新的训练样本或者改进后的模型算法,对样本进行训练,不断调整参数,直至识别表现最优,结束于程序员将新的软件系统上传至网站或个人主页。
(2)对行人进行标记和跟踪:
这个用例由用户发起,用户开启软件后,连接到摄像头采集的画面,点击"开启识别和跟踪",结束于用户的关闭或暂停。
(3)流量密度检测:
用户在交互系统中,点击“流量密度检测”,将开启对人流量密度的检测,结束于用户的关闭或暂停。
(4)查看使用日志:
用户打开或查询之前使用时记录的信息,行人检测系统在运行过程中记录了当时视频流中的基本参数和一些统计信息等,结束于用户的关闭。
三、Expanded use case
其中,较为关键的核心功能是:对行人进行标记和检测。其扩展用例为:
| Actor | System |
| 这个用例开始于用户点击“开启识别和跟踪” | 提示用户选择识别素材类型 |
| 从“图片”、“本地视频”、“连接摄像头”中选择一项 | 根据用户的选择,系统进入不同的处理子程序。在素材中产生“方框”,以此对行人目标进行标记,对于视频素材,方框会对行人目标进行跟随移动。 |
| 用户关闭或暂停识别和跟踪 | 系统完成检测过程的日志写入,提示“可查看检测过程统计信息” |

浙公网安备 33010602011771号