【每日一题】20250413
【每日一题】
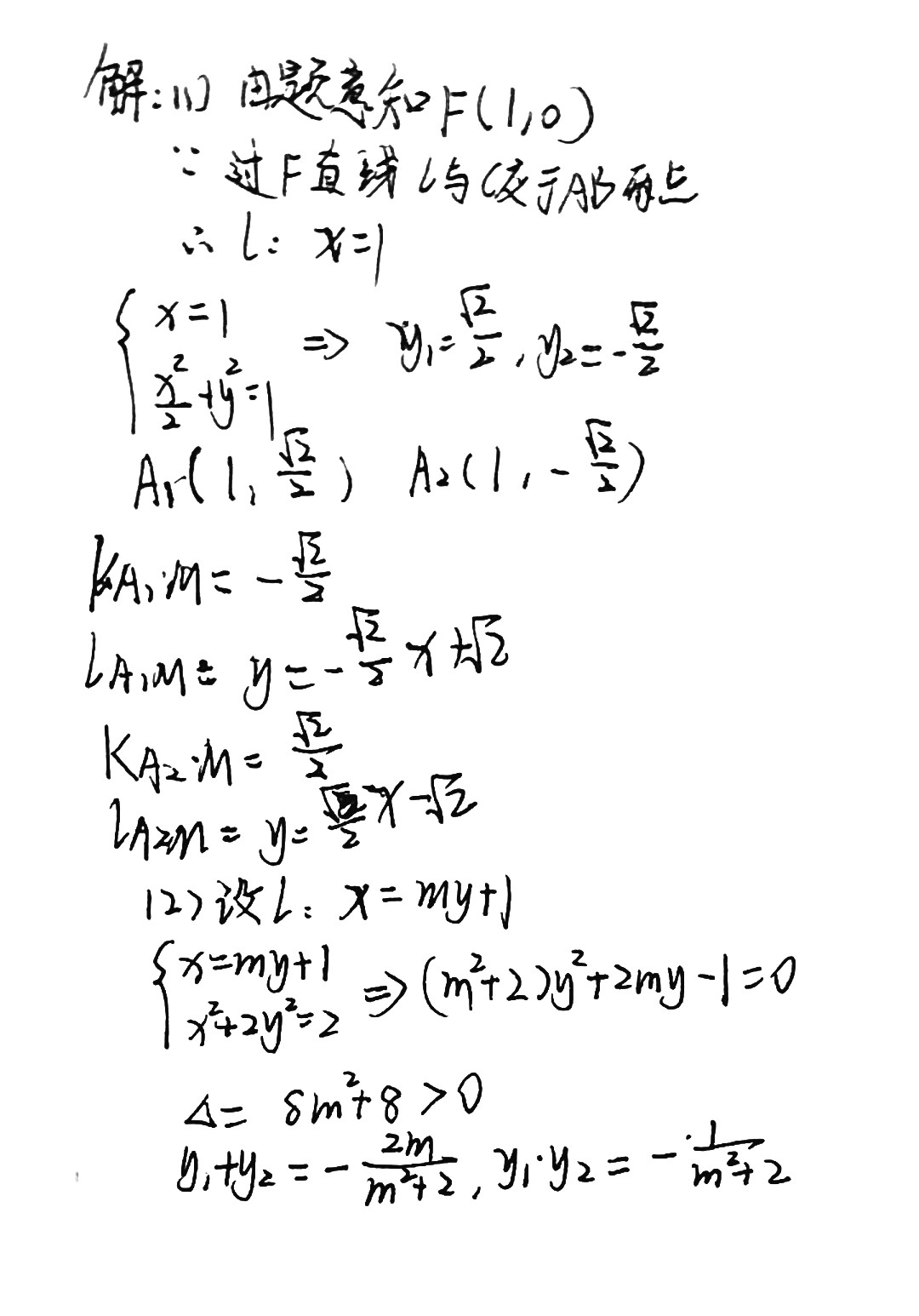
1.(13分)
\(\hspace{0.7cm}\)设椭圆 \(C\):\(\displaystyle \frac{x^{2}}{2}+y^{2}=1\) 的右焦点为 \(F\),过 \(F\) 的直线 \(l\) 与 \(C\) 交于 \(A\),\(B\) 两点,点 \(M\) 的坐标为 \((2,0)\).
\(\hspace{0.7cm}\)(1)当 \(l\) 与 \(x\) 轴垂直时,求直线 \(AM\) 的方程;
\(\hspace{0.7cm}\)(2)设 \(O\) 为坐标原点,证明:\(\angle OMA=\angle OMB\).
[试题来源:2018年全国 I 卷]
【每日一言】
在我的年纪,吸引我的不是忠诚。我只知道约会、亲吻、厌倦;关于爱情,我知道的还很少。 -《你好,忧愁》弗朗索瓦丝·萨冈

【学生撰写过程】

【答案】

未完待续~
2025-04-13 22:44:56 星期日

在我的年纪,吸引我的不是忠诚。我只知道约会、亲吻、厌倦;关于爱情,我知道的还很少。
浙公网安备 33010602011771号